Orthogonal Matrix Unit Length . a matrix a ∈ gl n (r) is orthogonal if av · aw = v · w for all vectors v and w. (1) a matrix is orthogonal exactly when its column vectors have length one, and are pairwise orthogonal; In particular, taking v = w means that lengths are. The corresponding linear transformation is. It’s a special kind of orthogonal matrix where the columns (or rows) are not just orthogonal. That is, if we name the columns qj so that q = q1. A n×n matrix a is called orthogonal if ata = 1. a n×n matrix a is an orthogonal matrix if aa^(t)=i, (1) where a^(t) is the transpose of a and i is the identity matrix. The matrix is said to be an orthogonal matrix if the product of a.
from www.youtube.com
The corresponding linear transformation is. (1) a matrix is orthogonal exactly when its column vectors have length one, and are pairwise orthogonal; The matrix is said to be an orthogonal matrix if the product of a. That is, if we name the columns qj so that q = q1. a n×n matrix a is an orthogonal matrix if aa^(t)=i, (1) where a^(t) is the transpose of a and i is the identity matrix. A n×n matrix a is called orthogonal if ata = 1. a matrix a ∈ gl n (r) is orthogonal if av · aw = v · w for all vectors v and w. It’s a special kind of orthogonal matrix where the columns (or rows) are not just orthogonal. In particular, taking v = w means that lengths are.
Orthogonal projection of a vector onto a plane. YouTube
Orthogonal Matrix Unit Length The matrix is said to be an orthogonal matrix if the product of a. a n×n matrix a is an orthogonal matrix if aa^(t)=i, (1) where a^(t) is the transpose of a and i is the identity matrix. a matrix a ∈ gl n (r) is orthogonal if av · aw = v · w for all vectors v and w. It’s a special kind of orthogonal matrix where the columns (or rows) are not just orthogonal. The matrix is said to be an orthogonal matrix if the product of a. (1) a matrix is orthogonal exactly when its column vectors have length one, and are pairwise orthogonal; In particular, taking v = w means that lengths are. That is, if we name the columns qj so that q = q1. The corresponding linear transformation is. A n×n matrix a is called orthogonal if ata = 1.
From slidetodoc.com
Orthogonal Matrices Symmetric Matrices Hungyi Lee Outline Orthogonal Orthogonal Matrix Unit Length The matrix is said to be an orthogonal matrix if the product of a. a matrix a ∈ gl n (r) is orthogonal if av · aw = v · w for all vectors v and w. It’s a special kind of orthogonal matrix where the columns (or rows) are not just orthogonal. In particular, taking v = w. Orthogonal Matrix Unit Length.
From quizlet.com
Find a unit vector that is orthogonal to both u and v. u = Quizlet Orthogonal Matrix Unit Length a matrix a ∈ gl n (r) is orthogonal if av · aw = v · w for all vectors v and w. a n×n matrix a is an orthogonal matrix if aa^(t)=i, (1) where a^(t) is the transpose of a and i is the identity matrix. A n×n matrix a is called orthogonal if ata = 1.. Orthogonal Matrix Unit Length.
From www.slideserve.com
PPT The Projection Matrix PowerPoint Presentation, free download ID Orthogonal Matrix Unit Length The matrix is said to be an orthogonal matrix if the product of a. a matrix a ∈ gl n (r) is orthogonal if av · aw = v · w for all vectors v and w. a n×n matrix a is an orthogonal matrix if aa^(t)=i, (1) where a^(t) is the transpose of a and i is. Orthogonal Matrix Unit Length.
From www.researchgate.net
Schematic of the unit cell composed of dissimilar length orthogonal Orthogonal Matrix Unit Length A n×n matrix a is called orthogonal if ata = 1. That is, if we name the columns qj so that q = q1. The corresponding linear transformation is. (1) a matrix is orthogonal exactly when its column vectors have length one, and are pairwise orthogonal; The matrix is said to be an orthogonal matrix if the product of. Orthogonal Matrix Unit Length.
From rowher.saisonsdumonde.fr
Orthogonal matrices preserve angles and lengths Linear Algebra Khan Orthogonal Matrix Unit Length That is, if we name the columns qj so that q = q1. a matrix a ∈ gl n (r) is orthogonal if av · aw = v · w for all vectors v and w. (1) a matrix is orthogonal exactly when its column vectors have length one, and are pairwise orthogonal; It’s a special kind of. Orthogonal Matrix Unit Length.
From dxofuolpl.blob.core.windows.net
Orthogonal Matrix And Orthonormal Matrix at Diane Fisher blog Orthogonal Matrix Unit Length A n×n matrix a is called orthogonal if ata = 1. It’s a special kind of orthogonal matrix where the columns (or rows) are not just orthogonal. The matrix is said to be an orthogonal matrix if the product of a. That is, if we name the columns qj so that q = q1. (1) a matrix is orthogonal. Orthogonal Matrix Unit Length.
From slidetodoc.com
Matrices Orthogonal matrix When the product of a Orthogonal Matrix Unit Length It’s a special kind of orthogonal matrix where the columns (or rows) are not just orthogonal. In particular, taking v = w means that lengths are. a matrix a ∈ gl n (r) is orthogonal if av · aw = v · w for all vectors v and w. A n×n matrix a is called orthogonal if ata =. Orthogonal Matrix Unit Length.
From dxordtgmg.blob.core.windows.net
Orthogonal Projection In Matlab at Rogers blog Orthogonal Matrix Unit Length a matrix a ∈ gl n (r) is orthogonal if av · aw = v · w for all vectors v and w. It’s a special kind of orthogonal matrix where the columns (or rows) are not just orthogonal. The corresponding linear transformation is. (1) a matrix is orthogonal exactly when its column vectors have length one, and. Orthogonal Matrix Unit Length.
From www.youtube.com
How to Prove that a Matrix is Orthogonal YouTube Orthogonal Matrix Unit Length In particular, taking v = w means that lengths are. It’s a special kind of orthogonal matrix where the columns (or rows) are not just orthogonal. (1) a matrix is orthogonal exactly when its column vectors have length one, and are pairwise orthogonal; That is, if we name the columns qj so that q = q1. The corresponding linear. Orthogonal Matrix Unit Length.
From slideplayer.com
Orthogonal Matrices & Symmetric Matrices ppt download Orthogonal Matrix Unit Length A n×n matrix a is called orthogonal if ata = 1. The matrix is said to be an orthogonal matrix if the product of a. a matrix a ∈ gl n (r) is orthogonal if av · aw = v · w for all vectors v and w. In particular, taking v = w means that lengths are. That. Orthogonal Matrix Unit Length.
From www.slideserve.com
PPT Orthogonal matrices PowerPoint Presentation, free download ID Orthogonal Matrix Unit Length a matrix a ∈ gl n (r) is orthogonal if av · aw = v · w for all vectors v and w. It’s a special kind of orthogonal matrix where the columns (or rows) are not just orthogonal. The matrix is said to be an orthogonal matrix if the product of a. The corresponding linear transformation is. A. Orthogonal Matrix Unit Length.
From gateoverflow.in
Linear Algebra Engineering Maths Orthogonal Matrix Orthogonal Matrix Unit Length a n×n matrix a is an orthogonal matrix if aa^(t)=i, (1) where a^(t) is the transpose of a and i is the identity matrix. A n×n matrix a is called orthogonal if ata = 1. In particular, taking v = w means that lengths are. a matrix a ∈ gl n (r) is orthogonal if av · aw. Orthogonal Matrix Unit Length.
From dxooubuml.blob.core.windows.net
What Is A Orthogonal Matrix Definition at Richard Spencer blog Orthogonal Matrix Unit Length (1) a matrix is orthogonal exactly when its column vectors have length one, and are pairwise orthogonal; The matrix is said to be an orthogonal matrix if the product of a. That is, if we name the columns qj so that q = q1. It’s a special kind of orthogonal matrix where the columns (or rows) are not just. Orthogonal Matrix Unit Length.
From www.youtube.com
Properties of Orthogonal Matrix Example1 YouTube Orthogonal Matrix Unit Length (1) a matrix is orthogonal exactly when its column vectors have length one, and are pairwise orthogonal; In particular, taking v = w means that lengths are. A n×n matrix a is called orthogonal if ata = 1. The matrix is said to be an orthogonal matrix if the product of a. It’s a special kind of orthogonal matrix. Orthogonal Matrix Unit Length.
From www.youtube.com
Orthogonal Matrix What is orthogonal Matrix Important Questions on Orthogonal Matrix Unit Length A n×n matrix a is called orthogonal if ata = 1. That is, if we name the columns qj so that q = q1. a n×n matrix a is an orthogonal matrix if aa^(t)=i, (1) where a^(t) is the transpose of a and i is the identity matrix. The corresponding linear transformation is. It’s a special kind of orthogonal. Orthogonal Matrix Unit Length.
From www.slideshare.net
Orthogonal porjection in statistics Orthogonal Matrix Unit Length (1) a matrix is orthogonal exactly when its column vectors have length one, and are pairwise orthogonal; The matrix is said to be an orthogonal matrix if the product of a. a matrix a ∈ gl n (r) is orthogonal if av · aw = v · w for all vectors v and w. A n×n matrix a. Orthogonal Matrix Unit Length.
From www.youtube.com
Orthogonal Matrix Definition Example Properties Class 12 Maths YouTube Orthogonal Matrix Unit Length (1) a matrix is orthogonal exactly when its column vectors have length one, and are pairwise orthogonal; The matrix is said to be an orthogonal matrix if the product of a. a matrix a ∈ gl n (r) is orthogonal if av · aw = v · w for all vectors v and w. That is, if we. Orthogonal Matrix Unit Length.
From rilohs.weebly.com
Orthogonal matrix rilohs Orthogonal Matrix Unit Length The matrix is said to be an orthogonal matrix if the product of a. (1) a matrix is orthogonal exactly when its column vectors have length one, and are pairwise orthogonal; It’s a special kind of orthogonal matrix where the columns (or rows) are not just orthogonal. A n×n matrix a is called orthogonal if ata = 1. In. Orthogonal Matrix Unit Length.
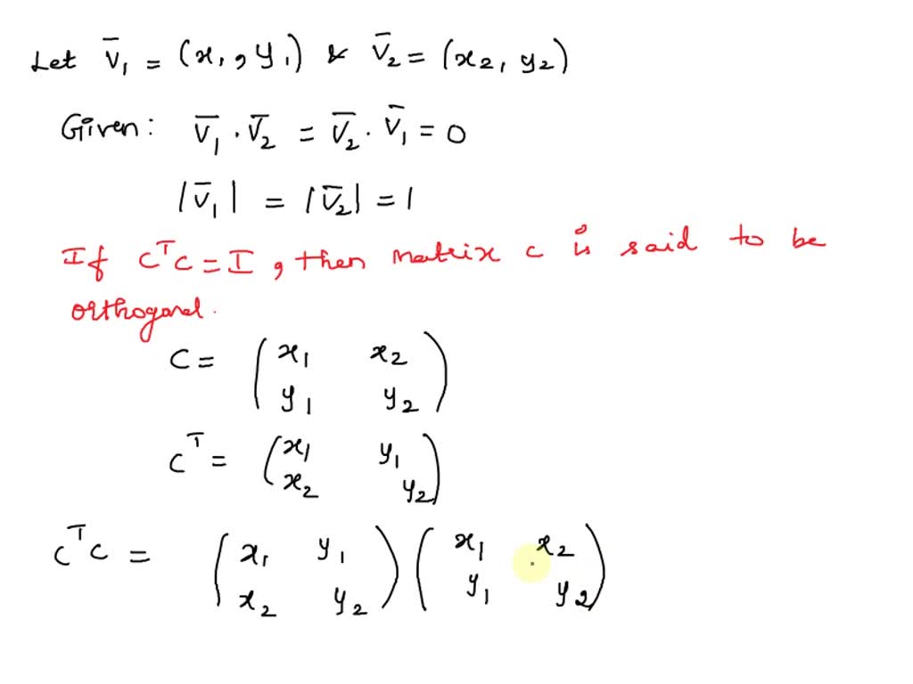
From www.numerade.com
SOLVED Show that if ? is a matrix whose columns are the components (x1 Orthogonal Matrix Unit Length (1) a matrix is orthogonal exactly when its column vectors have length one, and are pairwise orthogonal; a matrix a ∈ gl n (r) is orthogonal if av · aw = v · w for all vectors v and w. The matrix is said to be an orthogonal matrix if the product of a. In particular, taking v. Orthogonal Matrix Unit Length.
From medium.com
[Linear Algebra] 9. Properties of orthogonal matrices by jun94 jun Orthogonal Matrix Unit Length (1) a matrix is orthogonal exactly when its column vectors have length one, and are pairwise orthogonal; a matrix a ∈ gl n (r) is orthogonal if av · aw = v · w for all vectors v and w. A n×n matrix a is called orthogonal if ata = 1. It’s a special kind of orthogonal matrix. Orthogonal Matrix Unit Length.
From www.youtube.com
ATMH Unit 7 Orthogonal Matrices 3 equivalent statements (Part 1 Orthogonal Matrix Unit Length (1) a matrix is orthogonal exactly when its column vectors have length one, and are pairwise orthogonal; It’s a special kind of orthogonal matrix where the columns (or rows) are not just orthogonal. That is, if we name the columns qj so that q = q1. The matrix is said to be an orthogonal matrix if the product of. Orthogonal Matrix Unit Length.
From slideplayer.com
Orthogonal Matrices & Symmetric Matrices ppt download Orthogonal Matrix Unit Length That is, if we name the columns qj so that q = q1. In particular, taking v = w means that lengths are. a matrix a ∈ gl n (r) is orthogonal if av · aw = v · w for all vectors v and w. The corresponding linear transformation is. The matrix is said to be an orthogonal. Orthogonal Matrix Unit Length.
From www.youtube.com
What is Orthogonal Matrix and its Properties Kamaldheeriya YouTube Orthogonal Matrix Unit Length The corresponding linear transformation is. The matrix is said to be an orthogonal matrix if the product of a. a matrix a ∈ gl n (r) is orthogonal if av · aw = v · w for all vectors v and w. It’s a special kind of orthogonal matrix where the columns (or rows) are not just orthogonal. . Orthogonal Matrix Unit Length.
From teamlab.github.io
Basic Linear Algebra Orthogonal Matrix Unit Length (1) a matrix is orthogonal exactly when its column vectors have length one, and are pairwise orthogonal; A n×n matrix a is called orthogonal if ata = 1. It’s a special kind of orthogonal matrix where the columns (or rows) are not just orthogonal. That is, if we name the columns qj so that q = q1. a. Orthogonal Matrix Unit Length.
From www.youtube.com
Orthogonal Matrix example YouTube Orthogonal Matrix Unit Length In particular, taking v = w means that lengths are. A n×n matrix a is called orthogonal if ata = 1. (1) a matrix is orthogonal exactly when its column vectors have length one, and are pairwise orthogonal; a n×n matrix a is an orthogonal matrix if aa^(t)=i, (1) where a^(t) is the transpose of a and i. Orthogonal Matrix Unit Length.
From medium.com
Linear Algebra 101 — Part 4. This is a series of articles towards… by Orthogonal Matrix Unit Length The corresponding linear transformation is. (1) a matrix is orthogonal exactly when its column vectors have length one, and are pairwise orthogonal; a matrix a ∈ gl n (r) is orthogonal if av · aw = v · w for all vectors v and w. It’s a special kind of orthogonal matrix where the columns (or rows) are. Orthogonal Matrix Unit Length.
From slideplayer.com
Orthogonal Matrices & Symmetric Matrices ppt download Orthogonal Matrix Unit Length A n×n matrix a is called orthogonal if ata = 1. (1) a matrix is orthogonal exactly when its column vectors have length one, and are pairwise orthogonal; a n×n matrix a is an orthogonal matrix if aa^(t)=i, (1) where a^(t) is the transpose of a and i is the identity matrix. The corresponding linear transformation is. It’s. Orthogonal Matrix Unit Length.
From www.slideserve.com
PPT ENGG2013 Unit 19 The principal axes theorem PowerPoint Orthogonal Matrix Unit Length The matrix is said to be an orthogonal matrix if the product of a. a n×n matrix a is an orthogonal matrix if aa^(t)=i, (1) where a^(t) is the transpose of a and i is the identity matrix. It’s a special kind of orthogonal matrix where the columns (or rows) are not just orthogonal. A n×n matrix a is. Orthogonal Matrix Unit Length.
From www.youtube.com
How to prove ORTHOGONAL Matrices YouTube Orthogonal Matrix Unit Length That is, if we name the columns qj so that q = q1. a n×n matrix a is an orthogonal matrix if aa^(t)=i, (1) where a^(t) is the transpose of a and i is the identity matrix. The corresponding linear transformation is. A n×n matrix a is called orthogonal if ata = 1. The matrix is said to be. Orthogonal Matrix Unit Length.
From limfadreams.weebly.com
Orthogonal matrix limfadreams Orthogonal Matrix Unit Length That is, if we name the columns qj so that q = q1. (1) a matrix is orthogonal exactly when its column vectors have length one, and are pairwise orthogonal; A n×n matrix a is called orthogonal if ata = 1. The corresponding linear transformation is. a n×n matrix a is an orthogonal matrix if aa^(t)=i, (1) where. Orthogonal Matrix Unit Length.
From www.slideserve.com
PPT Projection Matrices PowerPoint Presentation, free download ID Orthogonal Matrix Unit Length In particular, taking v = w means that lengths are. a n×n matrix a is an orthogonal matrix if aa^(t)=i, (1) where a^(t) is the transpose of a and i is the identity matrix. a matrix a ∈ gl n (r) is orthogonal if av · aw = v · w for all vectors v and w. A. Orthogonal Matrix Unit Length.
From www.youtube.com
Orthogonal projection of a vector onto a plane. YouTube Orthogonal Matrix Unit Length a matrix a ∈ gl n (r) is orthogonal if av · aw = v · w for all vectors v and w. In particular, taking v = w means that lengths are. It’s a special kind of orthogonal matrix where the columns (or rows) are not just orthogonal. The corresponding linear transformation is. That is, if we name. Orthogonal Matrix Unit Length.
From www.youtube.com
Orthogonal Matrices Properties Examples Linear Algebra Lumist YouTube Orthogonal Matrix Unit Length It’s a special kind of orthogonal matrix where the columns (or rows) are not just orthogonal. The matrix is said to be an orthogonal matrix if the product of a. In particular, taking v = w means that lengths are. a n×n matrix a is an orthogonal matrix if aa^(t)=i, (1) where a^(t) is the transpose of a and. Orthogonal Matrix Unit Length.
From slidetodoc.com
Matrices Orthogonal matrix When the product of a Orthogonal Matrix Unit Length (1) a matrix is orthogonal exactly when its column vectors have length one, and are pairwise orthogonal; That is, if we name the columns qj so that q = q1. It’s a special kind of orthogonal matrix where the columns (or rows) are not just orthogonal. The corresponding linear transformation is. a matrix a ∈ gl n (r). Orthogonal Matrix Unit Length.
From www.youtube.com
Orthonormal,Orthogonal matrix (EE MATH มทส.) YouTube Orthogonal Matrix Unit Length (1) a matrix is orthogonal exactly when its column vectors have length one, and are pairwise orthogonal; a n×n matrix a is an orthogonal matrix if aa^(t)=i, (1) where a^(t) is the transpose of a and i is the identity matrix. The matrix is said to be an orthogonal matrix if the product of a. a matrix. Orthogonal Matrix Unit Length.