Gmu Differential Equations . Eigenvalues, eigenvectors and the solution of linear systems of equations. We will be covering textbook. Elementary differential equations, 11th edition, by william e. Gmu department of mathematical sciences math 214: Elementary differential equations syllabus, fall 2018 course goals. Elementary differential equations, 11th edition by boyce, diprima, and meade. This course provides an introduction to the dynamics of ordinary differential equations. Qualitative approaches to the study of odes. C or better in math 213 or math 215.
from www.numerade.com
Elementary differential equations syllabus, fall 2018 course goals. Qualitative approaches to the study of odes. C or better in math 213 or math 215. Eigenvalues, eigenvectors and the solution of linear systems of equations. We will be covering textbook. This course provides an introduction to the dynamics of ordinary differential equations. Elementary differential equations, 11th edition by boyce, diprima, and meade. Gmu department of mathematical sciences math 214: Elementary differential equations, 11th edition, by william e.
SOLVED 'Solve the differential equation regarding as the independent variable rather than x 26
Gmu Differential Equations This course provides an introduction to the dynamics of ordinary differential equations. We will be covering textbook. Eigenvalues, eigenvectors and the solution of linear systems of equations. C or better in math 213 or math 215. Qualitative approaches to the study of odes. Gmu department of mathematical sciences math 214: Elementary differential equations syllabus, fall 2018 course goals. Elementary differential equations, 11th edition, by william e. This course provides an introduction to the dynamics of ordinary differential equations. Elementary differential equations, 11th edition by boyce, diprima, and meade.
From www.numerade.com
SOLVED Consider the following differential equation y" 2y' +y = 12xe" 5) Note that y(c) C1ez Gmu Differential Equations Elementary differential equations, 11th edition, by william e. Gmu department of mathematical sciences math 214: Elementary differential equations syllabus, fall 2018 course goals. C or better in math 213 or math 215. Elementary differential equations, 11th edition by boyce, diprima, and meade. Qualitative approaches to the study of odes. We will be covering textbook. Eigenvalues, eigenvectors and the solution of. Gmu Differential Equations.
From www.studypool.com
SOLUTION Unit 5 differential equation Studypool Gmu Differential Equations We will be covering textbook. Elementary differential equations, 11th edition by boyce, diprima, and meade. C or better in math 213 or math 215. Elementary differential equations syllabus, fall 2018 course goals. Qualitative approaches to the study of odes. Elementary differential equations, 11th edition, by william e. Gmu department of mathematical sciences math 214: Eigenvalues, eigenvectors and the solution of. Gmu Differential Equations.
From desklib.com
Solutions to Differential Equations Desklib Gmu Differential Equations C or better in math 213 or math 215. This course provides an introduction to the dynamics of ordinary differential equations. Elementary differential equations, 11th edition by boyce, diprima, and meade. Eigenvalues, eigenvectors and the solution of linear systems of equations. We will be covering textbook. Gmu department of mathematical sciences math 214: Elementary differential equations syllabus, fall 2018 course. Gmu Differential Equations.
From www.coursehero.com
[Solved] Differential Equation Pls show solution.. . 1. Find the solution... Course Hero Gmu Differential Equations Eigenvalues, eigenvectors and the solution of linear systems of equations. Gmu department of mathematical sciences math 214: This course provides an introduction to the dynamics of ordinary differential equations. Elementary differential equations, 11th edition by boyce, diprima, and meade. Elementary differential equations syllabus, fall 2018 course goals. Elementary differential equations, 11th edition, by william e. We will be covering textbook.. Gmu Differential Equations.
From www.numerade.com
SOLVED In the below four problems, write the given differential equation in standard form xy Gmu Differential Equations Elementary differential equations syllabus, fall 2018 course goals. C or better in math 213 or math 215. Gmu department of mathematical sciences math 214: We will be covering textbook. Elementary differential equations, 11th edition by boyce, diprima, and meade. Eigenvalues, eigenvectors and the solution of linear systems of equations. Elementary differential equations, 11th edition, by william e. Qualitative approaches to. Gmu Differential Equations.
From www.numerade.com
SOLVED Objective Solving boundaryvalue problem by using the shooting method on a non linear Gmu Differential Equations We will be covering textbook. This course provides an introduction to the dynamics of ordinary differential equations. Qualitative approaches to the study of odes. Elementary differential equations, 11th edition, by william e. Elementary differential equations syllabus, fall 2018 course goals. Gmu department of mathematical sciences math 214: C or better in math 213 or math 215. Eigenvalues, eigenvectors and the. Gmu Differential Equations.
From www.studocu.com
Differential Equations Summary Differential Equations Summary Existence/Uniquenmess Linear DE Gmu Differential Equations Elementary differential equations, 11th edition by boyce, diprima, and meade. Elementary differential equations syllabus, fall 2018 course goals. This course provides an introduction to the dynamics of ordinary differential equations. We will be covering textbook. Qualitative approaches to the study of odes. Eigenvalues, eigenvectors and the solution of linear systems of equations. Gmu department of mathematical sciences math 214: Elementary. Gmu Differential Equations.
From www.numerade.com
SOLVED 'Solve the differential equation regarding as the independent variable rather than x 26 Gmu Differential Equations Elementary differential equations, 11th edition by boyce, diprima, and meade. C or better in math 213 or math 215. Elementary differential equations, 11th edition, by william e. Eigenvalues, eigenvectors and the solution of linear systems of equations. Elementary differential equations syllabus, fall 2018 course goals. Qualitative approaches to the study of odes. We will be covering textbook. Gmu department of. Gmu Differential Equations.
From www.youtube.com
Lesson 59 Convolution for I.V.P and Integro Differential Equation (Engineering Math) YouTube Gmu Differential Equations Elementary differential equations, 11th edition by boyce, diprima, and meade. We will be covering textbook. Gmu department of mathematical sciences math 214: This course provides an introduction to the dynamics of ordinary differential equations. Eigenvalues, eigenvectors and the solution of linear systems of equations. C or better in math 213 or math 215. Qualitative approaches to the study of odes.. Gmu Differential Equations.
From www.chegg.com
Solved Determine if the equations are (linear or Gmu Differential Equations C or better in math 213 or math 215. Eigenvalues, eigenvectors and the solution of linear systems of equations. Elementary differential equations, 11th edition by boyce, diprima, and meade. Gmu department of mathematical sciences math 214: Elementary differential equations syllabus, fall 2018 course goals. We will be covering textbook. Elementary differential equations, 11th edition, by william e. Qualitative approaches to. Gmu Differential Equations.
From www.coursehero.com
[Solved] Verify that the given differential equation is exact; then solve... Course Hero Gmu Differential Equations C or better in math 213 or math 215. Eigenvalues, eigenvectors and the solution of linear systems of equations. We will be covering textbook. Elementary differential equations, 11th edition, by william e. Qualitative approaches to the study of odes. Gmu department of mathematical sciences math 214: This course provides an introduction to the dynamics of ordinary differential equations. Elementary differential. Gmu Differential Equations.
From economics.stackexchange.com
macroeconomics General Solution Differential Equation Economics Stack Exchange Gmu Differential Equations Eigenvalues, eigenvectors and the solution of linear systems of equations. C or better in math 213 or math 215. We will be covering textbook. Elementary differential equations, 11th edition, by william e. Qualitative approaches to the study of odes. This course provides an introduction to the dynamics of ordinary differential equations. Elementary differential equations syllabus, fall 2018 course goals. Gmu. Gmu Differential Equations.
From www.numerade.com
SOLVED Differential Equations Modeling with HigherOrder Differential Equations Please Gmu Differential Equations C or better in math 213 or math 215. Eigenvalues, eigenvectors and the solution of linear systems of equations. Qualitative approaches to the study of odes. Elementary differential equations, 11th edition by boyce, diprima, and meade. This course provides an introduction to the dynamics of ordinary differential equations. Gmu department of mathematical sciences math 214: We will be covering textbook.. Gmu Differential Equations.
From studycracker.com
NCERT Solution for Class 12 Maths Chapter 9 Differential Equation Exercise 9.6 Gmu Differential Equations Elementary differential equations syllabus, fall 2018 course goals. We will be covering textbook. Gmu department of mathematical sciences math 214: This course provides an introduction to the dynamics of ordinary differential equations. C or better in math 213 or math 215. Elementary differential equations, 11th edition, by william e. Eigenvalues, eigenvectors and the solution of linear systems of equations. Elementary. Gmu Differential Equations.
From www.numerade.com
2) Consider the mechanical translational system shown in the following figure. Assume that a Gmu Differential Equations We will be covering textbook. Elementary differential equations, 11th edition, by william e. Qualitative approaches to the study of odes. Elementary differential equations syllabus, fall 2018 course goals. C or better in math 213 or math 215. Gmu department of mathematical sciences math 214: This course provides an introduction to the dynamics of ordinary differential equations. Eigenvalues, eigenvectors and the. Gmu Differential Equations.
From www.studypool.com
SOLUTION Introduction to first order differential equations logistic equation discrete equation Gmu Differential Equations Elementary differential equations syllabus, fall 2018 course goals. Gmu department of mathematical sciences math 214: We will be covering textbook. Qualitative approaches to the study of odes. Elementary differential equations, 11th edition, by william e. This course provides an introduction to the dynamics of ordinary differential equations. Eigenvalues, eigenvectors and the solution of linear systems of equations. Elementary differential equations,. Gmu Differential Equations.
From www.coursehero.com
[Solved] . Find the general solution of the given differential equation.... Course Hero Gmu Differential Equations Elementary differential equations syllabus, fall 2018 course goals. Qualitative approaches to the study of odes. This course provides an introduction to the dynamics of ordinary differential equations. Elementary differential equations, 11th edition, by william e. Gmu department of mathematical sciences math 214: We will be covering textbook. C or better in math 213 or math 215. Elementary differential equations, 11th. Gmu Differential Equations.
From www.coursehero.com
[Solved] Problem 1 Give a general solution of the differential equation... Course Hero Gmu Differential Equations This course provides an introduction to the dynamics of ordinary differential equations. C or better in math 213 or math 215. Gmu department of mathematical sciences math 214: Elementary differential equations, 11th edition by boyce, diprima, and meade. Elementary differential equations, 11th edition, by william e. We will be covering textbook. Eigenvalues, eigenvectors and the solution of linear systems of. Gmu Differential Equations.
From www.numerade.com
SOLVEDWrite the given nonhomogeneous differential equation as an operator equation, and give Gmu Differential Equations This course provides an introduction to the dynamics of ordinary differential equations. We will be covering textbook. Gmu department of mathematical sciences math 214: C or better in math 213 or math 215. Eigenvalues, eigenvectors and the solution of linear systems of equations. Elementary differential equations syllabus, fall 2018 course goals. Elementary differential equations, 11th edition by boyce, diprima, and. Gmu Differential Equations.
From vdocuments.mx
Advanced Review Computational solution of stochasticmath.gmu.edu/tsauer/pre/wires.pdf Gmu Differential Equations We will be covering textbook. Eigenvalues, eigenvectors and the solution of linear systems of equations. C or better in math 213 or math 215. Elementary differential equations, 11th edition, by william e. Elementary differential equations syllabus, fall 2018 course goals. This course provides an introduction to the dynamics of ordinary differential equations. Elementary differential equations, 11th edition by boyce, diprima,. Gmu Differential Equations.
From www.coursehero.com
[Solved] Solve the given differential equation by separation of variables. (... Course Hero Gmu Differential Equations Qualitative approaches to the study of odes. C or better in math 213 or math 215. Gmu department of mathematical sciences math 214: Elementary differential equations, 11th edition, by william e. This course provides an introduction to the dynamics of ordinary differential equations. Elementary differential equations syllabus, fall 2018 course goals. We will be covering textbook. Eigenvalues, eigenvectors and the. Gmu Differential Equations.
From www.toppr.com
The order and degree of differential equation whose solution is Ax^2 + By^2 = 1 , where A and B Gmu Differential Equations Elementary differential equations, 11th edition, by william e. Elementary differential equations syllabus, fall 2018 course goals. We will be covering textbook. C or better in math 213 or math 215. Eigenvalues, eigenvectors and the solution of linear systems of equations. Qualitative approaches to the study of odes. Elementary differential equations, 11th edition by boyce, diprima, and meade. Gmu department of. Gmu Differential Equations.
From www.coursehero.com
[Solved] Solve the below Differential Equation. Please show step by step... Course Hero Gmu Differential Equations Gmu department of mathematical sciences math 214: Eigenvalues, eigenvectors and the solution of linear systems of equations. Elementary differential equations, 11th edition by boyce, diprima, and meade. Elementary differential equations syllabus, fall 2018 course goals. Qualitative approaches to the study of odes. We will be covering textbook. This course provides an introduction to the dynamics of ordinary differential equations. C. Gmu Differential Equations.
From www.studocu.com
Class Chapter 3 Higher Order Differential Equations Higher Order Differential Equations 3 1 Gmu Differential Equations Elementary differential equations, 11th edition by boyce, diprima, and meade. Eigenvalues, eigenvectors and the solution of linear systems of equations. Gmu department of mathematical sciences math 214: This course provides an introduction to the dynamics of ordinary differential equations. We will be covering textbook. Qualitative approaches to the study of odes. C or better in math 213 or math 215.. Gmu Differential Equations.
From www.coursehero.com
[Solved] Determine whether the given differential equations are homogeneous... Course Hero Gmu Differential Equations Elementary differential equations, 11th edition, by william e. C or better in math 213 or math 215. Elementary differential equations syllabus, fall 2018 course goals. Elementary differential equations, 11th edition by boyce, diprima, and meade. Eigenvalues, eigenvectors and the solution of linear systems of equations. We will be covering textbook. Gmu department of mathematical sciences math 214: Qualitative approaches to. Gmu Differential Equations.
From www.coursehero.com
[Solved] Solve following second order nonhomogenous differential equation... Course Hero Gmu Differential Equations Elementary differential equations, 11th edition, by william e. Eigenvalues, eigenvectors and the solution of linear systems of equations. C or better in math 213 or math 215. Elementary differential equations, 11th edition by boyce, diprima, and meade. Qualitative approaches to the study of odes. Gmu department of mathematical sciences math 214: This course provides an introduction to the dynamics of. Gmu Differential Equations.
From math.stackexchange.com
ordinary differential equations Noncritical Level Lines of Energy in Arnold' book about ODEs Gmu Differential Equations We will be covering textbook. This course provides an introduction to the dynamics of ordinary differential equations. Elementary differential equations syllabus, fall 2018 course goals. Gmu department of mathematical sciences math 214: Qualitative approaches to the study of odes. C or better in math 213 or math 215. Elementary differential equations, 11th edition by boyce, diprima, and meade. Eigenvalues, eigenvectors. Gmu Differential Equations.
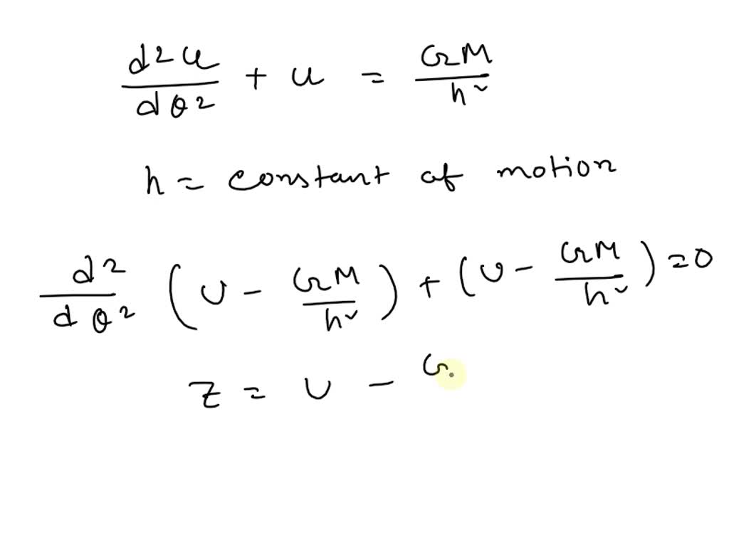
From www.numerade.com
SOLVED The equation for the case of the gravitational force of attraction is d^2u/dt^2 Gmu Differential Equations Gmu department of mathematical sciences math 214: This course provides an introduction to the dynamics of ordinary differential equations. We will be covering textbook. Eigenvalues, eigenvectors and the solution of linear systems of equations. Elementary differential equations, 11th edition by boyce, diprima, and meade. Elementary differential equations, 11th edition, by william e. Elementary differential equations syllabus, fall 2018 course goals.. Gmu Differential Equations.
From www.coursehero.com
[Solved] Ordinary Differential equation. Use the power series method to... Course Hero Gmu Differential Equations We will be covering textbook. Qualitative approaches to the study of odes. Elementary differential equations, 11th edition, by william e. This course provides an introduction to the dynamics of ordinary differential equations. Elementary differential equations syllabus, fall 2018 course goals. C or better in math 213 or math 215. Eigenvalues, eigenvectors and the solution of linear systems of equations. Elementary. Gmu Differential Equations.
From www.coursehero.com
[Solved] . Solve the given differential equation. 4 9ydx 9xdy + x dx =... Course Hero Gmu Differential Equations Gmu department of mathematical sciences math 214: We will be covering textbook. Qualitative approaches to the study of odes. This course provides an introduction to the dynamics of ordinary differential equations. Elementary differential equations syllabus, fall 2018 course goals. Eigenvalues, eigenvectors and the solution of linear systems of equations. Elementary differential equations, 11th edition, by william e. C or better. Gmu Differential Equations.
From www.reddit.com
HOMEWORK Is this differential equation an exact equation? If so, could you please explain why Gmu Differential Equations C or better in math 213 or math 215. This course provides an introduction to the dynamics of ordinary differential equations. Gmu department of mathematical sciences math 214: Qualitative approaches to the study of odes. Elementary differential equations, 11th edition, by william e. Elementary differential equations syllabus, fall 2018 course goals. Eigenvalues, eigenvectors and the solution of linear systems of. Gmu Differential Equations.
From in.eteachers.edu.vn
Update more than 61 differential sketch latest in.eteachers Gmu Differential Equations Qualitative approaches to the study of odes. Gmu department of mathematical sciences math 214: Elementary differential equations, 11th edition by boyce, diprima, and meade. We will be covering textbook. Eigenvalues, eigenvectors and the solution of linear systems of equations. Elementary differential equations, 11th edition, by william e. Elementary differential equations syllabus, fall 2018 course goals. This course provides an introduction. Gmu Differential Equations.
From www.chegg.com
Solved (1 point) Suppose that we use Euler's method to Gmu Differential Equations We will be covering textbook. Gmu department of mathematical sciences math 214: Elementary differential equations syllabus, fall 2018 course goals. This course provides an introduction to the dynamics of ordinary differential equations. Elementary differential equations, 11th edition by boyce, diprima, and meade. Eigenvalues, eigenvectors and the solution of linear systems of equations. Elementary differential equations, 11th edition, by william e.. Gmu Differential Equations.
From www.coursehero.com
[Solved] Find the general solution of the given differential equation.. Course Hero Gmu Differential Equations Qualitative approaches to the study of odes. C or better in math 213 or math 215. Elementary differential equations syllabus, fall 2018 course goals. This course provides an introduction to the dynamics of ordinary differential equations. Elementary differential equations, 11th edition, by william e. Elementary differential equations, 11th edition by boyce, diprima, and meade. Gmu department of mathematical sciences math. Gmu Differential Equations.
From www.studypool.com
SOLUTION Introduction differential equation Studypool Gmu Differential Equations Eigenvalues, eigenvectors and the solution of linear systems of equations. C or better in math 213 or math 215. We will be covering textbook. This course provides an introduction to the dynamics of ordinary differential equations. Elementary differential equations, 11th edition by boyce, diprima, and meade. Elementary differential equations syllabus, fall 2018 course goals. Qualitative approaches to the study of. Gmu Differential Equations.