How To Get A Boiler License In Nj . If this is your first license in new jersey, forward the nonrefundable application fee of $200 with your application. What is the requirement for the safe operation of pressure vessels in new jersey and how often must they be inspected? Learn boiler operator training for new jersey operating engineers online. To get a black seal license, applicants. The student will understand boiler cycles, perform weekly routine combustion checks and perform routine maintenance on boiler systems. For your safety, all training is. To be eligible for a boiler operator's black seal license, the applicant shall have had at least three months experience as a helper, apprentice or assistant to a licensed operator of. Licenses for waste heat, coil, and electric boilers over 100 horsepower shall be issued as are all other high pressure license certificates, but are.
from formspal.com
Learn boiler operator training for new jersey operating engineers online. If this is your first license in new jersey, forward the nonrefundable application fee of $200 with your application. What is the requirement for the safe operation of pressure vessels in new jersey and how often must they be inspected? To get a black seal license, applicants. For your safety, all training is. The student will understand boiler cycles, perform weekly routine combustion checks and perform routine maintenance on boiler systems. To be eligible for a boiler operator's black seal license, the applicant shall have had at least three months experience as a helper, apprentice or assistant to a licensed operator of. Licenses for waste heat, coil, and electric boilers over 100 horsepower shall be issued as are all other high pressure license certificates, but are.
Nj Boiler License Renewal ≡ Fill Out Printable PDF Forms Online
How To Get A Boiler License In Nj The student will understand boiler cycles, perform weekly routine combustion checks and perform routine maintenance on boiler systems. To be eligible for a boiler operator's black seal license, the applicant shall have had at least three months experience as a helper, apprentice or assistant to a licensed operator of. If this is your first license in new jersey, forward the nonrefundable application fee of $200 with your application. For your safety, all training is. Learn boiler operator training for new jersey operating engineers online. The student will understand boiler cycles, perform weekly routine combustion checks and perform routine maintenance on boiler systems. Licenses for waste heat, coil, and electric boilers over 100 horsepower shall be issued as are all other high pressure license certificates, but are. What is the requirement for the safe operation of pressure vessels in new jersey and how often must they be inspected? To get a black seal license, applicants.
From steamboilerpitsujiku.blogspot.com
Steam Boiler Steam Boiler Nj How To Get A Boiler License In Nj If this is your first license in new jersey, forward the nonrefundable application fee of $200 with your application. To get a black seal license, applicants. For your safety, all training is. To be eligible for a boiler operator's black seal license, the applicant shall have had at least three months experience as a helper, apprentice or assistant to a. How To Get A Boiler License In Nj.
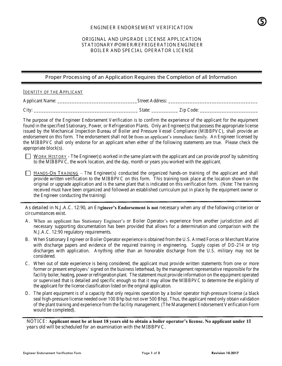
From gioyepwcs.blob.core.windows.net
How To Get A Low Pressure Boiler License at Theresa Louis blog How To Get A Boiler License In Nj To be eligible for a boiler operator's black seal license, the applicant shall have had at least three months experience as a helper, apprentice or assistant to a licensed operator of. If this is your first license in new jersey, forward the nonrefundable application fee of $200 with your application. What is the requirement for the safe operation of pressure. How To Get A Boiler License In Nj.
From revenplz.blogspot.com
Nj Boiler Operator Requirements How To Get A Boiler License In Nj If this is your first license in new jersey, forward the nonrefundable application fee of $200 with your application. To be eligible for a boiler operator's black seal license, the applicant shall have had at least three months experience as a helper, apprentice or assistant to a licensed operator of. For your safety, all training is. Learn boiler operator training. How To Get A Boiler License In Nj.
From www.scribd.com
Department of Labor boiler license classifications July05 Boiler Steam How To Get A Boiler License In Nj For your safety, all training is. What is the requirement for the safe operation of pressure vessels in new jersey and how often must they be inspected? Licenses for waste heat, coil, and electric boilers over 100 horsepower shall be issued as are all other high pressure license certificates, but are. The student will understand boiler cycles, perform weekly routine. How To Get A Boiler License In Nj.
From www.templateroller.com
Form BPVC003 Fill Out, Sign Online and Download Printable PDF, New How To Get A Boiler License In Nj If this is your first license in new jersey, forward the nonrefundable application fee of $200 with your application. Licenses for waste heat, coil, and electric boilers over 100 horsepower shall be issued as are all other high pressure license certificates, but are. For your safety, all training is. Learn boiler operator training for new jersey operating engineers online. The. How To Get A Boiler License In Nj.
From gioyepwcs.blob.core.windows.net
How To Get A Low Pressure Boiler License at Theresa Louis blog How To Get A Boiler License In Nj To get a black seal license, applicants. For your safety, all training is. To be eligible for a boiler operator's black seal license, the applicant shall have had at least three months experience as a helper, apprentice or assistant to a licensed operator of. What is the requirement for the safe operation of pressure vessels in new jersey and how. How To Get A Boiler License In Nj.
From www.templateroller.com
Form BPVC003 Fill Out, Sign Online and Download Printable PDF, New How To Get A Boiler License In Nj To be eligible for a boiler operator's black seal license, the applicant shall have had at least three months experience as a helper, apprentice or assistant to a licensed operator of. Licenses for waste heat, coil, and electric boilers over 100 horsepower shall be issued as are all other high pressure license certificates, but are. To get a black seal. How To Get A Boiler License In Nj.
From www.youtube.com
Boiler License Module4 Part4 YouTube How To Get A Boiler License In Nj What is the requirement for the safe operation of pressure vessels in new jersey and how often must they be inspected? To get a black seal license, applicants. Licenses for waste heat, coil, and electric boilers over 100 horsepower shall be issued as are all other high pressure license certificates, but are. Learn boiler operator training for new jersey operating. How To Get A Boiler License In Nj.
From www.templateroller.com
Form BPVC003 Download Printable PDF or Fill Online Application for How To Get A Boiler License In Nj Licenses for waste heat, coil, and electric boilers over 100 horsepower shall be issued as are all other high pressure license certificates, but are. What is the requirement for the safe operation of pressure vessels in new jersey and how often must they be inspected? To be eligible for a boiler operator's black seal license, the applicant shall have had. How To Get A Boiler License In Nj.
From formspal.com
Nj Boiler License Renewal ≡ Fill Out Printable PDF Forms Online How To Get A Boiler License In Nj If this is your first license in new jersey, forward the nonrefundable application fee of $200 with your application. To get a black seal license, applicants. Learn boiler operator training for new jersey operating engineers online. The student will understand boiler cycles, perform weekly routine combustion checks and perform routine maintenance on boiler systems. What is the requirement for the. How To Get A Boiler License In Nj.
From fasron391.weebly.com
Nj Black Seal Low Pressure License fasron How To Get A Boiler License In Nj For your safety, all training is. Licenses for waste heat, coil, and electric boilers over 100 horsepower shall be issued as are all other high pressure license certificates, but are. What is the requirement for the safe operation of pressure vessels in new jersey and how often must they be inspected? If this is your first license in new jersey,. How To Get A Boiler License In Nj.
From formspal.com
Nj Boiler License Renewal ≡ Fill Out Printable PDF Forms Online How To Get A Boiler License In Nj To get a black seal license, applicants. For your safety, all training is. To be eligible for a boiler operator's black seal license, the applicant shall have had at least three months experience as a helper, apprentice or assistant to a licensed operator of. The student will understand boiler cycles, perform weekly routine combustion checks and perform routine maintenance on. How To Get A Boiler License In Nj.
From www.templateroller.com
Form BPVC003 Fill Out, Sign Online and Download Printable PDF, New How To Get A Boiler License In Nj To get a black seal license, applicants. If this is your first license in new jersey, forward the nonrefundable application fee of $200 with your application. For your safety, all training is. The student will understand boiler cycles, perform weekly routine combustion checks and perform routine maintenance on boiler systems. Licenses for waste heat, coil, and electric boilers over 100. How To Get A Boiler License In Nj.
From www.boilerlicense.com
Advanced Steam Boiler Training GCAP's Online or Hands On Boiler How To Get A Boiler License In Nj Licenses for waste heat, coil, and electric boilers over 100 horsepower shall be issued as are all other high pressure license certificates, but are. For your safety, all training is. Learn boiler operator training for new jersey operating engineers online. The student will understand boiler cycles, perform weekly routine combustion checks and perform routine maintenance on boiler systems. If this. How To Get A Boiler License In Nj.
From www.youtube.com
How To Get Boiler, HotWater Heating And Steam Fitting Contractors How To Get A Boiler License In Nj To get a black seal license, applicants. To be eligible for a boiler operator's black seal license, the applicant shall have had at least three months experience as a helper, apprentice or assistant to a licensed operator of. What is the requirement for the safe operation of pressure vessels in new jersey and how often must they be inspected? The. How To Get A Boiler License In Nj.
From www.thetrainingcenter.com
Red Seal Engineer 1B — The Training Center Online Training For How To Get A Boiler License In Nj To get a black seal license, applicants. Licenses for waste heat, coil, and electric boilers over 100 horsepower shall be issued as are all other high pressure license certificates, but are. If this is your first license in new jersey, forward the nonrefundable application fee of $200 with your application. What is the requirement for the safe operation of pressure. How To Get A Boiler License In Nj.
From www.stuvia.com
Boiler License Question and answers 100 correct 2023/2024 MN Boilers How To Get A Boiler License In Nj If this is your first license in new jersey, forward the nonrefundable application fee of $200 with your application. For your safety, all training is. Learn boiler operator training for new jersey operating engineers online. What is the requirement for the safe operation of pressure vessels in new jersey and how often must they be inspected? To be eligible for. How To Get A Boiler License In Nj.
From www.scribd.com
Department of Labor Boiler License Classifications July05 PDF How To Get A Boiler License In Nj The student will understand boiler cycles, perform weekly routine combustion checks and perform routine maintenance on boiler systems. If this is your first license in new jersey, forward the nonrefundable application fee of $200 with your application. For your safety, all training is. Licenses for waste heat, coil, and electric boilers over 100 horsepower shall be issued as are all. How To Get A Boiler License In Nj.
From gioyepwcs.blob.core.windows.net
How To Get A Low Pressure Boiler License at Theresa Louis blog How To Get A Boiler License In Nj Learn boiler operator training for new jersey operating engineers online. To get a black seal license, applicants. The student will understand boiler cycles, perform weekly routine combustion checks and perform routine maintenance on boiler systems. To be eligible for a boiler operator's black seal license, the applicant shall have had at least three months experience as a helper, apprentice or. How To Get A Boiler License In Nj.
From www.glabarre.com
Steam Boiler Operator's License How To Get A Boiler License In Nj If this is your first license in new jersey, forward the nonrefundable application fee of $200 with your application. To be eligible for a boiler operator's black seal license, the applicant shall have had at least three months experience as a helper, apprentice or assistant to a licensed operator of. The student will understand boiler cycles, perform weekly routine combustion. How To Get A Boiler License In Nj.
From www.boilerlicense.com
20161122_101450 GCAP's Online or Hands On Boiler Training and How To Get A Boiler License In Nj Learn boiler operator training for new jersey operating engineers online. What is the requirement for the safe operation of pressure vessels in new jersey and how often must they be inspected? To be eligible for a boiler operator's black seal license, the applicant shall have had at least three months experience as a helper, apprentice or assistant to a licensed. How To Get A Boiler License In Nj.
From www.templateroller.com
Form BPVC003 Fill Out, Sign Online and Download Printable PDF, New How To Get A Boiler License In Nj If this is your first license in new jersey, forward the nonrefundable application fee of $200 with your application. Licenses for waste heat, coil, and electric boilers over 100 horsepower shall be issued as are all other high pressure license certificates, but are. To be eligible for a boiler operator's black seal license, the applicant shall have had at least. How To Get A Boiler License In Nj.
From www.templateroller.com
Form BPVC003 Fill Out, Sign Online and Download Printable PDF, New How To Get A Boiler License In Nj To be eligible for a boiler operator's black seal license, the applicant shall have had at least three months experience as a helper, apprentice or assistant to a licensed operator of. For your safety, all training is. What is the requirement for the safe operation of pressure vessels in new jersey and how often must they be inspected? To get. How To Get A Boiler License In Nj.
From www.pdffiller.com
Online Boiler Operator License Fill Online, Printable, Fillable How To Get A Boiler License In Nj To get a black seal license, applicants. What is the requirement for the safe operation of pressure vessels in new jersey and how often must they be inspected? To be eligible for a boiler operator's black seal license, the applicant shall have had at least three months experience as a helper, apprentice or assistant to a licensed operator of. Learn. How To Get A Boiler License In Nj.
From www.templateroller.com
Form BPVC003 Download Printable PDF or Fill Online Application for How To Get A Boiler License In Nj To get a black seal license, applicants. What is the requirement for the safe operation of pressure vessels in new jersey and how often must they be inspected? To be eligible for a boiler operator's black seal license, the applicant shall have had at least three months experience as a helper, apprentice or assistant to a licensed operator of. Licenses. How To Get A Boiler License In Nj.
From www.uslegalforms.com
Boiler Engineer License Affidavit Minnesota Department Of Fill How To Get A Boiler License In Nj The student will understand boiler cycles, perform weekly routine combustion checks and perform routine maintenance on boiler systems. What is the requirement for the safe operation of pressure vessels in new jersey and how often must they be inspected? Licenses for waste heat, coil, and electric boilers over 100 horsepower shall be issued as are all other high pressure license. How To Get A Boiler License In Nj.
From www.templateroller.com
Form BPVC003 Fill Out, Sign Online and Download Printable PDF, New How To Get A Boiler License In Nj If this is your first license in new jersey, forward the nonrefundable application fee of $200 with your application. For your safety, all training is. Learn boiler operator training for new jersey operating engineers online. To get a black seal license, applicants. What is the requirement for the safe operation of pressure vessels in new jersey and how often must. How To Get A Boiler License In Nj.
From www.templateroller.com
Form BPVC003 Download Printable PDF or Fill Online Application for How To Get A Boiler License In Nj Licenses for waste heat, coil, and electric boilers over 100 horsepower shall be issued as are all other high pressure license certificates, but are. If this is your first license in new jersey, forward the nonrefundable application fee of $200 with your application. The student will understand boiler cycles, perform weekly routine combustion checks and perform routine maintenance on boiler. How To Get A Boiler License In Nj.
From www.templateroller.com
Form BPVC003 Download Printable PDF or Fill Online Application for How To Get A Boiler License In Nj If this is your first license in new jersey, forward the nonrefundable application fee of $200 with your application. Learn boiler operator training for new jersey operating engineers online. To get a black seal license, applicants. Licenses for waste heat, coil, and electric boilers over 100 horsepower shall be issued as are all other high pressure license certificates, but are.. How To Get A Boiler License In Nj.
From www.electrical4u.net
Boiler License Electrical4u How To Get A Boiler License In Nj What is the requirement for the safe operation of pressure vessels in new jersey and how often must they be inspected? Licenses for waste heat, coil, and electric boilers over 100 horsepower shall be issued as are all other high pressure license certificates, but are. The student will understand boiler cycles, perform weekly routine combustion checks and perform routine maintenance. How To Get A Boiler License In Nj.
From www.youtube.com
HOW TO GET BOILER ATTENDANT CERTIFICATE WHAT IS 1ST AND 2ND CLASS How To Get A Boiler License In Nj To be eligible for a boiler operator's black seal license, the applicant shall have had at least three months experience as a helper, apprentice or assistant to a licensed operator of. For your safety, all training is. Licenses for waste heat, coil, and electric boilers over 100 horsepower shall be issued as are all other high pressure license certificates, but. How To Get A Boiler License In Nj.
From www.templateroller.com
Form BPVC003 Fill Out, Sign Online and Download Printable PDF, New How To Get A Boiler License In Nj The student will understand boiler cycles, perform weekly routine combustion checks and perform routine maintenance on boiler systems. For your safety, all training is. If this is your first license in new jersey, forward the nonrefundable application fee of $200 with your application. To get a black seal license, applicants. Learn boiler operator training for new jersey operating engineers online.. How To Get A Boiler License In Nj.
From www.thetrainingcenter.com
Week 4 LP/SP — The Training Center Online Training For Boilers How To Get A Boiler License In Nj What is the requirement for the safe operation of pressure vessels in new jersey and how often must they be inspected? To be eligible for a boiler operator's black seal license, the applicant shall have had at least three months experience as a helper, apprentice or assistant to a licensed operator of. Licenses for waste heat, coil, and electric boilers. How To Get A Boiler License In Nj.
From www.templateroller.com
Form BPVC003 Download Printable PDF or Fill Online Application for How To Get A Boiler License In Nj To get a black seal license, applicants. To be eligible for a boiler operator's black seal license, the applicant shall have had at least three months experience as a helper, apprentice or assistant to a licensed operator of. For your safety, all training is. The student will understand boiler cycles, perform weekly routine combustion checks and perform routine maintenance on. How To Get A Boiler License In Nj.
From www.thetrainingcenter.com
NJ Refrigeration Engineer License Training — The Training Center How To Get A Boiler License In Nj What is the requirement for the safe operation of pressure vessels in new jersey and how often must they be inspected? To get a black seal license, applicants. To be eligible for a boiler operator's black seal license, the applicant shall have had at least three months experience as a helper, apprentice or assistant to a licensed operator of. The. How To Get A Boiler License In Nj.