Projection Practice Problems . Practice newman projection problems with answers in a pdf format to improve your understanding of organic chemistry Draw potential energy vs dihedral angle graph for conformational analysis of propane as it rotates around the single bond. The following exercise is to practice converting newman projections to bond line structures. In order to better visualize different conformations of a molecule, it is convenient to use a drawing convention called the newman projection. Check this article for some illustrations and handy tricks. Cyclohexane chair analysis newman projections and practic problems.
from www.youtube.com
Cyclohexane chair analysis newman projections and practic problems. The following exercise is to practice converting newman projections to bond line structures. Draw potential energy vs dihedral angle graph for conformational analysis of propane as it rotates around the single bond. Practice newman projection problems with answers in a pdf format to improve your understanding of organic chemistry Check this article for some illustrations and handy tricks. In order to better visualize different conformations of a molecule, it is convenient to use a drawing convention called the newman projection.
problem no. 7, 8, 9 & 10 projections of points solutions with
Projection Practice Problems Cyclohexane chair analysis newman projections and practic problems. The following exercise is to practice converting newman projections to bond line structures. Practice newman projection problems with answers in a pdf format to improve your understanding of organic chemistry Draw potential energy vs dihedral angle graph for conformational analysis of propane as it rotates around the single bond. Cyclohexane chair analysis newman projections and practic problems. Check this article for some illustrations and handy tricks. In order to better visualize different conformations of a molecule, it is convenient to use a drawing convention called the newman projection.
From animalia-life.club
Orthographic Projection Exercises With Answers Projection Practice Problems Practice newman projection problems with answers in a pdf format to improve your understanding of organic chemistry Check this article for some illustrations and handy tricks. Draw potential energy vs dihedral angle graph for conformational analysis of propane as it rotates around the single bond. Cyclohexane chair analysis newman projections and practic problems. In order to better visualize different conformations. Projection Practice Problems.
From animalia-life.club
Orthographic Projection Exercises With Answers Projection Practice Problems In order to better visualize different conformations of a molecule, it is convenient to use a drawing convention called the newman projection. Practice newman projection problems with answers in a pdf format to improve your understanding of organic chemistry Check this article for some illustrations and handy tricks. Cyclohexane chair analysis newman projections and practic problems. The following exercise is. Projection Practice Problems.
From www.chegg.com
Practice Problems PART 1 ORTHOGRAPHIC PROJECTIONS Projection Practice Problems The following exercise is to practice converting newman projections to bond line structures. Draw potential energy vs dihedral angle graph for conformational analysis of propane as it rotates around the single bond. Practice newman projection problems with answers in a pdf format to improve your understanding of organic chemistry Cyclohexane chair analysis newman projections and practic problems. Check this article. Projection Practice Problems.
From www.youtube.com
PROBLEM NO.1 PROJECTIONS OF PLANES (EXERCISES 12, ENGINEERING DRAWING Projection Practice Problems In order to better visualize different conformations of a molecule, it is convenient to use a drawing convention called the newman projection. Practice newman projection problems with answers in a pdf format to improve your understanding of organic chemistry The following exercise is to practice converting newman projections to bond line structures. Check this article for some illustrations and handy. Projection Practice Problems.
From www.slideshare.net
Orthographic projection exercises Projection Practice Problems Practice newman projection problems with answers in a pdf format to improve your understanding of organic chemistry Check this article for some illustrations and handy tricks. In order to better visualize different conformations of a molecule, it is convenient to use a drawing convention called the newman projection. Cyclohexane chair analysis newman projections and practic problems. The following exercise is. Projection Practice Problems.
From es.scribd.com
Newman Projections Practice ProblemsAnswers Conformational Isomerism Projection Practice Problems In order to better visualize different conformations of a molecule, it is convenient to use a drawing convention called the newman projection. Cyclohexane chair analysis newman projections and practic problems. Check this article for some illustrations and handy tricks. Draw potential energy vs dihedral angle graph for conformational analysis of propane as it rotates around the single bond. Practice newman. Projection Practice Problems.
From www.reddit.com
Fischer Projection Problems and Answers r/chemistry_helper Projection Practice Problems Cyclohexane chair analysis newman projections and practic problems. Practice newman projection problems with answers in a pdf format to improve your understanding of organic chemistry In order to better visualize different conformations of a molecule, it is convenient to use a drawing convention called the newman projection. Check this article for some illustrations and handy tricks. Draw potential energy vs. Projection Practice Problems.
From www.youtube.com
Engineering Drawing Sectional Orthographic Projection Problem 21 Projection Practice Problems Draw potential energy vs dihedral angle graph for conformational analysis of propane as it rotates around the single bond. Check this article for some illustrations and handy tricks. Cyclohexane chair analysis newman projections and practic problems. Practice newman projection problems with answers in a pdf format to improve your understanding of organic chemistry The following exercise is to practice converting. Projection Practice Problems.
From www.chegg.com
Solved Computer Science I Program 4 Projector Problems Projection Practice Problems Check this article for some illustrations and handy tricks. The following exercise is to practice converting newman projections to bond line structures. Draw potential energy vs dihedral angle graph for conformational analysis of propane as it rotates around the single bond. In order to better visualize different conformations of a molecule, it is convenient to use a drawing convention called. Projection Practice Problems.
From www.chemistrysteps.com
Converting BondLine, Newman, and Fischer Projection Projection Practice Problems The following exercise is to practice converting newman projections to bond line structures. Check this article for some illustrations and handy tricks. Draw potential energy vs dihedral angle graph for conformational analysis of propane as it rotates around the single bond. Cyclohexane chair analysis newman projections and practic problems. Practice newman projection problems with answers in a pdf format to. Projection Practice Problems.
From www.youtube.com
problem no. 7, 8, 9 & 10 projections of points solutions with Projection Practice Problems Draw potential energy vs dihedral angle graph for conformational analysis of propane as it rotates around the single bond. Practice newman projection problems with answers in a pdf format to improve your understanding of organic chemistry Cyclohexane chair analysis newman projections and practic problems. In order to better visualize different conformations of a molecule, it is convenient to use a. Projection Practice Problems.
From animalia-life.club
Orthographic Projection Exercises With Answers Projection Practice Problems Cyclohexane chair analysis newman projections and practic problems. In order to better visualize different conformations of a molecule, it is convenient to use a drawing convention called the newman projection. Practice newman projection problems with answers in a pdf format to improve your understanding of organic chemistry Draw potential energy vs dihedral angle graph for conformational analysis of propane as. Projection Practice Problems.
From www.organicchemistrytutor.com
Newman Projections Practice Questions — Organic Chemistry Tutor Projection Practice Problems Draw potential energy vs dihedral angle graph for conformational analysis of propane as it rotates around the single bond. Cyclohexane chair analysis newman projections and practic problems. Check this article for some illustrations and handy tricks. Practice newman projection problems with answers in a pdf format to improve your understanding of organic chemistry The following exercise is to practice converting. Projection Practice Problems.
From www.youtube.com
Orthographic Projection_Problem 1 YouTube Projection Practice Problems The following exercise is to practice converting newman projections to bond line structures. Check this article for some illustrations and handy tricks. In order to better visualize different conformations of a molecule, it is convenient to use a drawing convention called the newman projection. Cyclohexane chair analysis newman projections and practic problems. Draw potential energy vs dihedral angle graph for. Projection Practice Problems.
From www.slideshare.net
Orthographic projection exercises Projection Practice Problems Check this article for some illustrations and handy tricks. Draw potential energy vs dihedral angle graph for conformational analysis of propane as it rotates around the single bond. In order to better visualize different conformations of a molecule, it is convenient to use a drawing convention called the newman projection. Practice newman projection problems with answers in a pdf format. Projection Practice Problems.
From chemmunity.com
Practice Problem Drawing Complicated Newman Projections Projection Practice Problems Draw potential energy vs dihedral angle graph for conformational analysis of propane as it rotates around the single bond. In order to better visualize different conformations of a molecule, it is convenient to use a drawing convention called the newman projection. Check this article for some illustrations and handy tricks. Cyclohexane chair analysis newman projections and practic problems. Practice newman. Projection Practice Problems.
From www.studocu.com
Fisher projections practice 112 Class Problems Chapter 3 Which of Projection Practice Problems In order to better visualize different conformations of a molecule, it is convenient to use a drawing convention called the newman projection. Cyclohexane chair analysis newman projections and practic problems. Practice newman projection problems with answers in a pdf format to improve your understanding of organic chemistry Check this article for some illustrations and handy tricks. The following exercise is. Projection Practice Problems.
From es.slideshare.net
Orthographic projection exercises Projection Practice Problems Practice newman projection problems with answers in a pdf format to improve your understanding of organic chemistry In order to better visualize different conformations of a molecule, it is convenient to use a drawing convention called the newman projection. Cyclohexane chair analysis newman projections and practic problems. Check this article for some illustrations and handy tricks. Draw potential energy vs. Projection Practice Problems.
From animalia-life.club
Orthographic Projection Exercises With Answers Projection Practice Problems Practice newman projection problems with answers in a pdf format to improve your understanding of organic chemistry Check this article for some illustrations and handy tricks. The following exercise is to practice converting newman projections to bond line structures. Cyclohexane chair analysis newman projections and practic problems. Draw potential energy vs dihedral angle graph for conformational analysis of propane as. Projection Practice Problems.
From www.youtube.com
Third angle projection exercises 9 part 1 YouTube Projection Practice Problems Cyclohexane chair analysis newman projections and practic problems. Draw potential energy vs dihedral angle graph for conformational analysis of propane as it rotates around the single bond. In order to better visualize different conformations of a molecule, it is convenient to use a drawing convention called the newman projection. The following exercise is to practice converting newman projections to bond. Projection Practice Problems.
From www.chegg.com
Solved Newman projections... Here's a worksheet I'm working Projection Practice Problems Check this article for some illustrations and handy tricks. Practice newman projection problems with answers in a pdf format to improve your understanding of organic chemistry Cyclohexane chair analysis newman projections and practic problems. In order to better visualize different conformations of a molecule, it is convenient to use a drawing convention called the newman projection. Draw potential energy vs. Projection Practice Problems.
From www.youtube.com
Orthographic Projections in Engineering Drawing Problem 4 YouTube Projection Practice Problems Draw potential energy vs dihedral angle graph for conformational analysis of propane as it rotates around the single bond. The following exercise is to practice converting newman projections to bond line structures. Check this article for some illustrations and handy tricks. In order to better visualize different conformations of a molecule, it is convenient to use a drawing convention called. Projection Practice Problems.
From www.chegg.com
Practice Problems PART 1 ORTHOGRAPHIC PROJECTIONS Projection Practice Problems Draw potential energy vs dihedral angle graph for conformational analysis of propane as it rotates around the single bond. The following exercise is to practice converting newman projections to bond line structures. In order to better visualize different conformations of a molecule, it is convenient to use a drawing convention called the newman projection. Check this article for some illustrations. Projection Practice Problems.
From animalia-life.club
Orthographic Projection Exercises With Answers Projection Practice Problems Cyclohexane chair analysis newman projections and practic problems. Check this article for some illustrations and handy tricks. In order to better visualize different conformations of a molecule, it is convenient to use a drawing convention called the newman projection. Draw potential energy vs dihedral angle graph for conformational analysis of propane as it rotates around the single bond. Practice newman. Projection Practice Problems.
From www.youtube.com
orthographic projections problem 8 YouTube Projection Practice Problems Practice newman projection problems with answers in a pdf format to improve your understanding of organic chemistry In order to better visualize different conformations of a molecule, it is convenient to use a drawing convention called the newman projection. Check this article for some illustrations and handy tricks. Cyclohexane chair analysis newman projections and practic problems. Draw potential energy vs. Projection Practice Problems.
From www.docsity.com
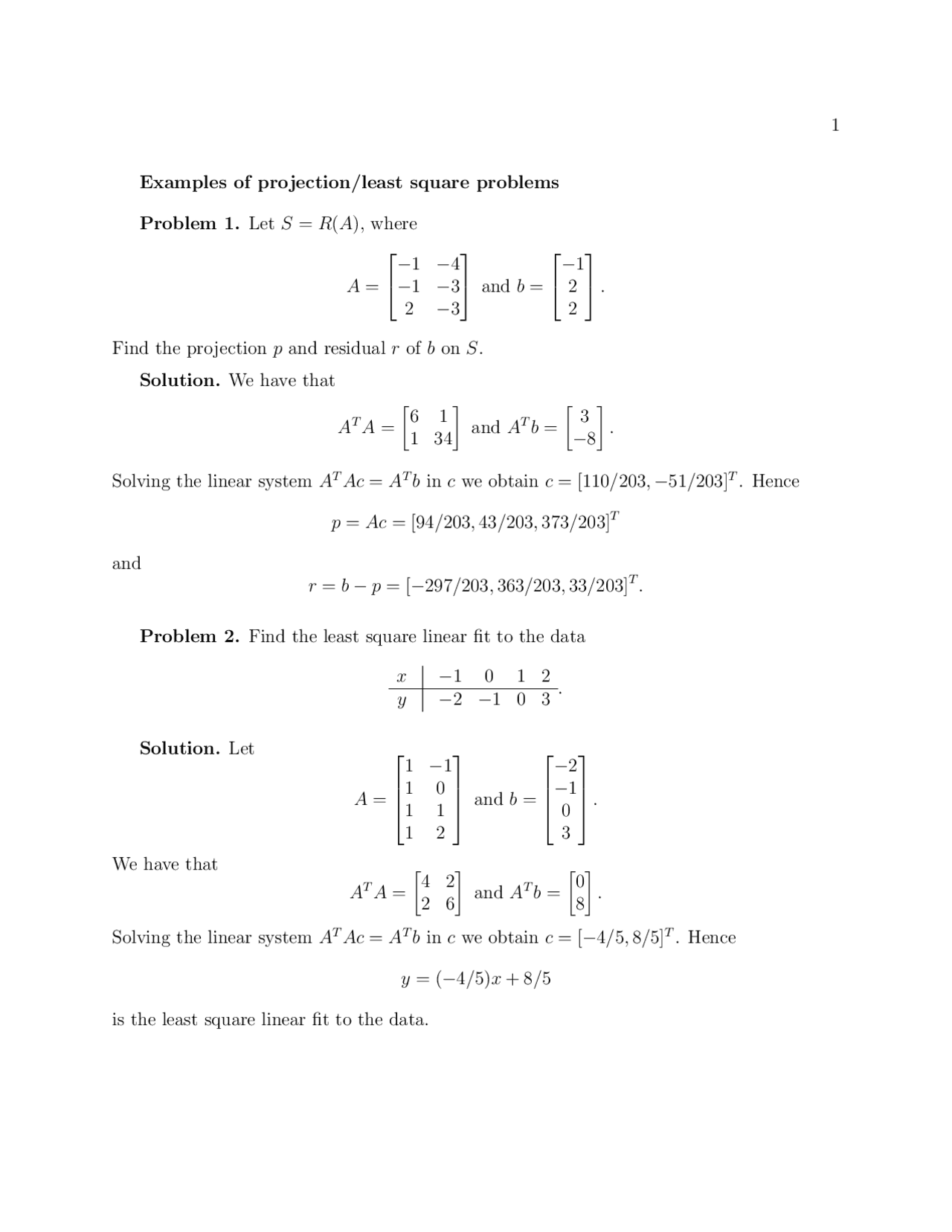
Projections and Least Square Problems Solutions Practice Exam Projection Practice Problems Cyclohexane chair analysis newman projections and practic problems. In order to better visualize different conformations of a molecule, it is convenient to use a drawing convention called the newman projection. Practice newman projection problems with answers in a pdf format to improve your understanding of organic chemistry The following exercise is to practice converting newman projections to bond line structures.. Projection Practice Problems.
From www.pinterest.com
Fischer Projections Practice Problems Practice, Organic chemistry Projection Practice Problems Draw potential energy vs dihedral angle graph for conformational analysis of propane as it rotates around the single bond. Cyclohexane chair analysis newman projections and practic problems. Check this article for some illustrations and handy tricks. Practice newman projection problems with answers in a pdf format to improve your understanding of organic chemistry In order to better visualize different conformations. Projection Practice Problems.
From leah4sci.com
Fischer Projection Practice Problem Set with Solutions Projection Practice Problems Practice newman projection problems with answers in a pdf format to improve your understanding of organic chemistry Cyclohexane chair analysis newman projections and practic problems. Draw potential energy vs dihedral angle graph for conformational analysis of propane as it rotates around the single bond. In order to better visualize different conformations of a molecule, it is convenient to use a. Projection Practice Problems.
From www.slideshare.net
Orthographic projection exercises Projection Practice Problems Cyclohexane chair analysis newman projections and practic problems. In order to better visualize different conformations of a molecule, it is convenient to use a drawing convention called the newman projection. Check this article for some illustrations and handy tricks. The following exercise is to practice converting newman projections to bond line structures. Draw potential energy vs dihedral angle graph for. Projection Practice Problems.
From www.masterorganicchemistry.com
Newman Projection Practice Master Organic Chemistry Projection Practice Problems Check this article for some illustrations and handy tricks. Draw potential energy vs dihedral angle graph for conformational analysis of propane as it rotates around the single bond. Practice newman projection problems with answers in a pdf format to improve your understanding of organic chemistry The following exercise is to practice converting newman projections to bond line structures. In order. Projection Practice Problems.
From www.youtube.com
Newman Projection Practice Problems تمارين على إسقاط نيومان YouTube Projection Practice Problems Practice newman projection problems with answers in a pdf format to improve your understanding of organic chemistry Check this article for some illustrations and handy tricks. In order to better visualize different conformations of a molecule, it is convenient to use a drawing convention called the newman projection. Cyclohexane chair analysis newman projections and practic problems. Draw potential energy vs. Projection Practice Problems.
From www.chegg.com
Practice Problems PART 1 ORTHOGRAPHIC PROJECTIONS Projection Practice Problems Draw potential energy vs dihedral angle graph for conformational analysis of propane as it rotates around the single bond. Check this article for some illustrations and handy tricks. The following exercise is to practice converting newman projections to bond line structures. Cyclohexane chair analysis newman projections and practic problems. In order to better visualize different conformations of a molecule, it. Projection Practice Problems.
From www.slideshare.net
Orthographic projection exercises Projection Practice Problems In order to better visualize different conformations of a molecule, it is convenient to use a drawing convention called the newman projection. Cyclohexane chair analysis newman projections and practic problems. Check this article for some illustrations and handy tricks. The following exercise is to practice converting newman projections to bond line structures. Practice newman projection problems with answers in a. Projection Practice Problems.
From www.slideshare.net
Orthographic projection exercises Projection Practice Problems Cyclohexane chair analysis newman projections and practic problems. Practice newman projection problems with answers in a pdf format to improve your understanding of organic chemistry In order to better visualize different conformations of a molecule, it is convenient to use a drawing convention called the newman projection. Draw potential energy vs dihedral angle graph for conformational analysis of propane as. Projection Practice Problems.
From vikashacademy.blogspot.com
orthographic projection problem5 with 3d model and live example by Projection Practice Problems In order to better visualize different conformations of a molecule, it is convenient to use a drawing convention called the newman projection. Draw potential energy vs dihedral angle graph for conformational analysis of propane as it rotates around the single bond. The following exercise is to practice converting newman projections to bond line structures. Check this article for some illustrations. Projection Practice Problems.