Environmental Studies Vtu Notes . On studocu you will find 18 lecture notes, practical,. Understand the principles of ecology and environmental issues that apply to air, land, and water issues on a global scale, · co2: Download vtu notes, mcq, model paper, previous year paper, question bank of 2021 scheme for environmental studies 21civ57. It covers topics like the definition of environment, components. Download vtu notes, model papers, question bank for environmental studies besk508 of 2022 scheme 5th semester. Vtu exam syllabus of environmental studies for computer science and engineering fifth semester 2018 scheme. Environmental science is the study of the interactions among the physical, chemical and biological components of the environment. The document contains questions from an environmental studies module.
from www.studocu.com
It covers topics like the definition of environment, components. Download vtu notes, model papers, question bank for environmental studies besk508 of 2022 scheme 5th semester. The document contains questions from an environmental studies module. Environmental science is the study of the interactions among the physical, chemical and biological components of the environment. Understand the principles of ecology and environmental issues that apply to air, land, and water issues on a global scale, · co2: On studocu you will find 18 lecture notes, practical,. Vtu exam syllabus of environmental studies for computer science and engineering fifth semester 2018 scheme. Download vtu notes, mcq, model paper, previous year paper, question bank of 2021 scheme for environmental studies 21civ57.
SOE Summary Environmental Studies VTU SCHEME OF EVALUATION MODULE
Environmental Studies Vtu Notes Download vtu notes, mcq, model paper, previous year paper, question bank of 2021 scheme for environmental studies 21civ57. Understand the principles of ecology and environmental issues that apply to air, land, and water issues on a global scale, · co2: It covers topics like the definition of environment, components. Environmental science is the study of the interactions among the physical, chemical and biological components of the environment. Download vtu notes, mcq, model paper, previous year paper, question bank of 2021 scheme for environmental studies 21civ57. The document contains questions from an environmental studies module. Vtu exam syllabus of environmental studies for computer science and engineering fifth semester 2018 scheme. Download vtu notes, model papers, question bank for environmental studies besk508 of 2022 scheme 5th semester. On studocu you will find 18 lecture notes, practical,.
From www.tutorialspoint.com
Environmental Studies Tutorial in PDF Environmental Studies Vtu Notes Vtu exam syllabus of environmental studies for computer science and engineering fifth semester 2018 scheme. Environmental science is the study of the interactions among the physical, chemical and biological components of the environment. Download vtu notes, model papers, question bank for environmental studies besk508 of 2022 scheme 5th semester. On studocu you will find 18 lecture notes, practical,. The document. Environmental Studies Vtu Notes.
From vtuedge.com
Environmental Studies 21CIV57 Environmental Studies Vtu Notes Vtu exam syllabus of environmental studies for computer science and engineering fifth semester 2018 scheme. Download vtu notes, mcq, model paper, previous year paper, question bank of 2021 scheme for environmental studies 21civ57. On studocu you will find 18 lecture notes, practical,. Environmental science is the study of the interactions among the physical, chemical and biological components of the environment.. Environmental Studies Vtu Notes.
From vtu.babivenu.in
VTU BE 1st Year Question Paper Environmental Studies 15CIV18/28 Environmental Studies Vtu Notes The document contains questions from an environmental studies module. Download vtu notes, mcq, model paper, previous year paper, question bank of 2021 scheme for environmental studies 21civ57. It covers topics like the definition of environment, components. On studocu you will find 18 lecture notes, practical,. Vtu exam syllabus of environmental studies for computer science and engineering fifth semester 2018 scheme.. Environmental Studies Vtu Notes.
From www.studypool.com
SOLUTION Notes of unit 2 our environment of bevae 181 environmental Environmental Studies Vtu Notes Environmental science is the study of the interactions among the physical, chemical and biological components of the environment. The document contains questions from an environmental studies module. It covers topics like the definition of environment, components. On studocu you will find 18 lecture notes, practical,. Vtu exam syllabus of environmental studies for computer science and engineering fifth semester 2018 scheme.. Environmental Studies Vtu Notes.
From technicalpublications.in
Environmental Studies for BE VTU Course 18 OBE & CBCS (V Common 18C Environmental Studies Vtu Notes It covers topics like the definition of environment, components. Understand the principles of ecology and environmental issues that apply to air, land, and water issues on a global scale, · co2: Environmental science is the study of the interactions among the physical, chemical and biological components of the environment. Download vtu notes, model papers, question bank for environmental studies besk508. Environmental Studies Vtu Notes.
From www.youtube.com
Characteristics of Environmental ProblemsEnvironmental Protection Environmental Studies Vtu Notes Download vtu notes, model papers, question bank for environmental studies besk508 of 2022 scheme 5th semester. The document contains questions from an environmental studies module. Vtu exam syllabus of environmental studies for computer science and engineering fifth semester 2018 scheme. Understand the principles of ecology and environmental issues that apply to air, land, and water issues on a global scale,. Environmental Studies Vtu Notes.
From www.studocu.com
18CIV59 Module 1 Objective Questions Environmental Studies Module Environmental Studies Vtu Notes Download vtu notes, mcq, model paper, previous year paper, question bank of 2021 scheme for environmental studies 21civ57. Environmental science is the study of the interactions among the physical, chemical and biological components of the environment. Vtu exam syllabus of environmental studies for computer science and engineering fifth semester 2018 scheme. On studocu you will find 18 lecture notes, practical,.. Environmental Studies Vtu Notes.
From www.studocu.com
SOE Summary Environmental Studies VTU SCHEME OF EVALUATION MODULE Environmental Studies Vtu Notes The document contains questions from an environmental studies module. On studocu you will find 18 lecture notes, practical,. Vtu exam syllabus of environmental studies for computer science and engineering fifth semester 2018 scheme. Download vtu notes, model papers, question bank for environmental studies besk508 of 2022 scheme 5th semester. Download vtu notes, mcq, model paper, previous year paper, question bank. Environmental Studies Vtu Notes.
From www.youtube.com
Environmental Studies(EVS) 21CIV57 Important Questions With Answers Environmental Studies Vtu Notes Understand the principles of ecology and environmental issues that apply to air, land, and water issues on a global scale, · co2: It covers topics like the definition of environment, components. Environmental science is the study of the interactions among the physical, chemical and biological components of the environment. On studocu you will find 18 lecture notes, practical,. Download vtu. Environmental Studies Vtu Notes.
From www.studocu.com
World Environment Day 5th Environmental science VTU Studocu Environmental Studies Vtu Notes It covers topics like the definition of environment, components. The document contains questions from an environmental studies module. Environmental science is the study of the interactions among the physical, chemical and biological components of the environment. Understand the principles of ecology and environmental issues that apply to air, land, and water issues on a global scale, · co2: Vtu exam. Environmental Studies Vtu Notes.
From booksbybsf.com
Environmental Studies (As per Latest VTU Syllabus) Environmental Studies Vtu Notes The document contains questions from an environmental studies module. On studocu you will find 18 lecture notes, practical,. Download vtu notes, mcq, model paper, previous year paper, question bank of 2021 scheme for environmental studies 21civ57. Understand the principles of ecology and environmental issues that apply to air, land, and water issues on a global scale, · co2: Vtu exam. Environmental Studies Vtu Notes.
From www.diplomasolution.com
22447 Environmental Studies Unit 4 Notes PDF Environmental Studies Vtu Notes The document contains questions from an environmental studies module. Environmental science is the study of the interactions among the physical, chemical and biological components of the environment. On studocu you will find 18 lecture notes, practical,. Understand the principles of ecology and environmental issues that apply to air, land, and water issues on a global scale, · co2: Download vtu. Environmental Studies Vtu Notes.
From getuplearn.com
📚[2023] Environmental Studies Notes PDF for and BBA Environmental Studies Vtu Notes Environmental science is the study of the interactions among the physical, chemical and biological components of the environment. It covers topics like the definition of environment, components. Understand the principles of ecology and environmental issues that apply to air, land, and water issues on a global scale, · co2: Download vtu notes, model papers, question bank for environmental studies besk508. Environmental Studies Vtu Notes.
From www.scribd.com
Environment and Ecology Environmental Studies, I/Ii Sem B.E.Vtu Unit Environmental Studies Vtu Notes On studocu you will find 18 lecture notes, practical,. Vtu exam syllabus of environmental studies for computer science and engineering fifth semester 2018 scheme. Download vtu notes, model papers, question bank for environmental studies besk508 of 2022 scheme 5th semester. Download vtu notes, mcq, model paper, previous year paper, question bank of 2021 scheme for environmental studies 21civ57. It covers. Environmental Studies Vtu Notes.
From www.sapnaonline.com
Buy Environmental Studies 1 & 2 Sem Be Vtu book R Geetha Environmental Studies Vtu Notes It covers topics like the definition of environment, components. Environmental science is the study of the interactions among the physical, chemical and biological components of the environment. On studocu you will find 18 lecture notes, practical,. Download vtu notes, model papers, question bank for environmental studies besk508 of 2022 scheme 5th semester. The document contains questions from an environmental studies. Environmental Studies Vtu Notes.
From www.studypool.com
SOLUTION Environmental studies handwritten notes Studypool Environmental Studies Vtu Notes The document contains questions from an environmental studies module. On studocu you will find 18 lecture notes, practical,. Understand the principles of ecology and environmental issues that apply to air, land, and water issues on a global scale, · co2: Download vtu notes, mcq, model paper, previous year paper, question bank of 2021 scheme for environmental studies 21civ57. Vtu exam. Environmental Studies Vtu Notes.
From www.studocu.com
UNIT 1 Grade 9 Environmental Studies Study Materials (Tutorial Environmental Studies Vtu Notes The document contains questions from an environmental studies module. Download vtu notes, model papers, question bank for environmental studies besk508 of 2022 scheme 5th semester. It covers topics like the definition of environment, components. Vtu exam syllabus of environmental studies for computer science and engineering fifth semester 2018 scheme. Environmental science is the study of the interactions among the physical,. Environmental Studies Vtu Notes.
From www.studocu.com
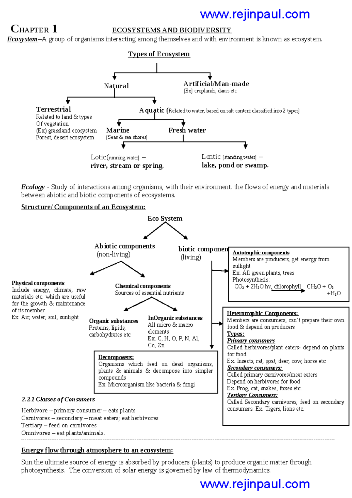
Environmental Studies Notes CHAPTER 1 ECOSYSTEMS AND BIODIVERSITY Environmental Studies Vtu Notes Download vtu notes, mcq, model paper, previous year paper, question bank of 2021 scheme for environmental studies 21civ57. On studocu you will find 18 lecture notes, practical,. Understand the principles of ecology and environmental issues that apply to air, land, and water issues on a global scale, · co2: Download vtu notes, model papers, question bank for environmental studies besk508. Environmental Studies Vtu Notes.
From www.scribd.com
Environmental Studies (English) Free Notes by Himanshi Singh PDF Environmental Studies Vtu Notes Vtu exam syllabus of environmental studies for computer science and engineering fifth semester 2018 scheme. Environmental science is the study of the interactions among the physical, chemical and biological components of the environment. On studocu you will find 18 lecture notes, practical,. Download vtu notes, mcq, model paper, previous year paper, question bank of 2021 scheme for environmental studies 21civ57.. Environmental Studies Vtu Notes.
From www.studocu.com
VTU Question Paper of 18CIV59 Environmental Studies Jan2021 Environmental Studies Vtu Notes The document contains questions from an environmental studies module. Understand the principles of ecology and environmental issues that apply to air, land, and water issues on a global scale, · co2: It covers topics like the definition of environment, components. Vtu exam syllabus of environmental studies for computer science and engineering fifth semester 2018 scheme. Download vtu notes, mcq, model. Environmental Studies Vtu Notes.
From www.studocu.com
Environment Studies 786 ENVIRONMENT STUDIES 1. Eco System Concept and Environmental Studies Vtu Notes It covers topics like the definition of environment, components. The document contains questions from an environmental studies module. On studocu you will find 18 lecture notes, practical,. Vtu exam syllabus of environmental studies for computer science and engineering fifth semester 2018 scheme. Download vtu notes, mcq, model paper, previous year paper, question bank of 2021 scheme for environmental studies 21civ57.. Environmental Studies Vtu Notes.
From www.studocu.com
Environmental Studies Lecture notes CHAPTER MULTIDISCIPLINARY NATURE Environmental Studies Vtu Notes It covers topics like the definition of environment, components. Understand the principles of ecology and environmental issues that apply to air, land, and water issues on a global scale, · co2: Download vtu notes, model papers, question bank for environmental studies besk508 of 2022 scheme 5th semester. On studocu you will find 18 lecture notes, practical,. The document contains questions. Environmental Studies Vtu Notes.
From www.studocu.com
VTU Module1 Notes Vtu environmental management and protection note Environmental Studies Vtu Notes Download vtu notes, mcq, model paper, previous year paper, question bank of 2021 scheme for environmental studies 21civ57. Vtu exam syllabus of environmental studies for computer science and engineering fifth semester 2018 scheme. Download vtu notes, model papers, question bank for environmental studies besk508 of 2022 scheme 5th semester. The document contains questions from an environmental studies module. On studocu. Environmental Studies Vtu Notes.
From www.studocu.com
VTU Question paper with solution of 17CIV18 Environmental Studies Dec Environmental Studies Vtu Notes Download vtu notes, model papers, question bank for environmental studies besk508 of 2022 scheme 5th semester. Vtu exam syllabus of environmental studies for computer science and engineering fifth semester 2018 scheme. Understand the principles of ecology and environmental issues that apply to air, land, and water issues on a global scale, · co2: Environmental science is the study of the. Environmental Studies Vtu Notes.
From www.youtube.com
Environmental studies important questions VTU Syllabus Question paper2 Environmental Studies Vtu Notes Download vtu notes, mcq, model paper, previous year paper, question bank of 2021 scheme for environmental studies 21civ57. Vtu exam syllabus of environmental studies for computer science and engineering fifth semester 2018 scheme. It covers topics like the definition of environment, components. Understand the principles of ecology and environmental issues that apply to air, land, and water issues on a. Environmental Studies Vtu Notes.
From www.studocu.com
ETR QP1 Environmental Studies VTU VTU Studocu Environmental Studies Vtu Notes Environmental science is the study of the interactions among the physical, chemical and biological components of the environment. Vtu exam syllabus of environmental studies for computer science and engineering fifth semester 2018 scheme. Download vtu notes, model papers, question bank for environmental studies besk508 of 2022 scheme 5th semester. It covers topics like the definition of environment, components. Understand the. Environmental Studies Vtu Notes.
From www.studocu.com
VTU Question Paper of 18CIV59 Environmental Studies Jan2021 Civil Environmental Studies Vtu Notes Vtu exam syllabus of environmental studies for computer science and engineering fifth semester 2018 scheme. Environmental science is the study of the interactions among the physical, chemical and biological components of the environment. The document contains questions from an environmental studies module. Download vtu notes, mcq, model paper, previous year paper, question bank of 2021 scheme for environmental studies 21civ57.. Environmental Studies Vtu Notes.
From www.studocu.com
Unit 1 EVS Lecture notes 1 Unit 1 Introduction to Environmental Environmental Studies Vtu Notes Download vtu notes, mcq, model paper, previous year paper, question bank of 2021 scheme for environmental studies 21civ57. On studocu you will find 18 lecture notes, practical,. Download vtu notes, model papers, question bank for environmental studies besk508 of 2022 scheme 5th semester. The document contains questions from an environmental studies module. It covers topics like the definition of environment,. Environmental Studies Vtu Notes.
From vtu.babivenu.in
VTU BE 1st Year Question Paper Environmental Studies 15CIV18/28 Environmental Studies Vtu Notes Environmental science is the study of the interactions among the physical, chemical and biological components of the environment. The document contains questions from an environmental studies module. It covers topics like the definition of environment, components. Download vtu notes, mcq, model paper, previous year paper, question bank of 2021 scheme for environmental studies 21civ57. Understand the principles of ecology and. Environmental Studies Vtu Notes.
From www.studocu.com
Environment and Environmental studies Environment and Environmental Environmental Studies Vtu Notes Vtu exam syllabus of environmental studies for computer science and engineering fifth semester 2018 scheme. Download vtu notes, model papers, question bank for environmental studies besk508 of 2022 scheme 5th semester. The document contains questions from an environmental studies module. It covers topics like the definition of environment, components. Understand the principles of ecology and environmental issues that apply to. Environmental Studies Vtu Notes.
From www.studocu.com
Environmental studies Module 1 English comprehension VTU Studocu Environmental Studies Vtu Notes On studocu you will find 18 lecture notes, practical,. Download vtu notes, model papers, question bank for environmental studies besk508 of 2022 scheme 5th semester. Download vtu notes, mcq, model paper, previous year paper, question bank of 2021 scheme for environmental studies 21civ57. Vtu exam syllabus of environmental studies for computer science and engineering fifth semester 2018 scheme. The document. Environmental Studies Vtu Notes.
From www.youtube.com
Environmental Studies VTU syllabus Module 1 Important Questions Environmental Studies Vtu Notes On studocu you will find 18 lecture notes, practical,. Environmental science is the study of the interactions among the physical, chemical and biological components of the environment. Understand the principles of ecology and environmental issues that apply to air, land, and water issues on a global scale, · co2: It covers topics like the definition of environment, components. The document. Environmental Studies Vtu Notes.
From www.kopykitab.com
Download Environmental Studies Notes PDF Online 2020 Environmental Studies Vtu Notes Download vtu notes, model papers, question bank for environmental studies besk508 of 2022 scheme 5th semester. Download vtu notes, mcq, model paper, previous year paper, question bank of 2021 scheme for environmental studies 21civ57. Understand the principles of ecology and environmental issues that apply to air, land, and water issues on a global scale, · co2: Environmental science is the. Environmental Studies Vtu Notes.
From www.scribd.com
VTU Environmental Studies Exam Paper PDF PDF Carbon Ozone Environmental Studies Vtu Notes Understand the principles of ecology and environmental issues that apply to air, land, and water issues on a global scale, · co2: Download vtu notes, model papers, question bank for environmental studies besk508 of 2022 scheme 5th semester. Download vtu notes, mcq, model paper, previous year paper, question bank of 2021 scheme for environmental studies 21civ57. Vtu exam syllabus of. Environmental Studies Vtu Notes.
From vtu.babivenu.in
VTU BE 1st Year Question Paper Environmental Studies 15CIV18/28 Environmental Studies Vtu Notes On studocu you will find 18 lecture notes, practical,. Environmental science is the study of the interactions among the physical, chemical and biological components of the environment. Vtu exam syllabus of environmental studies for computer science and engineering fifth semester 2018 scheme. The document contains questions from an environmental studies module. Download vtu notes, mcq, model paper, previous year paper,. Environmental Studies Vtu Notes.