Guardian Dog Breeding Contract . Access our sample guardian home contract, available exclusively to good dog breeders. During the time the guardians have possession of the dog the breeders shall provide the guardians: The guardian family provides a loving and caring environment that replicates the everyday life of a standard family dog. The dog lives with the family, or guardian family, when it is not used for breeding. A guardian home is a method used by dog breeders where their breeding dogs are fostered or adopted by a family. Once they are retired (and spayed/neutered at our expense), full ownership. As a guardian home, you are the permanent home for one of our breeding dogs while they are in our program. Pay for all veterinary expenses as related to breeding related costs. Information on what to expect and how to care for a pregnant female. Signing of this contract and prior to delivery of guardian dog, guardian agrees to whelping up to 5 litters of pups or reaching an age of 4 years old. Breeding of the guardian dog 1) the breeder shall arrange for health tests.
from www.etsy.com
The guardian family provides a loving and caring environment that replicates the everyday life of a standard family dog. As a guardian home, you are the permanent home for one of our breeding dogs while they are in our program. Access our sample guardian home contract, available exclusively to good dog breeders. Information on what to expect and how to care for a pregnant female. Once they are retired (and spayed/neutered at our expense), full ownership. The dog lives with the family, or guardian family, when it is not used for breeding. Pay for all veterinary expenses as related to breeding related costs. A guardian home is a method used by dog breeders where their breeding dogs are fostered or adopted by a family. Signing of this contract and prior to delivery of guardian dog, guardian agrees to whelping up to 5 litters of pups or reaching an age of 4 years old. During the time the guardians have possession of the dog the breeders shall provide the guardians:
Dog Breeding Contract Bundle Stud Dog, Guardian Home, Nonrefundable
Guardian Dog Breeding Contract The guardian family provides a loving and caring environment that replicates the everyday life of a standard family dog. The dog lives with the family, or guardian family, when it is not used for breeding. During the time the guardians have possession of the dog the breeders shall provide the guardians: The guardian family provides a loving and caring environment that replicates the everyday life of a standard family dog. Once they are retired (and spayed/neutered at our expense), full ownership. A guardian home is a method used by dog breeders where their breeding dogs are fostered or adopted by a family. Information on what to expect and how to care for a pregnant female. Pay for all veterinary expenses as related to breeding related costs. Access our sample guardian home contract, available exclusively to good dog breeders. As a guardian home, you are the permanent home for one of our breeding dogs while they are in our program. Signing of this contract and prior to delivery of guardian dog, guardian agrees to whelping up to 5 litters of pups or reaching an age of 4 years old. Breeding of the guardian dog 1) the breeder shall arrange for health tests.
From www.etsy.com
Dog Breeding Contract Bundle Stud Dog, Guardian Home, Nonrefundable Guardian Dog Breeding Contract Signing of this contract and prior to delivery of guardian dog, guardian agrees to whelping up to 5 litters of pups or reaching an age of 4 years old. Information on what to expect and how to care for a pregnant female. The dog lives with the family, or guardian family, when it is not used for breeding. A guardian. Guardian Dog Breeding Contract.
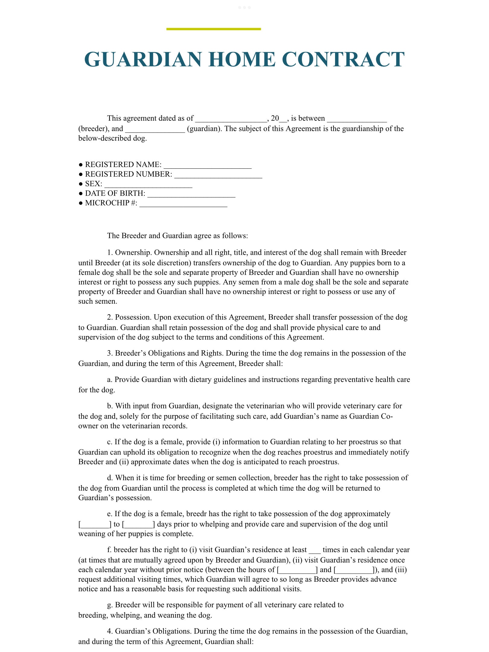
From templates.hilarious.edu.np
Printable Stud Dog Breeding Contract Template Guardian Dog Breeding Contract Breeding of the guardian dog 1) the breeder shall arrange for health tests. Information on what to expect and how to care for a pregnant female. As a guardian home, you are the permanent home for one of our breeding dogs while they are in our program. The guardian family provides a loving and caring environment that replicates the everyday. Guardian Dog Breeding Contract.
From www.etsy.com
Stud Dog Breeding Contract, Canva Template, Customızable Etsy Guardian Dog Breeding Contract The dog lives with the family, or guardian family, when it is not used for breeding. Access our sample guardian home contract, available exclusively to good dog breeders. During the time the guardians have possession of the dog the breeders shall provide the guardians: Once they are retired (and spayed/neutered at our expense), full ownership. The guardian family provides a. Guardian Dog Breeding Contract.
From www.etsy.com
Dog Breeding Contract Bundle Stud Dog, Guardian Home, Nonrefundable Guardian Dog Breeding Contract Information on what to expect and how to care for a pregnant female. Pay for all veterinary expenses as related to breeding related costs. Once they are retired (and spayed/neutered at our expense), full ownership. Access our sample guardian home contract, available exclusively to good dog breeders. The guardian family provides a loving and caring environment that replicates the everyday. Guardian Dog Breeding Contract.
From www.etsy.com
Dog Breeding Contract Bundle Stud Dog, Guardian Home, Nonrefundable Guardian Dog Breeding Contract Signing of this contract and prior to delivery of guardian dog, guardian agrees to whelping up to 5 litters of pups or reaching an age of 4 years old. Access our sample guardian home contract, available exclusively to good dog breeders. As a guardian home, you are the permanent home for one of our breeding dogs while they are in. Guardian Dog Breeding Contract.
From dl-uk.apowersoft.com
Printable Stud Dog Breeding Contract Template Guardian Dog Breeding Contract As a guardian home, you are the permanent home for one of our breeding dogs while they are in our program. Once they are retired (and spayed/neutered at our expense), full ownership. The guardian family provides a loving and caring environment that replicates the everyday life of a standard family dog. A guardian home is a method used by dog. Guardian Dog Breeding Contract.
From familyjulj.blogspot.com
Guardian Family Dog Contract familyjulj Guardian Dog Breeding Contract Information on what to expect and how to care for a pregnant female. Access our sample guardian home contract, available exclusively to good dog breeders. Pay for all veterinary expenses as related to breeding related costs. The guardian family provides a loving and caring environment that replicates the everyday life of a standard family dog. During the time the guardians. Guardian Dog Breeding Contract.
From www.etsy.com
Stud Dog Breeding Contract Template Attorneywritten Editable Dog Owner Guardian Dog Breeding Contract Breeding of the guardian dog 1) the breeder shall arrange for health tests. The dog lives with the family, or guardian family, when it is not used for breeding. Once they are retired (and spayed/neutered at our expense), full ownership. During the time the guardians have possession of the dog the breeders shall provide the guardians: Pay for all veterinary. Guardian Dog Breeding Contract.
From www.etsy.com
Dog Stud Contract Guardian Etsy Guardian Dog Breeding Contract During the time the guardians have possession of the dog the breeders shall provide the guardians: Breeding of the guardian dog 1) the breeder shall arrange for health tests. Once they are retired (and spayed/neutered at our expense), full ownership. The dog lives with the family, or guardian family, when it is not used for breeding. A guardian home is. Guardian Dog Breeding Contract.
From denizen.io
Free Printable Dog Breeding Contract Customize And Print Guardian Dog Breeding Contract Pay for all veterinary expenses as related to breeding related costs. A guardian home is a method used by dog breeders where their breeding dogs are fostered or adopted by a family. Access our sample guardian home contract, available exclusively to good dog breeders. As a guardian home, you are the permanent home for one of our breeding dogs while. Guardian Dog Breeding Contract.
From www.etsy.com
Guardian Home Dog Breeding Contract Fillable PDF Instant Download Etsy Guardian Dog Breeding Contract Once they are retired (and spayed/neutered at our expense), full ownership. Access our sample guardian home contract, available exclusively to good dog breeders. A guardian home is a method used by dog breeders where their breeding dogs are fostered or adopted by a family. The dog lives with the family, or guardian family, when it is not used for breeding.. Guardian Dog Breeding Contract.
From www.signnow.com
Guardian Contract Complete with ease airSlate SignNow Guardian Dog Breeding Contract The guardian family provides a loving and caring environment that replicates the everyday life of a standard family dog. Breeding of the guardian dog 1) the breeder shall arrange for health tests. During the time the guardians have possession of the dog the breeders shall provide the guardians: Information on what to expect and how to care for a pregnant. Guardian Dog Breeding Contract.
From www.pdffiller.com
contract breeding Doc Template pdfFiller Guardian Dog Breeding Contract During the time the guardians have possession of the dog the breeders shall provide the guardians: The guardian family provides a loving and caring environment that replicates the everyday life of a standard family dog. Breeding of the guardian dog 1) the breeder shall arrange for health tests. Pay for all veterinary expenses as related to breeding related costs. As. Guardian Dog Breeding Contract.
From ubicaciondepersonas.cdmx.gob.mx
Guardian Home Dog Breeding Contract Fillable PDF Instant Guardian Dog Breeding Contract Breeding of the guardian dog 1) the breeder shall arrange for health tests. During the time the guardians have possession of the dog the breeders shall provide the guardians: Once they are retired (and spayed/neutered at our expense), full ownership. The guardian family provides a loving and caring environment that replicates the everyday life of a standard family dog. Pay. Guardian Dog Breeding Contract.
From www.etsy.com
Guardian Home Contract for Dogs Etsy Guardian Dog Breeding Contract Information on what to expect and how to care for a pregnant female. Breeding of the guardian dog 1) the breeder shall arrange for health tests. Pay for all veterinary expenses as related to breeding related costs. The guardian family provides a loving and caring environment that replicates the everyday life of a standard family dog. Once they are retired. Guardian Dog Breeding Contract.
From www.etsy.com
Guardian Home Contract Template for Breeders Customizable Editable With Guardian Dog Breeding Contract Pay for all veterinary expenses as related to breeding related costs. Signing of this contract and prior to delivery of guardian dog, guardian agrees to whelping up to 5 litters of pups or reaching an age of 4 years old. As a guardian home, you are the permanent home for one of our breeding dogs while they are in our. Guardian Dog Breeding Contract.
From www.etsy.com
Dog Breeding Guardian Home Contract Agreement, Editable Template Guardian Dog Breeding Contract The dog lives with the family, or guardian family, when it is not used for breeding. Signing of this contract and prior to delivery of guardian dog, guardian agrees to whelping up to 5 litters of pups or reaching an age of 4 years old. Once they are retired (and spayed/neutered at our expense), full ownership. A guardian home is. Guardian Dog Breeding Contract.
From www.etsy.com
Dog Owner Breeding Contract Bundle, Full Registration, Limited Guardian Dog Breeding Contract The guardian family provides a loving and caring environment that replicates the everyday life of a standard family dog. Pay for all veterinary expenses as related to breeding related costs. Breeding of the guardian dog 1) the breeder shall arrange for health tests. Signing of this contract and prior to delivery of guardian dog, guardian agrees to whelping up to. Guardian Dog Breeding Contract.
From davida.davivienda.com
Printable Stud Dog Breeding Contract Template Printable Word Searches Guardian Dog Breeding Contract Breeding of the guardian dog 1) the breeder shall arrange for health tests. The dog lives with the family, or guardian family, when it is not used for breeding. Pay for all veterinary expenses as related to breeding related costs. The guardian family provides a loving and caring environment that replicates the everyday life of a standard family dog. As. Guardian Dog Breeding Contract.
From www.etsy.com
Guardian Home Breeder Contract, Dog Breeding Contract, Dog Breeder Guardian Dog Breeding Contract The guardian family provides a loving and caring environment that replicates the everyday life of a standard family dog. During the time the guardians have possession of the dog the breeders shall provide the guardians: A guardian home is a method used by dog breeders where their breeding dogs are fostered or adopted by a family. Pay for all veterinary. Guardian Dog Breeding Contract.
From www.etsy.com
Dog Breeding Contract Bundle Stud Dog, Guardian Home, Nonrefundable Guardian Dog Breeding Contract Once they are retired (and spayed/neutered at our expense), full ownership. Access our sample guardian home contract, available exclusively to good dog breeders. The dog lives with the family, or guardian family, when it is not used for breeding. The guardian family provides a loving and caring environment that replicates the everyday life of a standard family dog. A guardian. Guardian Dog Breeding Contract.
From www.etsy.com
Guardian Home Contract for Breeders, Whelping, Reputable, Guardianship Guardian Dog Breeding Contract Access our sample guardian home contract, available exclusively to good dog breeders. As a guardian home, you are the permanent home for one of our breeding dogs while they are in our program. Signing of this contract and prior to delivery of guardian dog, guardian agrees to whelping up to 5 litters of pups or reaching an age of 4. Guardian Dog Breeding Contract.
From www.etsy.com
Stud Dog Breeding Contract for Akc Etsy Guardian Dog Breeding Contract Breeding of the guardian dog 1) the breeder shall arrange for health tests. A guardian home is a method used by dog breeders where their breeding dogs are fostered or adopted by a family. The guardian family provides a loving and caring environment that replicates the everyday life of a standard family dog. Signing of this contract and prior to. Guardian Dog Breeding Contract.
From www.etsy.com
Dog Owner Breeding Contract Bundle Full Registration Etsy Guardian Dog Breeding Contract A guardian home is a method used by dog breeders where their breeding dogs are fostered or adopted by a family. As a guardian home, you are the permanent home for one of our breeding dogs while they are in our program. The dog lives with the family, or guardian family, when it is not used for breeding. Pay for. Guardian Dog Breeding Contract.
From www.etsy.com
Guardian Home Contract Template for Breeders Customizable Editable With Guardian Dog Breeding Contract Once they are retired (and spayed/neutered at our expense), full ownership. Pay for all veterinary expenses as related to breeding related costs. Breeding of the guardian dog 1) the breeder shall arrange for health tests. The guardian family provides a loving and caring environment that replicates the everyday life of a standard family dog. Access our sample guardian home contract,. Guardian Dog Breeding Contract.
From www.etsy.com
Coowner Dog Breeder Contract, Dog Breeding Contract for Show Dogs or Guardian Dog Breeding Contract Breeding of the guardian dog 1) the breeder shall arrange for health tests. Signing of this contract and prior to delivery of guardian dog, guardian agrees to whelping up to 5 litters of pups or reaching an age of 4 years old. As a guardian home, you are the permanent home for one of our breeding dogs while they are. Guardian Dog Breeding Contract.
From ubicaciondepersonas.cdmx.gob.mx
Guardian Home Dog Breeding Contract Fillable PDF Instant Guardian Dog Breeding Contract Information on what to expect and how to care for a pregnant female. Access our sample guardian home contract, available exclusively to good dog breeders. A guardian home is a method used by dog breeders where their breeding dogs are fostered or adopted by a family. During the time the guardians have possession of the dog the breeders shall provide. Guardian Dog Breeding Contract.
From www.etsy.com
Stud Dog Owner Breeding Contract, Editable Canva Template, Instant Guardian Dog Breeding Contract Once they are retired (and spayed/neutered at our expense), full ownership. Access our sample guardian home contract, available exclusively to good dog breeders. Pay for all veterinary expenses as related to breeding related costs. Breeding of the guardian dog 1) the breeder shall arrange for health tests. Signing of this contract and prior to delivery of guardian dog, guardian agrees. Guardian Dog Breeding Contract.
From www.etsy.com
Guardian Home Dog Breeding Contract Fillable PDF Instant Download Etsy Guardian Dog Breeding Contract A guardian home is a method used by dog breeders where their breeding dogs are fostered or adopted by a family. During the time the guardians have possession of the dog the breeders shall provide the guardians: Access our sample guardian home contract, available exclusively to good dog breeders. Breeding of the guardian dog 1) the breeder shall arrange for. Guardian Dog Breeding Contract.
From www.etsy.com
Guardian Home Dog Breeding Contract Fillable PDF Instant Download Etsy Guardian Dog Breeding Contract The guardian family provides a loving and caring environment that replicates the everyday life of a standard family dog. Once they are retired (and spayed/neutered at our expense), full ownership. During the time the guardians have possession of the dog the breeders shall provide the guardians: The dog lives with the family, or guardian family, when it is not used. Guardian Dog Breeding Contract.
From www.etsy.com
Dog Owner Breeding Contract Bundle, Full Registration, Limited Guardian Dog Breeding Contract Breeding of the guardian dog 1) the breeder shall arrange for health tests. Information on what to expect and how to care for a pregnant female. During the time the guardians have possession of the dog the breeders shall provide the guardians: The dog lives with the family, or guardian family, when it is not used for breeding. As a. Guardian Dog Breeding Contract.
From www.etsy.com
Dog Owner Breeding Contract Etsy Guardian Dog Breeding Contract Pay for all veterinary expenses as related to breeding related costs. During the time the guardians have possession of the dog the breeders shall provide the guardians: The guardian family provides a loving and caring environment that replicates the everyday life of a standard family dog. Signing of this contract and prior to delivery of guardian dog, guardian agrees to. Guardian Dog Breeding Contract.
From www.etsy.com
Guardian Home Breeder Contract Dog Breeding Contract Dog Etsy Guardian Dog Breeding Contract Information on what to expect and how to care for a pregnant female. The guardian family provides a loving and caring environment that replicates the everyday life of a standard family dog. Signing of this contract and prior to delivery of guardian dog, guardian agrees to whelping up to 5 litters of pups or reaching an age of 4 years. Guardian Dog Breeding Contract.
From www.etsy.com
Guardian Puppy Contract Etsy Guardian Dog Breeding Contract The dog lives with the family, or guardian family, when it is not used for breeding. During the time the guardians have possession of the dog the breeders shall provide the guardians: Pay for all veterinary expenses as related to breeding related costs. As a guardian home, you are the permanent home for one of our breeding dogs while they. Guardian Dog Breeding Contract.
From dl-uk.apowersoft.com
Free Printable Dog Breeding Contract Guardian Dog Breeding Contract The guardian family provides a loving and caring environment that replicates the everyday life of a standard family dog. Signing of this contract and prior to delivery of guardian dog, guardian agrees to whelping up to 5 litters of pups or reaching an age of 4 years old. Information on what to expect and how to care for a pregnant. Guardian Dog Breeding Contract.