Tensioner Shaft Pulley . Choose from our selection of pulley tensioners, including. machine your own gears to fit the exact face width and shaft diameter required. Increases the angle embraced in belt drives. Gives tension to the belt and transfers the driving force of the crankshaft. also known as groove gauges, these measure the groove of your pulley to check for wear as well as determine the correct wire rope size. In stock and ready to ship. tensioner pulley main functions are: tensioner and deflection pulleys allow optimum belt guidance around the driven units. tensioner, idler and guiding pulleys. timing pulleys and idlers are toothed gears that mesh with a belt rather than each other. The belt tension can be maintained during operation, for example, by means of tensioner pulleys.
from medicasu.com
tensioner and deflection pulleys allow optimum belt guidance around the driven units. tensioner pulley main functions are: also known as groove gauges, these measure the groove of your pulley to check for wear as well as determine the correct wire rope size. tensioner, idler and guiding pulleys. In stock and ready to ship. Gives tension to the belt and transfers the driving force of the crankshaft. machine your own gears to fit the exact face width and shaft diameter required. The belt tension can be maintained during operation, for example, by means of tensioner pulleys. timing pulleys and idlers are toothed gears that mesh with a belt rather than each other. Choose from our selection of pulley tensioners, including.
Singlegroove Pulley 120mm shaft size 24mm Automation, Motors & Drives
Tensioner Shaft Pulley timing pulleys and idlers are toothed gears that mesh with a belt rather than each other. tensioner, idler and guiding pulleys. timing pulleys and idlers are toothed gears that mesh with a belt rather than each other. also known as groove gauges, these measure the groove of your pulley to check for wear as well as determine the correct wire rope size. Gives tension to the belt and transfers the driving force of the crankshaft. Choose from our selection of pulley tensioners, including. In stock and ready to ship. tensioner and deflection pulleys allow optimum belt guidance around the driven units. The belt tension can be maintained during operation, for example, by means of tensioner pulleys. Increases the angle embraced in belt drives. machine your own gears to fit the exact face width and shaft diameter required. tensioner pulley main functions are:
From www.tec-science.com
How does a belt drive work? tecscience Tensioner Shaft Pulley timing pulleys and idlers are toothed gears that mesh with a belt rather than each other. Choose from our selection of pulley tensioners, including. tensioner and deflection pulleys allow optimum belt guidance around the driven units. tensioner pulley main functions are: Increases the angle embraced in belt drives. machine your own gears to fit the exact. Tensioner Shaft Pulley.
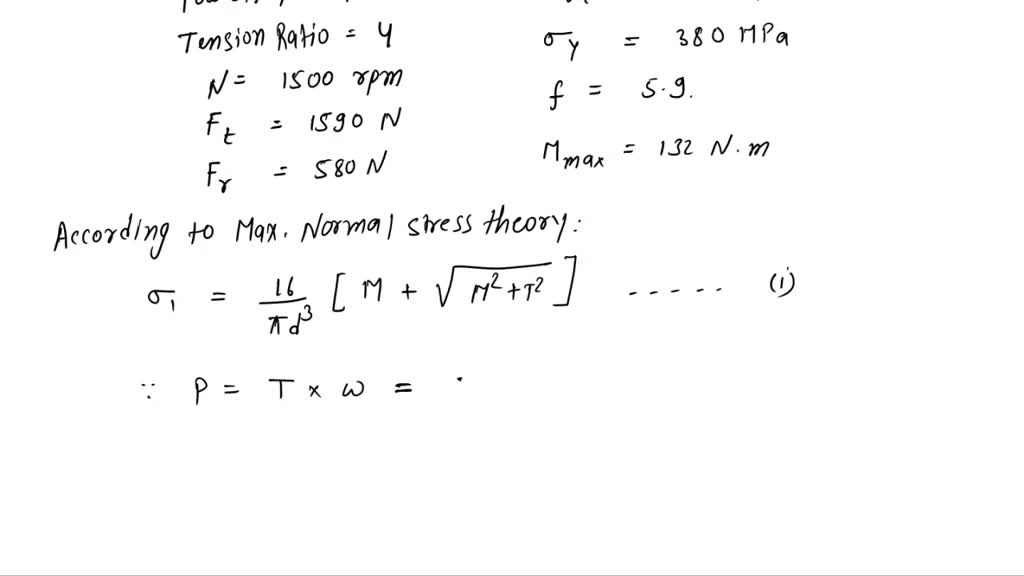
From www.chegg.com
Solved A countershaft carrying two Vbelt pulleys is shown Tensioner Shaft Pulley Gives tension to the belt and transfers the driving force of the crankshaft. Choose from our selection of pulley tensioners, including. timing pulleys and idlers are toothed gears that mesh with a belt rather than each other. also known as groove gauges, these measure the groove of your pulley to check for wear as well as determine the. Tensioner Shaft Pulley.
From lessonfullsharpeners.z21.web.core.windows.net
Examples Of Compound Pulleys Tensioner Shaft Pulley Choose from our selection of pulley tensioners, including. The belt tension can be maintained during operation, for example, by means of tensioner pulleys. Gives tension to the belt and transfers the driving force of the crankshaft. In stock and ready to ship. tensioner pulley main functions are: timing pulleys and idlers are toothed gears that mesh with a. Tensioner Shaft Pulley.
From www.pelicanparts.com
BMW E39 5Series Tensioner and Pulleys Removal 19972003 525i, 528i Tensioner Shaft Pulley Choose from our selection of pulley tensioners, including. The belt tension can be maintained during operation, for example, by means of tensioner pulleys. Increases the angle embraced in belt drives. machine your own gears to fit the exact face width and shaft diameter required. tensioner pulley main functions are: tensioner and deflection pulleys allow optimum belt guidance. Tensioner Shaft Pulley.
From www.cutter-part.com
65905000 Shaft Pulley Tension Assey Suitable For Cutter Gt5250 S5200 Parts Tensioner Shaft Pulley tensioner and deflection pulleys allow optimum belt guidance around the driven units. machine your own gears to fit the exact face width and shaft diameter required. also known as groove gauges, these measure the groove of your pulley to check for wear as well as determine the correct wire rope size. In stock and ready to ship.. Tensioner Shaft Pulley.
From www.transtutors.com
(Solved) A Countershaft Carrying Two VBelt Pulleys Is Shown In The Tensioner Shaft Pulley tensioner and deflection pulleys allow optimum belt guidance around the driven units. timing pulleys and idlers are toothed gears that mesh with a belt rather than each other. tensioner, idler and guiding pulleys. tensioner pulley main functions are: Gives tension to the belt and transfers the driving force of the crankshaft. The belt tension can be. Tensioner Shaft Pulley.
From www.numerade.com
SOLVED Text PROBLEM 1 For the steel shafts shown below, find the Tensioner Shaft Pulley Increases the angle embraced in belt drives. tensioner and deflection pulleys allow optimum belt guidance around the driven units. tensioner pulley main functions are: In stock and ready to ship. also known as groove gauges, these measure the groove of your pulley to check for wear as well as determine the correct wire rope size. Gives tension. Tensioner Shaft Pulley.
From www.chegg.com
Solved Problem 2 The shaft shown below carries two Vbelt Tensioner Shaft Pulley tensioner, idler and guiding pulleys. tensioner and deflection pulleys allow optimum belt guidance around the driven units. Choose from our selection of pulley tensioners, including. In stock and ready to ship. Increases the angle embraced in belt drives. Gives tension to the belt and transfers the driving force of the crankshaft. The belt tension can be maintained during. Tensioner Shaft Pulley.
From www.youtube.com
How To Replace Tensioner and Idler Pulleys // Quick and Easy DIY YouTube Tensioner Shaft Pulley timing pulleys and idlers are toothed gears that mesh with a belt rather than each other. Gives tension to the belt and transfers the driving force of the crankshaft. tensioner, idler and guiding pulleys. machine your own gears to fit the exact face width and shaft diameter required. The belt tension can be maintained during operation, for. Tensioner Shaft Pulley.
From www.chegg.com
Solved H.W. Shaft1 Fig. shows a shaft carrying a pulley A Tensioner Shaft Pulley tensioner pulley main functions are: tensioner, idler and guiding pulleys. The belt tension can be maintained during operation, for example, by means of tensioner pulleys. machine your own gears to fit the exact face width and shaft diameter required. Increases the angle embraced in belt drives. also known as groove gauges, these measure the groove of. Tensioner Shaft Pulley.
From www.amazon.ca
Double Groove 3.55" Cast Iron Electric Motor" H" Pulley/Sheave, For 5/8 Tensioner Shaft Pulley timing pulleys and idlers are toothed gears that mesh with a belt rather than each other. also known as groove gauges, these measure the groove of your pulley to check for wear as well as determine the correct wire rope size. Choose from our selection of pulley tensioners, including. Increases the angle embraced in belt drives. tensioner. Tensioner Shaft Pulley.
From www.numerade.com
SOLVED A power transfer system consists of shafts, pulleys, and gears Tensioner Shaft Pulley machine your own gears to fit the exact face width and shaft diameter required. Gives tension to the belt and transfers the driving force of the crankshaft. In stock and ready to ship. also known as groove gauges, these measure the groove of your pulley to check for wear as well as determine the correct wire rope size.. Tensioner Shaft Pulley.
From www.youtube.com
⚡SOLIDWORKS TUTORIAL 53 Design and motion analysis of V belt and Tensioner Shaft Pulley tensioner pulley main functions are: tensioner and deflection pulleys allow optimum belt guidance around the driven units. machine your own gears to fit the exact face width and shaft diameter required. In stock and ready to ship. timing pulleys and idlers are toothed gears that mesh with a belt rather than each other. Choose from our. Tensioner Shaft Pulley.
From ceqsoahz.blob.core.windows.net
Pulley Rope With Friction at Angela Sherrill blog Tensioner Shaft Pulley timing pulleys and idlers are toothed gears that mesh with a belt rather than each other. tensioner pulley main functions are: Choose from our selection of pulley tensioners, including. machine your own gears to fit the exact face width and shaft diameter required. In stock and ready to ship. The belt tension can be maintained during operation,. Tensioner Shaft Pulley.
From www.mecholic.com
Advantages and Disadvantages of Pulley Used In Power Transmission Tensioner Shaft Pulley tensioner pulley main functions are: Increases the angle embraced in belt drives. timing pulleys and idlers are toothed gears that mesh with a belt rather than each other. machine your own gears to fit the exact face width and shaft diameter required. In stock and ready to ship. The belt tension can be maintained during operation, for. Tensioner Shaft Pulley.
From idcselect.com
IDC Select FIP4, FLAT BELT IDLER PULLEYSTAMPED STEEL Tensioner Shaft Pulley tensioner and deflection pulleys allow optimum belt guidance around the driven units. Increases the angle embraced in belt drives. timing pulleys and idlers are toothed gears that mesh with a belt rather than each other. tensioner pulley main functions are: machine your own gears to fit the exact face width and shaft diameter required. Choose from. Tensioner Shaft Pulley.
From www.cutter-part.com
65905000 Shaft Pulley Tension Assey Suitable For Cutter Gt5250 S5200 Parts Tensioner Shaft Pulley timing pulleys and idlers are toothed gears that mesh with a belt rather than each other. tensioner pulley main functions are: The belt tension can be maintained during operation, for example, by means of tensioner pulleys. Gives tension to the belt and transfers the driving force of the crankshaft. tensioner and deflection pulleys allow optimum belt guidance. Tensioner Shaft Pulley.
From www.walmart.com
20613 New Murray Mower VBelt Idler Pulley Steel with Heavy Duty Tensioner Shaft Pulley tensioner, idler and guiding pulleys. tensioner and deflection pulleys allow optimum belt guidance around the driven units. The belt tension can be maintained during operation, for example, by means of tensioner pulleys. timing pulleys and idlers are toothed gears that mesh with a belt rather than each other. machine your own gears to fit the exact. Tensioner Shaft Pulley.
From www.numerade.com
SOLVED A countershaft carrying two Vbelt pulleys is shown in the Tensioner Shaft Pulley In stock and ready to ship. Choose from our selection of pulley tensioners, including. Increases the angle embraced in belt drives. tensioner, idler and guiding pulleys. The belt tension can be maintained during operation, for example, by means of tensioner pulleys. tensioner and deflection pulleys allow optimum belt guidance around the driven units. Gives tension to the belt. Tensioner Shaft Pulley.
From www.chegg.com
Mechanical Engineering Archive September 11, 2017 Tensioner Shaft Pulley also known as groove gauges, these measure the groove of your pulley to check for wear as well as determine the correct wire rope size. tensioner, idler and guiding pulleys. timing pulleys and idlers are toothed gears that mesh with a belt rather than each other. Increases the angle embraced in belt drives. In stock and ready. Tensioner Shaft Pulley.
From www.numerade.com
SOLVED Question 2 (5 points) The shaft in Figure 1 has parallel belt Tensioner Shaft Pulley also known as groove gauges, these measure the groove of your pulley to check for wear as well as determine the correct wire rope size. Gives tension to the belt and transfers the driving force of the crankshaft. tensioner and deflection pulleys allow optimum belt guidance around the driven units. Choose from our selection of pulley tensioners, including.. Tensioner Shaft Pulley.
From ptodrive-shaft.com
Is a belt tensioner a pulley? PTO drive shaft Tensioner Shaft Pulley tensioner and deflection pulleys allow optimum belt guidance around the driven units. Increases the angle embraced in belt drives. tensioner pulley main functions are: The belt tension can be maintained during operation, for example, by means of tensioner pulleys. also known as groove gauges, these measure the groove of your pulley to check for wear as well. Tensioner Shaft Pulley.
From www.chegg.com
Solved The figure below shows a shaft carrying a pulley A Tensioner Shaft Pulley Choose from our selection of pulley tensioners, including. machine your own gears to fit the exact face width and shaft diameter required. also known as groove gauges, these measure the groove of your pulley to check for wear as well as determine the correct wire rope size. tensioner and deflection pulleys allow optimum belt guidance around the. Tensioner Shaft Pulley.
From weldintegrity.com.au
Conveyor Pulleys Weld Integrity Pty Ltd Tensioner Shaft Pulley machine your own gears to fit the exact face width and shaft diameter required. Increases the angle embraced in belt drives. also known as groove gauges, these measure the groove of your pulley to check for wear as well as determine the correct wire rope size. tensioner, idler and guiding pulleys. tensioner and deflection pulleys allow. Tensioner Shaft Pulley.
From www.chegg.com
Solved Two parallel shafts shown in Figure 1 are proposed to Tensioner Shaft Pulley timing pulleys and idlers are toothed gears that mesh with a belt rather than each other. machine your own gears to fit the exact face width and shaft diameter required. Increases the angle embraced in belt drives. tensioner, idler and guiding pulleys. Gives tension to the belt and transfers the driving force of the crankshaft. The belt. Tensioner Shaft Pulley.
From www.aircomponents.com
IDLER PULLEY 3 7/8 X Air Components Tensioner Shaft Pulley machine your own gears to fit the exact face width and shaft diameter required. Increases the angle embraced in belt drives. also known as groove gauges, these measure the groove of your pulley to check for wear as well as determine the correct wire rope size. The belt tension can be maintained during operation, for example, by means. Tensioner Shaft Pulley.
From www.chegg.com
Solved Problem The figure shows a shaft mounted in bearings Tensioner Shaft Pulley Increases the angle embraced in belt drives. tensioner, idler and guiding pulleys. timing pulleys and idlers are toothed gears that mesh with a belt rather than each other. tensioner and deflection pulleys allow optimum belt guidance around the driven units. tensioner pulley main functions are: The belt tension can be maintained during operation, for example, by. Tensioner Shaft Pulley.
From medicasu.com
Singlegroove Pulley 120mm shaft size 24mm Automation, Motors & Drives Tensioner Shaft Pulley The belt tension can be maintained during operation, for example, by means of tensioner pulleys. machine your own gears to fit the exact face width and shaft diameter required. Gives tension to the belt and transfers the driving force of the crankshaft. Increases the angle embraced in belt drives. timing pulleys and idlers are toothed gears that mesh. Tensioner Shaft Pulley.
From www.len.com.ng
Belt and Pulley Drives Types of belt in belt drives Tensioner Shaft Pulley Gives tension to the belt and transfers the driving force of the crankshaft. In stock and ready to ship. Increases the angle embraced in belt drives. timing pulleys and idlers are toothed gears that mesh with a belt rather than each other. tensioner and deflection pulleys allow optimum belt guidance around the driven units. tensioner pulley main. Tensioner Shaft Pulley.
From www.numerade.com
SOLVED A countershaft carrying two Vbelt pulleys is shown in the Tensioner Shaft Pulley tensioner, idler and guiding pulleys. timing pulleys and idlers are toothed gears that mesh with a belt rather than each other. Choose from our selection of pulley tensioners, including. also known as groove gauges, these measure the groove of your pulley to check for wear as well as determine the correct wire rope size. The belt tension. Tensioner Shaft Pulley.
From www.numerade.com
SOLVED A countershaft carrying two Vbelt pulleys is shown in the Tensioner Shaft Pulley tensioner, idler and guiding pulleys. Gives tension to the belt and transfers the driving force of the crankshaft. In stock and ready to ship. Choose from our selection of pulley tensioners, including. also known as groove gauges, these measure the groove of your pulley to check for wear as well as determine the correct wire rope size. . Tensioner Shaft Pulley.
From www.aircomponents.com
Category Idler/Tensioner Pulleys Tensioner Shaft Pulley tensioner pulley main functions are: tensioner and deflection pulleys allow optimum belt guidance around the driven units. Increases the angle embraced in belt drives. The belt tension can be maintained during operation, for example, by means of tensioner pulleys. Choose from our selection of pulley tensioners, including. also known as groove gauges, these measure the groove of. Tensioner Shaft Pulley.
From in.pinterest.com
mechanism 6 belt drive transmission 6 in 2020 Belt drive Tensioner Shaft Pulley tensioner, idler and guiding pulleys. The belt tension can be maintained during operation, for example, by means of tensioner pulleys. Choose from our selection of pulley tensioners, including. machine your own gears to fit the exact face width and shaft diameter required. In stock and ready to ship. tensioner and deflection pulleys allow optimum belt guidance around. Tensioner Shaft Pulley.
From exopsusak.blob.core.windows.net
Chain Tensioner Guide at Franklin McClusky blog Tensioner Shaft Pulley The belt tension can be maintained during operation, for example, by means of tensioner pulleys. machine your own gears to fit the exact face width and shaft diameter required. timing pulleys and idlers are toothed gears that mesh with a belt rather than each other. Choose from our selection of pulley tensioners, including. Gives tension to the belt. Tensioner Shaft Pulley.
From www.aircomponents.com
Category Idler/Tensioner Pulleys Tensioner Shaft Pulley machine your own gears to fit the exact face width and shaft diameter required. tensioner and deflection pulleys allow optimum belt guidance around the driven units. tensioner pulley main functions are: In stock and ready to ship. timing pulleys and idlers are toothed gears that mesh with a belt rather than each other. Increases the angle. Tensioner Shaft Pulley.