Product Rule Equation A Level Maths . If where u and v are functions. Maths revision video and notes on the topic of differentiating using the product rule. If where u and v are functions. In order to differentiate such expressions we need to use the product rule which has a very simple formula: This is another very useful formula: D (uv) = v du + u dv. This is used when differentiating a product of two. What is the product rule? \text { if } y=u \times v \text {, then }. What is the product rule? The product rule is a formula that allows you to differentiate a product of two functions; The product rule is a formula that allows you to differentiate a product of two functions;
        
         
         
        from unacademy.com 
     
        
        In order to differentiate such expressions we need to use the product rule which has a very simple formula: The product rule is a formula that allows you to differentiate a product of two functions; D (uv) = v du + u dv. If where u and v are functions. If where u and v are functions. Maths revision video and notes on the topic of differentiating using the product rule. \text { if } y=u \times v \text {, then }. This is another very useful formula: What is the product rule? What is the product rule?
    
    	
            
	
		 
	 
         
    How to Prove Product Rule Formula Using the First Principle 
    Product Rule Equation A Level Maths  If where u and v are functions. \text { if } y=u \times v \text {, then }. Maths revision video and notes on the topic of differentiating using the product rule. If where u and v are functions. The product rule is a formula that allows you to differentiate a product of two functions; This is another very useful formula: D (uv) = v du + u dv. This is used when differentiating a product of two. What is the product rule? In order to differentiate such expressions we need to use the product rule which has a very simple formula: What is the product rule? If where u and v are functions. The product rule is a formula that allows you to differentiate a product of two functions;
            
	
		 
	 
         
 
    
         
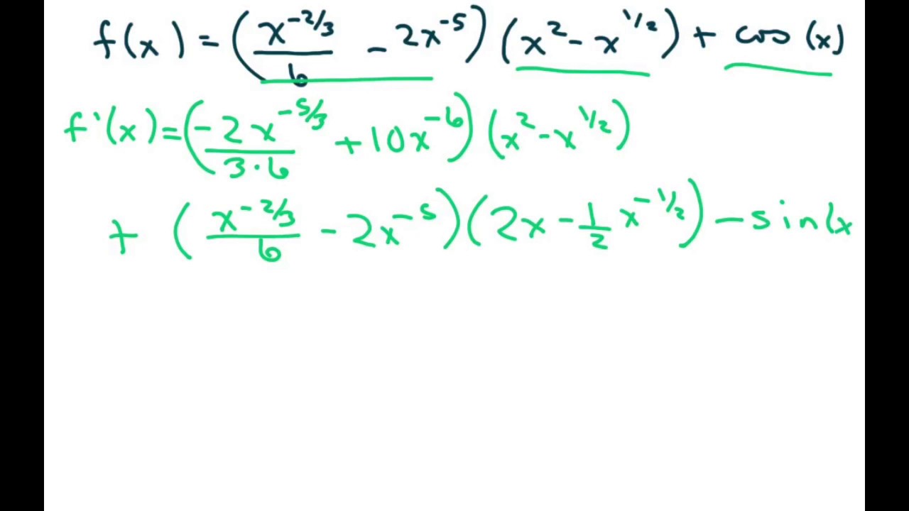
        From www.bytelearn.com 
                    Simplify Expressions With Product Rule And Quotient Rule Worksheets Product Rule Equation A Level Maths  The product rule is a formula that allows you to differentiate a product of two functions; The product rule is a formula that allows you to differentiate a product of two functions; What is the product rule? What is the product rule? If where u and v are functions. \text { if } y=u \times v \text {, then }.. Product Rule Equation A Level Maths.
     
    
         
        From emedia.rmit.edu.au 
                    D6 The product rule Learning Lab Product Rule Equation A Level Maths  What is the product rule? In order to differentiate such expressions we need to use the product rule which has a very simple formula: The product rule is a formula that allows you to differentiate a product of two functions; D (uv) = v du + u dv. \text { if } y=u \times v \text {, then }. This. Product Rule Equation A Level Maths.
     
    
         
        From www.youtube.com 
                    Product Rule for Differentiation ALevel Maths YouTube Product Rule Equation A Level Maths  What is the product rule? D (uv) = v du + u dv. The product rule is a formula that allows you to differentiate a product of two functions; What is the product rule? Maths revision video and notes on the topic of differentiating using the product rule. If where u and v are functions. The product rule is a. Product Rule Equation A Level Maths.
     
    
         
        From www.youtube.com 
                    Product Rule YouTube Product Rule Equation A Level Maths  What is the product rule? In order to differentiate such expressions we need to use the product rule which has a very simple formula: If where u and v are functions. The product rule is a formula that allows you to differentiate a product of two functions; This is another very useful formula: \text { if } y=u \times v. Product Rule Equation A Level Maths.
     
    
         
        From www.youtube.com 
                    THE PRODUCT RULE FOR DERIVATIVES Differential Calculus YouTube Product Rule Equation A Level Maths  What is the product rule? This is used when differentiating a product of two. In order to differentiate such expressions we need to use the product rule which has a very simple formula: If where u and v are functions. \text { if } y=u \times v \text {, then }. What is the product rule? The product rule is. Product Rule Equation A Level Maths.
     
    
         
        From www.youtube.com 
                    The Product Rule Example 2 YouTube Product Rule Equation A Level Maths  The product rule is a formula that allows you to differentiate a product of two functions; Maths revision video and notes on the topic of differentiating using the product rule. In order to differentiate such expressions we need to use the product rule which has a very simple formula: This is another very useful formula: This is used when differentiating. Product Rule Equation A Level Maths.
     
    
         
        From www.animalia-life.club 
                    Integration Product Rule Product Rule Equation A Level Maths  If where u and v are functions. Maths revision video and notes on the topic of differentiating using the product rule. D (uv) = v du + u dv. The product rule is a formula that allows you to differentiate a product of two functions; What is the product rule? This is another very useful formula: If where u and. Product Rule Equation A Level Maths.
     
    
         
        From www.ohmymaths.com 
                    Product rule example 1 3 Product Rule Equation A Level Maths  If where u and v are functions. If where u and v are functions. The product rule is a formula that allows you to differentiate a product of two functions; The product rule is a formula that allows you to differentiate a product of two functions; This is used when differentiating a product of two. This is another very useful. Product Rule Equation A Level Maths.
     
    
         
        From www.youtube.com 
                    How to find derivatives using the PRODUCT RULE? YouTube Product Rule Equation A Level Maths  D (uv) = v du + u dv. This is another very useful formula: The product rule is a formula that allows you to differentiate a product of two functions; This is used when differentiating a product of two. What is the product rule? If where u and v are functions. The product rule is a formula that allows you. Product Rule Equation A Level Maths.
     
    
         
        From www.youtube.com 
                    How To Utilize the Product Rule Formula. Part 3 YouTube Product Rule Equation A Level Maths  The product rule is a formula that allows you to differentiate a product of two functions; In order to differentiate such expressions we need to use the product rule which has a very simple formula: This is another very useful formula: \text { if } y=u \times v \text {, then }. What is the product rule? The product rule. Product Rule Equation A Level Maths.
     
    
         
        From calcworkshop.com 
                    Product Rule For Calculus (w/ StepbyStep Examples!) Product Rule Equation A Level Maths  In order to differentiate such expressions we need to use the product rule which has a very simple formula: \text { if } y=u \times v \text {, then }. If where u and v are functions. What is the product rule? D (uv) = v du + u dv. If where u and v are functions. What is the. Product Rule Equation A Level Maths.
     
    
         
        From programmathically.com 
                    Products, Quotients, and Chains Simple Rules for Calculus Product Rule Equation A Level Maths  What is the product rule? Maths revision video and notes on the topic of differentiating using the product rule. This is used when differentiating a product of two. The product rule is a formula that allows you to differentiate a product of two functions; The product rule is a formula that allows you to differentiate a product of two functions;. Product Rule Equation A Level Maths.
     
    
         
        From thirdspacelearning.com 
                    Product Rule For Counting GCSE Maths Steps, Examples & Worksheet Product Rule Equation A Level Maths  This is another very useful formula: If where u and v are functions. The product rule is a formula that allows you to differentiate a product of two functions; Maths revision video and notes on the topic of differentiating using the product rule. If where u and v are functions. D (uv) = v du + u dv. In order. Product Rule Equation A Level Maths.
     
    
         
        From www.savemyexams.com 
                    Product Rule Edexcel A Level Maths Pure Revision Notes 2018 Product Rule Equation A Level Maths  \text { if } y=u \times v \text {, then }. What is the product rule? The product rule is a formula that allows you to differentiate a product of two functions; D (uv) = v du + u dv. If where u and v are functions. This is another very useful formula: The product rule is a formula that. Product Rule Equation A Level Maths.
     
    
         
        From www.youtube.com 
                    How to Use the Product Rule for Derivatives to Differentiate x^2*ln(x Product Rule Equation A Level Maths  The product rule is a formula that allows you to differentiate a product of two functions; The product rule is a formula that allows you to differentiate a product of two functions; What is the product rule? This is another very useful formula: In order to differentiate such expressions we need to use the product rule which has a very. Product Rule Equation A Level Maths.
     
    
         
        From www.savemyexams.com 
                    Product Rule CIE A Level Maths Pure 3 Revision Notes 2020 Product Rule Equation A Level Maths  The product rule is a formula that allows you to differentiate a product of two functions; D (uv) = v du + u dv. \text { if } y=u \times v \text {, then }. What is the product rule? If where u and v are functions. What is the product rule? Maths revision video and notes on the topic. Product Rule Equation A Level Maths.
     
    
         
        From unacademy.com 
                    How to Prove Product Rule Formula Using the First Principle Product Rule Equation A Level Maths  If where u and v are functions. This is another very useful formula: \text { if } y=u \times v \text {, then }. The product rule is a formula that allows you to differentiate a product of two functions; What is the product rule? The product rule is a formula that allows you to differentiate a product of two. Product Rule Equation A Level Maths.
     
    
         
        From calcworkshop.com 
                    Product Rule For Calculus (w/ StepbyStep Examples!) Product Rule Equation A Level Maths  This is used when differentiating a product of two. In order to differentiate such expressions we need to use the product rule which has a very simple formula: Maths revision video and notes on the topic of differentiating using the product rule. This is another very useful formula: What is the product rule? \text { if } y=u \times v. Product Rule Equation A Level Maths.
     
    
         
        From www.slideserve.com 
                    PPT Product Rule PowerPoint Presentation, free download ID5567466 Product Rule Equation A Level Maths  Maths revision video and notes on the topic of differentiating using the product rule. If where u and v are functions. \text { if } y=u \times v \text {, then }. This is another very useful formula: In order to differentiate such expressions we need to use the product rule which has a very simple formula: D (uv) =. Product Rule Equation A Level Maths.
     
    
         
        From www.youtube.com 
                    Differentiation Product Rule ExamSolutions YouTube Product Rule Equation A Level Maths  D (uv) = v du + u dv. What is the product rule? \text { if } y=u \times v \text {, then }. If where u and v are functions. The product rule is a formula that allows you to differentiate a product of two functions; Maths revision video and notes on the topic of differentiating using the product. Product Rule Equation A Level Maths.
     
    
         
        From www.ohmymaths.com 
                    Product rule example 1 3 Product Rule Equation A Level Maths  \text { if } y=u \times v \text {, then }. What is the product rule? D (uv) = v du + u dv. The product rule is a formula that allows you to differentiate a product of two functions; Maths revision video and notes on the topic of differentiating using the product rule. In order to differentiate such expressions. Product Rule Equation A Level Maths.
     
    
         
        From www.youtube.com 
                    Higher Order Derivatives Product Rule YouTube Product Rule Equation A Level Maths  This is used when differentiating a product of two. If where u and v are functions. In order to differentiate such expressions we need to use the product rule which has a very simple formula: Maths revision video and notes on the topic of differentiating using the product rule. This is another very useful formula: \text { if } y=u. Product Rule Equation A Level Maths.
     
    
         
        From www.showme.com 
                    Product rule for exponents Math ShowMe Product Rule Equation A Level Maths  The product rule is a formula that allows you to differentiate a product of two functions; If where u and v are functions. What is the product rule? D (uv) = v du + u dv. In order to differentiate such expressions we need to use the product rule which has a very simple formula: \text { if } y=u. Product Rule Equation A Level Maths.
     
    
         
        From www.youtube.com 
                    Core 4 Maths ALevel The Product Rule YouTube Product Rule Equation A Level Maths  The product rule is a formula that allows you to differentiate a product of two functions; What is the product rule? This is used when differentiating a product of two. The product rule is a formula that allows you to differentiate a product of two functions; What is the product rule? In order to differentiate such expressions we need to. Product Rule Equation A Level Maths.
     
    
         
        From thirdspacelearning.com 
                    Product Rule For Counting GCSE Maths Steps, Examples & Worksheet Product Rule Equation A Level Maths  This is another very useful formula: \text { if } y=u \times v \text {, then }. What is the product rule? In order to differentiate such expressions we need to use the product rule which has a very simple formula: The product rule is a formula that allows you to differentiate a product of two functions; Maths revision video. Product Rule Equation A Level Maths.
     
    
         
        From www.youtube.com 
                    Product Rule With Infinitesimals YouTube Product Rule Equation A Level Maths  What is the product rule? This is another very useful formula: \text { if } y=u \times v \text {, then }. Maths revision video and notes on the topic of differentiating using the product rule. If where u and v are functions. This is used when differentiating a product of two. What is the product rule? The product rule. Product Rule Equation A Level Maths.
     
    
         
        From www.shutterstock.com 
                    Derivative Product Rule Formula Mathematics Stock Vector (Royalty Free Product Rule Equation A Level Maths  If where u and v are functions. What is the product rule? If where u and v are functions. This is another very useful formula: What is the product rule? \text { if } y=u \times v \text {, then }. The product rule is a formula that allows you to differentiate a product of two functions; Maths revision video. Product Rule Equation A Level Maths.
     
    
         
        From mathsmethods.com.au 
                    Product Rule and Quotient Rule in Maths Methods Product Rule Equation A Level Maths  What is the product rule? If where u and v are functions. The product rule is a formula that allows you to differentiate a product of two functions; This is used when differentiating a product of two. In order to differentiate such expressions we need to use the product rule which has a very simple formula: D (uv) = v. Product Rule Equation A Level Maths.
     
    
         
        From calcworkshop.com 
                    Product Rule For Calculus (w/ StepbyStep Examples!) Product Rule Equation A Level Maths  The product rule is a formula that allows you to differentiate a product of two functions; Maths revision video and notes on the topic of differentiating using the product rule. If where u and v are functions. What is the product rule? \text { if } y=u \times v \text {, then }. This is used when differentiating a product. Product Rule Equation A Level Maths.
     
    
         
        From mmerevise.co.uk 
                    Product Moment Correlation Coefficient Revision MME Product Rule Equation A Level Maths  Maths revision video and notes on the topic of differentiating using the product rule. What is the product rule? This is another very useful formula: If where u and v are functions. \text { if } y=u \times v \text {, then }. If where u and v are functions. D (uv) = v du + u dv. The product. Product Rule Equation A Level Maths.
     
    
         
        From www.youtube.com 
                    A Level Maths Differentiation 6. The Product and Quotient rules YouTube Product Rule Equation A Level Maths  What is the product rule? If where u and v are functions. Maths revision video and notes on the topic of differentiating using the product rule. D (uv) = v du + u dv. \text { if } y=u \times v \text {, then }. The product rule is a formula that allows you to differentiate a product of two. Product Rule Equation A Level Maths.
     
    
         
        From www.studypool.com 
                    SOLUTION 24 the product rule formula derivation notes Studypool Product Rule Equation A Level Maths  If where u and v are functions. The product rule is a formula that allows you to differentiate a product of two functions; In order to differentiate such expressions we need to use the product rule which has a very simple formula: What is the product rule? If where u and v are functions. This is used when differentiating a. Product Rule Equation A Level Maths.
     
    
         
        From www.showme.com 
                    Product rule Math ShowMe Product Rule Equation A Level Maths  D (uv) = v du + u dv. What is the product rule? Maths revision video and notes on the topic of differentiating using the product rule. This is used when differentiating a product of two. What is the product rule? \text { if } y=u \times v \text {, then }. If where u and v are functions. This. Product Rule Equation A Level Maths.
     
    
         
        From www.youtube.com 
                    GRADE 7 MATH Special Product Formula 👉 Finding the Product of a Product Rule Equation A Level Maths  What is the product rule? What is the product rule? If where u and v are functions. Maths revision video and notes on the topic of differentiating using the product rule. This is another very useful formula: D (uv) = v du + u dv. \text { if } y=u \times v \text {, then }. The product rule is. Product Rule Equation A Level Maths.
     
    
         
        From calcworkshop.com 
                    Product Rule For Calculus (w/ StepbyStep Examples!) Product Rule Equation A Level Maths  In order to differentiate such expressions we need to use the product rule which has a very simple formula: Maths revision video and notes on the topic of differentiating using the product rule. D (uv) = v du + u dv. What is the product rule? The product rule is a formula that allows you to differentiate a product of. Product Rule Equation A Level Maths.