Standard Enthalpy Of Formation Naoh Aq . examples of enthalpy changes include enthalpy of combustion, enthalpy of fusion, enthalpy of vaporization, and standard enthalpy of. standard enthalpies of formation. the standard enthalpy of formation is a measure of the energy released or consumed when one mole of a. enthalpy of formation (\(δh_f\)) is the enthalpy change for the formation of 1 mol of a compound from its. standand enthalpies of formation & standard entropies of common compounds substance state ∆h f s (kjmol) (jmol·k) ag s 0 42.6. 136 rows standard enthalpy change of formation (data table) these tables include heat of formation data gathered from a. All standard state, 25 °c and 1 bar (written to 1 decimal place).
from www.numerade.com
the standard enthalpy of formation is a measure of the energy released or consumed when one mole of a. standand enthalpies of formation & standard entropies of common compounds substance state ∆h f s (kjmol) (jmol·k) ag s 0 42.6. enthalpy of formation (\(δh_f\)) is the enthalpy change for the formation of 1 mol of a compound from its. All standard state, 25 °c and 1 bar (written to 1 decimal place). standard enthalpies of formation. 136 rows standard enthalpy change of formation (data table) these tables include heat of formation data gathered from a. examples of enthalpy changes include enthalpy of combustion, enthalpy of fusion, enthalpy of vaporization, and standard enthalpy of.
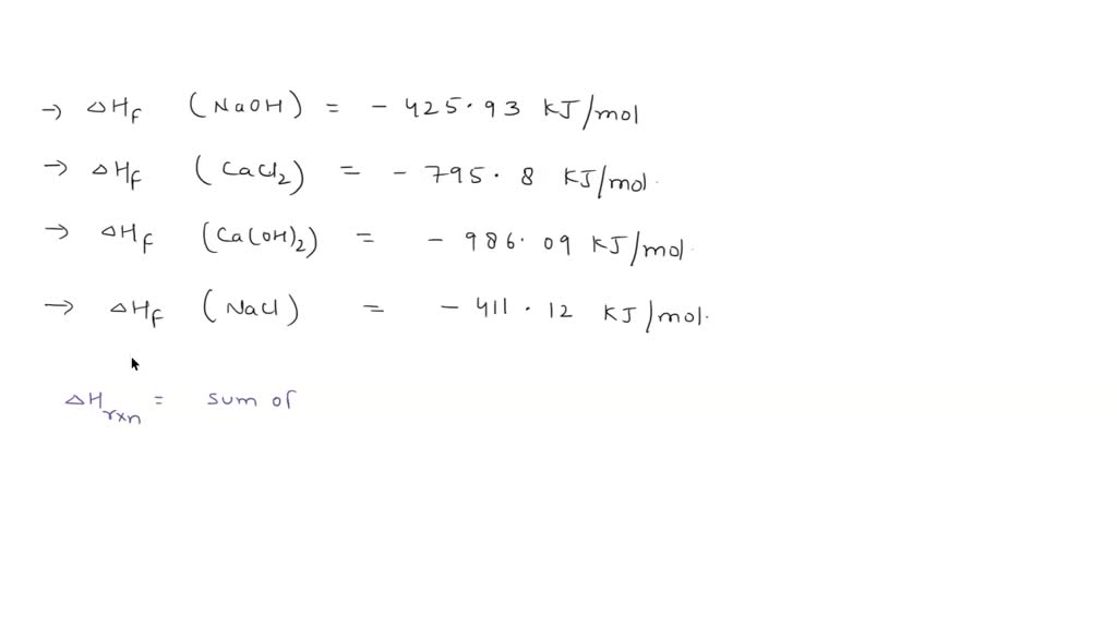
SOLVEDThe enthalpy change when strong acid is neutralized by strong
Standard Enthalpy Of Formation Naoh Aq standand enthalpies of formation & standard entropies of common compounds substance state ∆h f s (kjmol) (jmol·k) ag s 0 42.6. All standard state, 25 °c and 1 bar (written to 1 decimal place). the standard enthalpy of formation is a measure of the energy released or consumed when one mole of a. standand enthalpies of formation & standard entropies of common compounds substance state ∆h f s (kjmol) (jmol·k) ag s 0 42.6. standard enthalpies of formation. 136 rows standard enthalpy change of formation (data table) these tables include heat of formation data gathered from a. enthalpy of formation (\(δh_f\)) is the enthalpy change for the formation of 1 mol of a compound from its. examples of enthalpy changes include enthalpy of combustion, enthalpy of fusion, enthalpy of vaporization, and standard enthalpy of.
From www.solutionspile.com
[Solved] Calculate AH (in kJ) for the reaction HCl(aq) Standard Enthalpy Of Formation Naoh Aq All standard state, 25 °c and 1 bar (written to 1 decimal place). standand enthalpies of formation & standard entropies of common compounds substance state ∆h f s (kjmol) (jmol·k) ag s 0 42.6. standard enthalpies of formation. 136 rows standard enthalpy change of formation (data table) these tables include heat of formation data gathered from a.. Standard Enthalpy Of Formation Naoh Aq.
From www.slideserve.com
PPT Formation Reactions PowerPoint Presentation, free download ID Standard Enthalpy Of Formation Naoh Aq All standard state, 25 °c and 1 bar (written to 1 decimal place). examples of enthalpy changes include enthalpy of combustion, enthalpy of fusion, enthalpy of vaporization, and standard enthalpy of. enthalpy of formation (\(δh_f\)) is the enthalpy change for the formation of 1 mol of a compound from its. 136 rows standard enthalpy change of formation. Standard Enthalpy Of Formation Naoh Aq.
From www.chemistryspace.com
Standard Enthalpy of Formation Standard Enthalpy Of Formation Naoh Aq examples of enthalpy changes include enthalpy of combustion, enthalpy of fusion, enthalpy of vaporization, and standard enthalpy of. 136 rows standard enthalpy change of formation (data table) these tables include heat of formation data gathered from a. enthalpy of formation (\(δh_f\)) is the enthalpy change for the formation of 1 mol of a compound from its. . Standard Enthalpy Of Formation Naoh Aq.
From www.slideshare.net
5 3 and 5 4 Standard Enthalpy Of Formation Naoh Aq enthalpy of formation (\(δh_f\)) is the enthalpy change for the formation of 1 mol of a compound from its. examples of enthalpy changes include enthalpy of combustion, enthalpy of fusion, enthalpy of vaporization, and standard enthalpy of. 136 rows standard enthalpy change of formation (data table) these tables include heat of formation data gathered from a. . Standard Enthalpy Of Formation Naoh Aq.
From www.bartleby.com
Use the data in Table 13.1 to calculate the enthalpy of solution for Standard Enthalpy Of Formation Naoh Aq the standard enthalpy of formation is a measure of the energy released or consumed when one mole of a. 136 rows standard enthalpy change of formation (data table) these tables include heat of formation data gathered from a. enthalpy of formation (\(δh_f\)) is the enthalpy change for the formation of 1 mol of a compound from its.. Standard Enthalpy Of Formation Naoh Aq.
From www.slideserve.com
PPT Standard Enthalpies of Formation PowerPoint Presentation, free Standard Enthalpy Of Formation Naoh Aq standard enthalpies of formation. the standard enthalpy of formation is a measure of the energy released or consumed when one mole of a. examples of enthalpy changes include enthalpy of combustion, enthalpy of fusion, enthalpy of vaporization, and standard enthalpy of. standand enthalpies of formation & standard entropies of common compounds substance state ∆h f s. Standard Enthalpy Of Formation Naoh Aq.
From www.chegg.com
Solved Use a standard enthalpies of formation table to Standard Enthalpy Of Formation Naoh Aq enthalpy of formation (\(δh_f\)) is the enthalpy change for the formation of 1 mol of a compound from its. 136 rows standard enthalpy change of formation (data table) these tables include heat of formation data gathered from a. the standard enthalpy of formation is a measure of the energy released or consumed when one mole of a.. Standard Enthalpy Of Formation Naoh Aq.
From www.chegg.com
Solved 3. You are given the following standard enthalpies of Standard Enthalpy Of Formation Naoh Aq enthalpy of formation (\(δh_f\)) is the enthalpy change for the formation of 1 mol of a compound from its. 136 rows standard enthalpy change of formation (data table) these tables include heat of formation data gathered from a. standand enthalpies of formation & standard entropies of common compounds substance state ∆h f s (kjmol) (jmol·k) ag s. Standard Enthalpy Of Formation Naoh Aq.
From www.chegg.com
Solved Using the table of standard enthalpies of formation Standard Enthalpy Of Formation Naoh Aq All standard state, 25 °c and 1 bar (written to 1 decimal place). enthalpy of formation (\(δh_f\)) is the enthalpy change for the formation of 1 mol of a compound from its. standand enthalpies of formation & standard entropies of common compounds substance state ∆h f s (kjmol) (jmol·k) ag s 0 42.6. 136 rows standard enthalpy. Standard Enthalpy Of Formation Naoh Aq.
From www.chegg.com
Solved Using The Standard Enthalpies Of Formation Listed Standard Enthalpy Of Formation Naoh Aq All standard state, 25 °c and 1 bar (written to 1 decimal place). standand enthalpies of formation & standard entropies of common compounds substance state ∆h f s (kjmol) (jmol·k) ag s 0 42.6. standard enthalpies of formation. the standard enthalpy of formation is a measure of the energy released or consumed when one mole of a.. Standard Enthalpy Of Formation Naoh Aq.
From studylib.net
I. Standard Enthalpies of Formation Standard Enthalpy Of Formation Naoh Aq examples of enthalpy changes include enthalpy of combustion, enthalpy of fusion, enthalpy of vaporization, and standard enthalpy of. enthalpy of formation (\(δh_f\)) is the enthalpy change for the formation of 1 mol of a compound from its. standard enthalpies of formation. 136 rows standard enthalpy change of formation (data table) these tables include heat of formation. Standard Enthalpy Of Formation Naoh Aq.
From exokycsnc.blob.core.windows.net
Standard Enthalpy Of Formation Table Elements at Filomena Gilbert blog Standard Enthalpy Of Formation Naoh Aq 136 rows standard enthalpy change of formation (data table) these tables include heat of formation data gathered from a. All standard state, 25 °c and 1 bar (written to 1 decimal place). standand enthalpies of formation & standard entropies of common compounds substance state ∆h f s (kjmol) (jmol·k) ag s 0 42.6. the standard enthalpy of. Standard Enthalpy Of Formation Naoh Aq.
From www.numerade.com
SOLVED Calculate the enthalpy change to be expected for the Standard Enthalpy Of Formation Naoh Aq standand enthalpies of formation & standard entropies of common compounds substance state ∆h f s (kjmol) (jmol·k) ag s 0 42.6. examples of enthalpy changes include enthalpy of combustion, enthalpy of fusion, enthalpy of vaporization, and standard enthalpy of. the standard enthalpy of formation is a measure of the energy released or consumed when one mole of. Standard Enthalpy Of Formation Naoh Aq.
From www.numerade.com
SOLVED 1) Write the net ionic equation for the reaction NaOH (aq Standard Enthalpy Of Formation Naoh Aq examples of enthalpy changes include enthalpy of combustion, enthalpy of fusion, enthalpy of vaporization, and standard enthalpy of. enthalpy of formation (\(δh_f\)) is the enthalpy change for the formation of 1 mol of a compound from its. standard enthalpies of formation. the standard enthalpy of formation is a measure of the energy released or consumed when. Standard Enthalpy Of Formation Naoh Aq.
From askfilo.com
Enthalpy of neutralization of reaction between CH3 COOH(aq) and NaOH(aq) Standard Enthalpy Of Formation Naoh Aq the standard enthalpy of formation is a measure of the energy released or consumed when one mole of a. All standard state, 25 °c and 1 bar (written to 1 decimal place). examples of enthalpy changes include enthalpy of combustion, enthalpy of fusion, enthalpy of vaporization, and standard enthalpy of. 136 rows standard enthalpy change of formation. Standard Enthalpy Of Formation Naoh Aq.
From www.studocu.com
Standard Enthalpy OF Formation C 2 H 2 (g) +226 H 2 SO 4 (l) −811 Standard Enthalpy Of Formation Naoh Aq enthalpy of formation (\(δh_f\)) is the enthalpy change for the formation of 1 mol of a compound from its. standard enthalpies of formation. examples of enthalpy changes include enthalpy of combustion, enthalpy of fusion, enthalpy of vaporization, and standard enthalpy of. All standard state, 25 °c and 1 bar (written to 1 decimal place). 136 rows. Standard Enthalpy Of Formation Naoh Aq.
From www.slideserve.com
PPT Energetics PowerPoint Presentation, free download ID3196359 Standard Enthalpy Of Formation Naoh Aq enthalpy of formation (\(δh_f\)) is the enthalpy change for the formation of 1 mol of a compound from its. standand enthalpies of formation & standard entropies of common compounds substance state ∆h f s (kjmol) (jmol·k) ag s 0 42.6. examples of enthalpy changes include enthalpy of combustion, enthalpy of fusion, enthalpy of vaporization, and standard enthalpy. Standard Enthalpy Of Formation Naoh Aq.
From www.bartleby.com
Answered Part 3 Enthalpy of Neutralization… bartleby Standard Enthalpy Of Formation Naoh Aq the standard enthalpy of formation is a measure of the energy released or consumed when one mole of a. enthalpy of formation (\(δh_f\)) is the enthalpy change for the formation of 1 mol of a compound from its. 136 rows standard enthalpy change of formation (data table) these tables include heat of formation data gathered from a.. Standard Enthalpy Of Formation Naoh Aq.
From www.numerade.com
SOLVED Calculate the standard enthalpy change for the reaction at 25Â Standard Enthalpy Of Formation Naoh Aq All standard state, 25 °c and 1 bar (written to 1 decimal place). 136 rows standard enthalpy change of formation (data table) these tables include heat of formation data gathered from a. the standard enthalpy of formation is a measure of the energy released or consumed when one mole of a. examples of enthalpy changes include enthalpy. Standard Enthalpy Of Formation Naoh Aq.
From www.numerade.com
SOLVED Using Standard Enthalpy of Formation Enthalpy Test (all Standard Enthalpy Of Formation Naoh Aq examples of enthalpy changes include enthalpy of combustion, enthalpy of fusion, enthalpy of vaporization, and standard enthalpy of. standard enthalpies of formation. the standard enthalpy of formation is a measure of the energy released or consumed when one mole of a. enthalpy of formation (\(δh_f\)) is the enthalpy change for the formation of 1 mol of. Standard Enthalpy Of Formation Naoh Aq.
From byjus.com
The heat of formation of of sodium ions in aqoues solution from the Standard Enthalpy Of Formation Naoh Aq standand enthalpies of formation & standard entropies of common compounds substance state ∆h f s (kjmol) (jmol·k) ag s 0 42.6. the standard enthalpy of formation is a measure of the energy released or consumed when one mole of a. standard enthalpies of formation. examples of enthalpy changes include enthalpy of combustion, enthalpy of fusion, enthalpy. Standard Enthalpy Of Formation Naoh Aq.
From www.youtube.com
CHEM 101 Using Standard Enthalpies of Formation and Standard Enthalpy Standard Enthalpy Of Formation Naoh Aq enthalpy of formation (\(δh_f\)) is the enthalpy change for the formation of 1 mol of a compound from its. standand enthalpies of formation & standard entropies of common compounds substance state ∆h f s (kjmol) (jmol·k) ag s 0 42.6. standard enthalpies of formation. 136 rows standard enthalpy change of formation (data table) these tables include. Standard Enthalpy Of Formation Naoh Aq.
From www.chegg.com
Solved You are given the following standard enthalpies of Standard Enthalpy Of Formation Naoh Aq All standard state, 25 °c and 1 bar (written to 1 decimal place). standard enthalpies of formation. examples of enthalpy changes include enthalpy of combustion, enthalpy of fusion, enthalpy of vaporization, and standard enthalpy of. enthalpy of formation (\(δh_f\)) is the enthalpy change for the formation of 1 mol of a compound from its. the standard. Standard Enthalpy Of Formation Naoh Aq.
From printableseniena9s.z21.web.core.windows.net
Heat Of Formation Chart Standard Enthalpy Of Formation Naoh Aq standand enthalpies of formation & standard entropies of common compounds substance state ∆h f s (kjmol) (jmol·k) ag s 0 42.6. standard enthalpies of formation. 136 rows standard enthalpy change of formation (data table) these tables include heat of formation data gathered from a. the standard enthalpy of formation is a measure of the energy released. Standard Enthalpy Of Formation Naoh Aq.
From www.numerade.com
SOLVED Using the table of standard formation enthalpies that you'll Standard Enthalpy Of Formation Naoh Aq 136 rows standard enthalpy change of formation (data table) these tables include heat of formation data gathered from a. enthalpy of formation (\(δh_f\)) is the enthalpy change for the formation of 1 mol of a compound from its. All standard state, 25 °c and 1 bar (written to 1 decimal place). examples of enthalpy changes include enthalpy. Standard Enthalpy Of Formation Naoh Aq.
From rayb78.github.io
Heat Of Formation Chart Standard Enthalpy Of Formation Naoh Aq All standard state, 25 °c and 1 bar (written to 1 decimal place). examples of enthalpy changes include enthalpy of combustion, enthalpy of fusion, enthalpy of vaporization, and standard enthalpy of. 136 rows standard enthalpy change of formation (data table) these tables include heat of formation data gathered from a. standand enthalpies of formation & standard entropies. Standard Enthalpy Of Formation Naoh Aq.
From cejwbimx.blob.core.windows.net
Standard Enthalpy Of Formation Endothermic Or Exothermic at Rose Hart blog Standard Enthalpy Of Formation Naoh Aq the standard enthalpy of formation is a measure of the energy released or consumed when one mole of a. 136 rows standard enthalpy change of formation (data table) these tables include heat of formation data gathered from a. examples of enthalpy changes include enthalpy of combustion, enthalpy of fusion, enthalpy of vaporization, and standard enthalpy of. . Standard Enthalpy Of Formation Naoh Aq.
From www.numerade.com
SOLVEDThe enthalpy change when strong acid is neutralized by strong Standard Enthalpy Of Formation Naoh Aq examples of enthalpy changes include enthalpy of combustion, enthalpy of fusion, enthalpy of vaporization, and standard enthalpy of. the standard enthalpy of formation is a measure of the energy released or consumed when one mole of a. enthalpy of formation (\(δh_f\)) is the enthalpy change for the formation of 1 mol of a compound from its. . Standard Enthalpy Of Formation Naoh Aq.
From www.chegg.com
Solved 13. The standard enthalpies of formation for several Standard Enthalpy Of Formation Naoh Aq 136 rows standard enthalpy change of formation (data table) these tables include heat of formation data gathered from a. the standard enthalpy of formation is a measure of the energy released or consumed when one mole of a. examples of enthalpy changes include enthalpy of combustion, enthalpy of fusion, enthalpy of vaporization, and standard enthalpy of. . Standard Enthalpy Of Formation Naoh Aq.
From www.numerade.com
SOLVED Use the standard enthalpy of formation (ΔHf) values in Standard Enthalpy Of Formation Naoh Aq examples of enthalpy changes include enthalpy of combustion, enthalpy of fusion, enthalpy of vaporization, and standard enthalpy of. All standard state, 25 °c and 1 bar (written to 1 decimal place). the standard enthalpy of formation is a measure of the energy released or consumed when one mole of a. 136 rows standard enthalpy change of formation. Standard Enthalpy Of Formation Naoh Aq.
From www.bartleby.com
Answered During a neutralization reaction, 1 L… bartleby Standard Enthalpy Of Formation Naoh Aq All standard state, 25 °c and 1 bar (written to 1 decimal place). standard enthalpies of formation. examples of enthalpy changes include enthalpy of combustion, enthalpy of fusion, enthalpy of vaporization, and standard enthalpy of. standand enthalpies of formation & standard entropies of common compounds substance state ∆h f s (kjmol) (jmol·k) ag s 0 42.6. . Standard Enthalpy Of Formation Naoh Aq.
From www.slideshare.net
Standard enthalpy of formation Standard Enthalpy Of Formation Naoh Aq standard enthalpies of formation. examples of enthalpy changes include enthalpy of combustion, enthalpy of fusion, enthalpy of vaporization, and standard enthalpy of. All standard state, 25 °c and 1 bar (written to 1 decimal place). standand enthalpies of formation & standard entropies of common compounds substance state ∆h f s (kjmol) (jmol·k) ag s 0 42.6. . Standard Enthalpy Of Formation Naoh Aq.
From www.slideshare.net
5 3 and 5 4 Standard Enthalpy Of Formation Naoh Aq All standard state, 25 °c and 1 bar (written to 1 decimal place). the standard enthalpy of formation is a measure of the energy released or consumed when one mole of a. standand enthalpies of formation & standard entropies of common compounds substance state ∆h f s (kjmol) (jmol·k) ag s 0 42.6. standard enthalpies of formation.. Standard Enthalpy Of Formation Naoh Aq.
From www.slideshare.net
Tang 03 enthalpy of formation and combustion Standard Enthalpy Of Formation Naoh Aq examples of enthalpy changes include enthalpy of combustion, enthalpy of fusion, enthalpy of vaporization, and standard enthalpy of. the standard enthalpy of formation is a measure of the energy released or consumed when one mole of a. enthalpy of formation (\(δh_f\)) is the enthalpy change for the formation of 1 mol of a compound from its. . Standard Enthalpy Of Formation Naoh Aq.
From www.youtube.com
CHEMISTRY 101 Standard Enthalpy of reaction from Standard Enthalpies Standard Enthalpy Of Formation Naoh Aq 136 rows standard enthalpy change of formation (data table) these tables include heat of formation data gathered from a. standard enthalpies of formation. examples of enthalpy changes include enthalpy of combustion, enthalpy of fusion, enthalpy of vaporization, and standard enthalpy of. the standard enthalpy of formation is a measure of the energy released or consumed when. Standard Enthalpy Of Formation Naoh Aq.