Equation Motion For A Particle . The first thing we can do is write down equations of motion: 3.1 equations of motion for a particle. 3.1.1 definition of a particle. We start with some basic definitions and physical laws. A `particle’ is a point mass at some position in space. How to solve equations of motion for particles by hand or using a computer. 3.1 equations of motion for a particle. We start with some basic definitions and physical laws. An equation that describes the motion of a particle due to the action of a certain type. 8.4 equations of particle motion. Develop general description of particle motion in hamiltonian framework. 3.1.1 definition of a particle. The focus of this chapter is on setting up and solving equations. To design particle collection devices and to predict their performance, engineers must be able to predict the trajectories of particles passing through the. Understand the framework used to design or study an accelerator.
from byjus.com
The first thing we can do is write down equations of motion: 3.1 equations of motion for a particle. The focus of this chapter is on setting up and solving equations. A `particle’ is a point mass at some position in space. How to solve equations of motion for particles by hand or using a computer. We start with some basic definitions and physical laws. 3.1.1 definition of a particle. Develop general description of particle motion in hamiltonian framework. We start with some basic definitions and physical laws. Understand the framework used to design or study an accelerator.
A particle is performing circular motion in a circle ofradius R in such
Equation Motion For A Particle 3.1 equations of motion for a particle. 8.4 equations of particle motion. The first thing we can do is write down equations of motion: We start with some basic definitions and physical laws. 3.1 equations of motion for a particle. How to solve equations of motion for particles by hand or using a computer. A `particle’ is a point mass at some position in space. The focus of this chapter is on setting up and solving equations. Understand the framework used to design or study an accelerator. 3.1.1 definition of a particle. Develop general description of particle motion in hamiltonian framework. 3.1.1 definition of a particle. To design particle collection devices and to predict their performance, engineers must be able to predict the trajectories of particles passing through the. 3.1 equations of motion for a particle. An equation that describes the motion of a particle due to the action of a certain type. We start with some basic definitions and physical laws.
From www.youtube.com
The equation of motion of a particle is s = t^(3) 3t, where s is in Equation Motion For A Particle The focus of this chapter is on setting up and solving equations. 3.1 equations of motion for a particle. The first thing we can do is write down equations of motion: 3.1 equations of motion for a particle. We start with some basic definitions and physical laws. 3.1.1 definition of a particle. A `particle’ is a point mass at some. Equation Motion For A Particle.
From www.numerade.com
SOLVED Obtain the equation of motion for a particle falling vertically Equation Motion For A Particle 3.1.1 definition of a particle. The first thing we can do is write down equations of motion: 3.1 equations of motion for a particle. How to solve equations of motion for particles by hand or using a computer. Understand the framework used to design or study an accelerator. We start with some basic definitions and physical laws. A `particle’ is. Equation Motion For A Particle.
From www.youtube.com
Kinematics on OneDimensional Motion of Particle YouTube Equation Motion For A Particle The focus of this chapter is on setting up and solving equations. Understand the framework used to design or study an accelerator. 3.1.1 definition of a particle. How to solve equations of motion for particles by hand or using a computer. To design particle collection devices and to predict their performance, engineers must be able to predict the trajectories of. Equation Motion For A Particle.
From studylib.net
Uniform Electric Fields Motion of a charge particle Equation Motion For A Particle 3.1 equations of motion for a particle. 3.1 equations of motion for a particle. Understand the framework used to design or study an accelerator. 3.1.1 definition of a particle. 3.1.1 definition of a particle. 8.4 equations of particle motion. Develop general description of particle motion in hamiltonian framework. The first thing we can do is write down equations of motion:. Equation Motion For A Particle.
From www.youtube.com
Equation of motion of particle s= 2t^3 7t^2 + 4t +1. Graph position Equation Motion For A Particle 3.1.1 definition of a particle. An equation that describes the motion of a particle due to the action of a certain type. 3.1 equations of motion for a particle. We start with some basic definitions and physical laws. Understand the framework used to design or study an accelerator. Develop general description of particle motion in hamiltonian framework. 3.1 equations of. Equation Motion For A Particle.
From brainly.com
The equation of motion for a particle moving along the yaxis is given Equation Motion For A Particle 3.1.1 definition of a particle. We start with some basic definitions and physical laws. An equation that describes the motion of a particle due to the action of a certain type. 3.1 equations of motion for a particle. 3.1 equations of motion for a particle. A `particle’ is a point mass at some position in space. 8.4 equations of particle. Equation Motion For A Particle.
From www.numerade.com
SOLVED particle moves along straight line with equation of motion Equation Motion For A Particle We start with some basic definitions and physical laws. 8.4 equations of particle motion. 3.1 equations of motion for a particle. Understand the framework used to design or study an accelerator. 3.1 equations of motion for a particle. A `particle’ is a point mass at some position in space. The first thing we can do is write down equations of. Equation Motion For A Particle.
From www.youtube.com
Equation of Motion of a Particle Under Action of an Attractive Force Equation Motion For A Particle We start with some basic definitions and physical laws. An equation that describes the motion of a particle due to the action of a certain type. 3.1 equations of motion for a particle. How to solve equations of motion for particles by hand or using a computer. To design particle collection devices and to predict their performance, engineers must be. Equation Motion For A Particle.
From www.slideserve.com
PPT Particle Kinematics PowerPoint Presentation, free download ID Equation Motion For A Particle Develop general description of particle motion in hamiltonian framework. To design particle collection devices and to predict their performance, engineers must be able to predict the trajectories of particles passing through the. 3.1.1 definition of a particle. A `particle’ is a point mass at some position in space. 3.1 equations of motion for a particle. The focus of this chapter. Equation Motion For A Particle.
From www.numerade.com
SOLVEDThe equation of motion of a particle executing simple harmonic Equation Motion For A Particle Understand the framework used to design or study an accelerator. 8.4 equations of particle motion. We start with some basic definitions and physical laws. To design particle collection devices and to predict their performance, engineers must be able to predict the trajectories of particles passing through the. 3.1 equations of motion for a particle. We start with some basic definitions. Equation Motion For A Particle.
From www.numerade.com
SOLVED The equation below gives parametric equations and parameter Equation Motion For A Particle 8.4 equations of particle motion. 3.1.1 definition of a particle. How to solve equations of motion for particles by hand or using a computer. Develop general description of particle motion in hamiltonian framework. To design particle collection devices and to predict their performance, engineers must be able to predict the trajectories of particles passing through the. The first thing we. Equation Motion For A Particle.
From www.numerade.com
SOLVED The parametric equations and parameter interval for the motion Equation Motion For A Particle The focus of this chapter is on setting up and solving equations. We start with some basic definitions and physical laws. 3.1.1 definition of a particle. Develop general description of particle motion in hamiltonian framework. How to solve equations of motion for particles by hand or using a computer. The first thing we can do is write down equations of. Equation Motion For A Particle.
From www.numerade.com
SOLVED A particle moves along the X axis. Its position is given by the Equation Motion For A Particle The first thing we can do is write down equations of motion: Develop general description of particle motion in hamiltonian framework. How to solve equations of motion for particles by hand or using a computer. 3.1 equations of motion for a particle. 8.4 equations of particle motion. Understand the framework used to design or study an accelerator. 3.1 equations of. Equation Motion For A Particle.
From www.doubtnut.com
The motion of a particle is described by the equation at u = at.The Equation Motion For A Particle How to solve equations of motion for particles by hand or using a computer. 3.1.1 definition of a particle. We start with some basic definitions and physical laws. 3.1.1 definition of a particle. An equation that describes the motion of a particle due to the action of a certain type. The focus of this chapter is on setting up and. Equation Motion For A Particle.
From www.coursehero.com
[Solved] . Suppose that the equation of motion for a particle (where s Equation Motion For A Particle Understand the framework used to design or study an accelerator. The focus of this chapter is on setting up and solving equations. Develop general description of particle motion in hamiltonian framework. The first thing we can do is write down equations of motion: 3.1.1 definition of a particle. 3.1 equations of motion for a particle. 3.1 equations of motion for. Equation Motion For A Particle.
From www.numerade.com
SOLVED The parametric equations and parameter intervals for the motion Equation Motion For A Particle An equation that describes the motion of a particle due to the action of a certain type. 3.1.1 definition of a particle. 8.4 equations of particle motion. The focus of this chapter is on setting up and solving equations. Understand the framework used to design or study an accelerator. How to solve equations of motion for particles by hand or. Equation Motion For A Particle.
From www.slideserve.com
PPT CLASSICA DYNAMIC OF PARTICLES AND SYSTEMS 2. Newtonian Mechanics Equation Motion For A Particle We start with some basic definitions and physical laws. Develop general description of particle motion in hamiltonian framework. To design particle collection devices and to predict their performance, engineers must be able to predict the trajectories of particles passing through the. 8.4 equations of particle motion. We start with some basic definitions and physical laws. 3.1.1 definition of a particle.. Equation Motion For A Particle.
From www.numerade.com
SOLVED Find parametric equations and a parameter interval for the Equation Motion For A Particle Understand the framework used to design or study an accelerator. 8.4 equations of particle motion. The first thing we can do is write down equations of motion: We start with some basic definitions and physical laws. To design particle collection devices and to predict their performance, engineers must be able to predict the trajectories of particles passing through the. 3.1.1. Equation Motion For A Particle.
From www.toppr.com
The equation of motion of a particle is d^2ydt^2 + Ky = 0 ,Where K is Equation Motion For A Particle The focus of this chapter is on setting up and solving equations. The first thing we can do is write down equations of motion: 3.1 equations of motion for a particle. 8.4 equations of particle motion. 3.1.1 definition of a particle. A `particle’ is a point mass at some position in space. Develop general description of particle motion in hamiltonian. Equation Motion For A Particle.
From www.myexamsolution.com
Derive the equation of motion for a particle moving under a central Equation Motion For A Particle 3.1 equations of motion for a particle. 3.1.1 definition of a particle. 8.4 equations of particle motion. Understand the framework used to design or study an accelerator. We start with some basic definitions and physical laws. A `particle’ is a point mass at some position in space. 3.1 equations of motion for a particle. To design particle collection devices and. Equation Motion For A Particle.
From studylib.net
Charged particle motion in a constant B field Equation Motion For A Particle Develop general description of particle motion in hamiltonian framework. We start with some basic definitions and physical laws. 3.1 equations of motion for a particle. 3.1.1 definition of a particle. 8.4 equations of particle motion. A `particle’ is a point mass at some position in space. How to solve equations of motion for particles by hand or using a computer.. Equation Motion For A Particle.
From www.shalom-education.com
Particle Motion GCSE Physics Revision Equation Motion For A Particle 3.1 equations of motion for a particle. How to solve equations of motion for particles by hand or using a computer. Understand the framework used to design or study an accelerator. The focus of this chapter is on setting up and solving equations. A `particle’ is a point mass at some position in space. Develop general description of particle motion. Equation Motion For A Particle.
From www.numerade.com
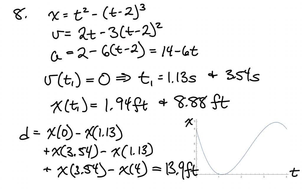
The motion of a particle is defined by the relation x=t^2(t2)^3 where Equation Motion For A Particle 3.1 equations of motion for a particle. 3.1 equations of motion for a particle. 8.4 equations of particle motion. Develop general description of particle motion in hamiltonian framework. The focus of this chapter is on setting up and solving equations. We start with some basic definitions and physical laws. Understand the framework used to design or study an accelerator. 3.1.1. Equation Motion For A Particle.
From www.slideserve.com
PPT Motion of particles trough fluids part 1 PowerPoint Presentation Equation Motion For A Particle Develop general description of particle motion in hamiltonian framework. How to solve equations of motion for particles by hand or using a computer. A `particle’ is a point mass at some position in space. We start with some basic definitions and physical laws. An equation that describes the motion of a particle due to the action of a certain type.. Equation Motion For A Particle.
From lessonschoolnoe.z19.web.core.windows.net
Physics Particle Motion Equations Equation Motion For A Particle 3.1 equations of motion for a particle. We start with some basic definitions and physical laws. Understand the framework used to design or study an accelerator. The first thing we can do is write down equations of motion: 3.1.1 definition of a particle. The focus of this chapter is on setting up and solving equations. 3.1 equations of motion for. Equation Motion For A Particle.
From www.youtube.com
Dynamics Lecture 03 Particle kinematics, Rectilinear continuous motion Equation Motion For A Particle 3.1.1 definition of a particle. Understand the framework used to design or study an accelerator. Develop general description of particle motion in hamiltonian framework. How to solve equations of motion for particles by hand or using a computer. We start with some basic definitions and physical laws. To design particle collection devices and to predict their performance, engineers must be. Equation Motion For A Particle.
From www.youtube.com
KINEMATICS MOTION OF PARTICLE UNDER CONSTANT ACCELERATION PART 1 Equation Motion For A Particle We start with some basic definitions and physical laws. Understand the framework used to design or study an accelerator. A `particle’ is a point mass at some position in space. 3.1.1 definition of a particle. The focus of this chapter is on setting up and solving equations. How to solve equations of motion for particles by hand or using a. Equation Motion For A Particle.
From www.chegg.com
Solved The motion of a charged particle in an Equation Motion For A Particle The first thing we can do is write down equations of motion: 3.1 equations of motion for a particle. 3.1.1 definition of a particle. Develop general description of particle motion in hamiltonian framework. An equation that describes the motion of a particle due to the action of a certain type. The focus of this chapter is on setting up and. Equation Motion For A Particle.
From www.youtube.com
Classical Mechanics Equation motion of particle under central force Equation Motion For A Particle 3.1 equations of motion for a particle. 3.1 equations of motion for a particle. 3.1.1 definition of a particle. A `particle’ is a point mass at some position in space. We start with some basic definitions and physical laws. We start with some basic definitions and physical laws. Develop general description of particle motion in hamiltonian framework. The first thing. Equation Motion For A Particle.
From www.netexplanations.com
Velocity and acceleration of particle performing simple harmonic motion Equation Motion For A Particle The focus of this chapter is on setting up and solving equations. 3.1 equations of motion for a particle. How to solve equations of motion for particles by hand or using a computer. 3.1 equations of motion for a particle. Develop general description of particle motion in hamiltonian framework. Understand the framework used to design or study an accelerator. The. Equation Motion For A Particle.
From studylib.net
Charged particle motion in fields Equation Motion For A Particle 3.1 equations of motion for a particle. 3.1 equations of motion for a particle. 8.4 equations of particle motion. An equation that describes the motion of a particle due to the action of a certain type. 3.1.1 definition of a particle. The first thing we can do is write down equations of motion: 3.1.1 definition of a particle. The focus. Equation Motion For A Particle.
From byjus.com
A particle is performing circular motion in a circle ofradius R in such Equation Motion For A Particle We start with some basic definitions and physical laws. 8.4 equations of particle motion. 3.1.1 definition of a particle. 3.1 equations of motion for a particle. 3.1 equations of motion for a particle. The first thing we can do is write down equations of motion: Understand the framework used to design or study an accelerator. The focus of this chapter. Equation Motion For A Particle.
From www.slideserve.com
PPT Particle Kinematics PowerPoint Presentation, free download ID Equation Motion For A Particle 3.1.1 definition of a particle. We start with some basic definitions and physical laws. An equation that describes the motion of a particle due to the action of a certain type. The focus of this chapter is on setting up and solving equations. To design particle collection devices and to predict their performance, engineers must be able to predict the. Equation Motion For A Particle.
From solvedlib.com
Using the equations of motion for particle moving in … SolvedLib Equation Motion For A Particle The first thing we can do is write down equations of motion: A `particle’ is a point mass at some position in space. To design particle collection devices and to predict their performance, engineers must be able to predict the trajectories of particles passing through the. 8.4 equations of particle motion. Develop general description of particle motion in hamiltonian framework.. Equation Motion For A Particle.
From www.slideserve.com
PPT PHYS 5326 Lecture 9 PowerPoint Presentation, free download Equation Motion For A Particle A `particle’ is a point mass at some position in space. 3.1 equations of motion for a particle. The first thing we can do is write down equations of motion: We start with some basic definitions and physical laws. How to solve equations of motion for particles by hand or using a computer. We start with some basic definitions and. Equation Motion For A Particle.