In A Transistor The Value Of The Base Current Depends On . The value of collector current depends on base current and leakage current along with the current amplification factor of that transistor in use. 1st way to calculate collector. Therefore the collector current (i c) can be expressed mathematically by: In an npn transistor, the base is at a positive bias, the collector at a negative bias, and reverse current flows from the emitter to the collector. The value of collector current (i c) depends on the value of base current (i b). There are several ways to find the collector current, ic, of a transistor. And it all depends on what information is already known about the transistor: I c = collector current i.
        
        from www.youtube.com 
     
        
        I c = collector current i. And it all depends on what information is already known about the transistor: There are several ways to find the collector current, ic, of a transistor. In an npn transistor, the base is at a positive bias, the collector at a negative bias, and reverse current flows from the emitter to the collector. The value of collector current (i c) depends on the value of base current (i b). 1st way to calculate collector. Therefore the collector current (i c) can be expressed mathematically by: The value of collector current depends on base current and leakage current along with the current amplification factor of that transistor in use.
    
    	
            
	
		 
         
    BJT Transistors Darlington Pair & DC Beta Current Gain YouTube 
    In A Transistor The Value Of The Base Current Depends On  In an npn transistor, the base is at a positive bias, the collector at a negative bias, and reverse current flows from the emitter to the collector. Therefore the collector current (i c) can be expressed mathematically by: 1st way to calculate collector. And it all depends on what information is already known about the transistor: In an npn transistor, the base is at a positive bias, the collector at a negative bias, and reverse current flows from the emitter to the collector. There are several ways to find the collector current, ic, of a transistor. I c = collector current i. The value of collector current (i c) depends on the value of base current (i b). The value of collector current depends on base current and leakage current along with the current amplification factor of that transistor in use.
            
	
		 
         
 
    
        From www.myelectrical2015.com 
                    Electrical Revolution In A Transistor The Value Of The Base Current Depends On  Therefore the collector current (i c) can be expressed mathematically by: The value of collector current (i c) depends on the value of base current (i b). In an npn transistor, the base is at a positive bias, the collector at a negative bias, and reverse current flows from the emitter to the collector. There are several ways to find. In A Transistor The Value Of The Base Current Depends On.
     
    
        From www.chegg.com 
                    Solved The parameters for each transistor in the circuit in In A Transistor The Value Of The Base Current Depends On  Therefore the collector current (i c) can be expressed mathematically by: The value of collector current (i c) depends on the value of base current (i b). 1st way to calculate collector. The value of collector current depends on base current and leakage current along with the current amplification factor of that transistor in use. In an npn transistor, the. In A Transistor The Value Of The Base Current Depends On.
     
    
        From www.youtube.com 
                    BJT Transistors Darlington Pair & DC Beta Current Gain YouTube In A Transistor The Value Of The Base Current Depends On  The value of collector current (i c) depends on the value of base current (i b). Therefore the collector current (i c) can be expressed mathematically by: 1st way to calculate collector. The value of collector current depends on base current and leakage current along with the current amplification factor of that transistor in use. I c = collector current. In A Transistor The Value Of The Base Current Depends On.
     
    
        From www.electronics-tutorials.ws 
                    Bipolar Transistor eBook Basic Electronics Tutorials In A Transistor The Value Of The Base Current Depends On  1st way to calculate collector. There are several ways to find the collector current, ic, of a transistor. And it all depends on what information is already known about the transistor: Therefore the collector current (i c) can be expressed mathematically by: The value of collector current depends on base current and leakage current along with the current amplification factor. In A Transistor The Value Of The Base Current Depends On.
     
    
        From www.numerade.com 
                    SOLVED A base current of 50 pA is applied to the transistor in Figure In A Transistor The Value Of The Base Current Depends On  The value of collector current (i c) depends on the value of base current (i b). And it all depends on what information is already known about the transistor: I c = collector current i. 1st way to calculate collector. In an npn transistor, the base is at a positive bias, the collector at a negative bias, and reverse current. In A Transistor The Value Of The Base Current Depends On.
     
    
        From itecnotes.com 
                    Electrical Why does the baseemitter voltage in NPN transistor In A Transistor The Value Of The Base Current Depends On  I c = collector current i. 1st way to calculate collector. Therefore the collector current (i c) can be expressed mathematically by: The value of collector current (i c) depends on the value of base current (i b). There are several ways to find the collector current, ic, of a transistor. The value of collector current depends on base current. In A Transistor The Value Of The Base Current Depends On.
     
    
        From www.electricalengineering.xyz 
                    BJT Transistor Current Formulas Base, Emitter and Collector Currents In A Transistor The Value Of The Base Current Depends On  Therefore the collector current (i c) can be expressed mathematically by: 1st way to calculate collector. And it all depends on what information is already known about the transistor: In an npn transistor, the base is at a positive bias, the collector at a negative bias, and reverse current flows from the emitter to the collector. The value of collector. In A Transistor The Value Of The Base Current Depends On.
     
    
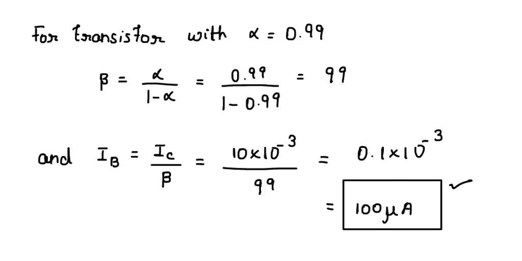
        From www.toppr.com 
                    In n p n transistor circuit the collector current is 10mA . If 90 In A Transistor The Value Of The Base Current Depends On  And it all depends on what information is already known about the transistor: Therefore the collector current (i c) can be expressed mathematically by: I c = collector current i. There are several ways to find the collector current, ic, of a transistor. The value of collector current (i c) depends on the value of base current (i b). The. In A Transistor The Value Of The Base Current Depends On.
     
    
        From www.gadgetronicx.com 
                    Working of BJT transistor and how to use transistors in circuits In A Transistor The Value Of The Base Current Depends On  And it all depends on what information is already known about the transistor: In an npn transistor, the base is at a positive bias, the collector at a negative bias, and reverse current flows from the emitter to the collector. 1st way to calculate collector. There are several ways to find the collector current, ic, of a transistor. Therefore the. In A Transistor The Value Of The Base Current Depends On.
     
    
        From www.youtube.com 
                    BJT Qpoint Formula For Collector Current in Active Mode, 4 Resistor In A Transistor The Value Of The Base Current Depends On  In an npn transistor, the base is at a positive bias, the collector at a negative bias, and reverse current flows from the emitter to the collector. The value of collector current (i c) depends on the value of base current (i b). 1st way to calculate collector. There are several ways to find the collector current, ic, of a. In A Transistor The Value Of The Base Current Depends On.
     
    
        From allaboutcircuits.com 
                    Transistor Biasing Calculations Bipolar Junction Transistors In A Transistor The Value Of The Base Current Depends On  There are several ways to find the collector current, ic, of a transistor. The value of collector current (i c) depends on the value of base current (i b). And it all depends on what information is already known about the transistor: The value of collector current depends on base current and leakage current along with the current amplification factor. In A Transistor The Value Of The Base Current Depends On.
     
    
        From itecnotes.com 
                    Electronic How to calculate the base current of a transistor to get a In A Transistor The Value Of The Base Current Depends On  The value of collector current (i c) depends on the value of base current (i b). I c = collector current i. Therefore the collector current (i c) can be expressed mathematically by: In an npn transistor, the base is at a positive bias, the collector at a negative bias, and reverse current flows from the emitter to the collector.. In A Transistor The Value Of The Base Current Depends On.
     
    
        From www.doubtnut.com 
                    In the given transistor circuit, the base current is 35 muA. The value In A Transistor The Value Of The Base Current Depends On  In an npn transistor, the base is at a positive bias, the collector at a negative bias, and reverse current flows from the emitter to the collector. And it all depends on what information is already known about the transistor: The value of collector current depends on base current and leakage current along with the current amplification factor of that. In A Transistor The Value Of The Base Current Depends On.
     
    
        From electronics.stackexchange.com 
                    transistors Calculating CMOS threshold voltage Electrical In A Transistor The Value Of The Base Current Depends On  Therefore the collector current (i c) can be expressed mathematically by: In an npn transistor, the base is at a positive bias, the collector at a negative bias, and reverse current flows from the emitter to the collector. 1st way to calculate collector. And it all depends on what information is already known about the transistor: The value of collector. In A Transistor The Value Of The Base Current Depends On.
     
    
        From www.nagwa.com 
                    Question Video Determining the Base Current for a Transistor Circuit In A Transistor The Value Of The Base Current Depends On  And it all depends on what information is already known about the transistor: The value of collector current (i c) depends on the value of base current (i b). Therefore the collector current (i c) can be expressed mathematically by: There are several ways to find the collector current, ic, of a transistor. 1st way to calculate collector. In an. In A Transistor The Value Of The Base Current Depends On.
     
    
        From www.nagwa.com 
                    Question Video Recalling the Current Gain of a Transistor in Common In A Transistor The Value Of The Base Current Depends On  The value of collector current depends on base current and leakage current along with the current amplification factor of that transistor in use. And it all depends on what information is already known about the transistor: The value of collector current (i c) depends on the value of base current (i b). In an npn transistor, the base is at. In A Transistor The Value Of The Base Current Depends On.
     
    
        From instrumentationtools.com 
                    Transistor Voltage Divider Bias Inst Tools In A Transistor The Value Of The Base Current Depends On  And it all depends on what information is already known about the transistor: 1st way to calculate collector. I c = collector current i. There are several ways to find the collector current, ic, of a transistor. Therefore the collector current (i c) can be expressed mathematically by: In an npn transistor, the base is at a positive bias, the. In A Transistor The Value Of The Base Current Depends On.
     
    
        From www.nutsvolts.com 
                    The Transistor Compound Pair Nuts & Volts Magazine In A Transistor The Value Of The Base Current Depends On  In an npn transistor, the base is at a positive bias, the collector at a negative bias, and reverse current flows from the emitter to the collector. There are several ways to find the collector current, ic, of a transistor. 1st way to calculate collector. And it all depends on what information is already known about the transistor: I c. In A Transistor The Value Of The Base Current Depends On.
     
    
        From www.youtube.com 
                    Transistor Base Bias Circuits Finding The DC Load Line & The Q Point In A Transistor The Value Of The Base Current Depends On  1st way to calculate collector. I c = collector current i. In an npn transistor, the base is at a positive bias, the collector at a negative bias, and reverse current flows from the emitter to the collector. And it all depends on what information is already known about the transistor: Therefore the collector current (i c) can be expressed. In A Transistor The Value Of The Base Current Depends On.
     
    
        From byjus.com 
                    Transistor As A Switch Configuration, Operating Modes, Uses, Examples In A Transistor The Value Of The Base Current Depends On  1st way to calculate collector. I c = collector current i. The value of collector current (i c) depends on the value of base current (i b). In an npn transistor, the base is at a positive bias, the collector at a negative bias, and reverse current flows from the emitter to the collector. The value of collector current depends. In A Transistor The Value Of The Base Current Depends On.
     
    
        From www.slideserve.com 
                    PPT Bipolar Junction Transistors ( BJT ) PowerPoint Presentation In A Transistor The Value Of The Base Current Depends On  There are several ways to find the collector current, ic, of a transistor. In an npn transistor, the base is at a positive bias, the collector at a negative bias, and reverse current flows from the emitter to the collector. 1st way to calculate collector. The value of collector current (i c) depends on the value of base current (i. In A Transistor The Value Of The Base Current Depends On.
     
    
        From www.youtube.com 
                    Transistor Circuits Solved Example YouTube In A Transistor The Value Of The Base Current Depends On  There are several ways to find the collector current, ic, of a transistor. I c = collector current i. The value of collector current depends on base current and leakage current along with the current amplification factor of that transistor in use. And it all depends on what information is already known about the transistor: In an npn transistor, the. In A Transistor The Value Of The Base Current Depends On.
     
    
        From bestengineeringprojects.com 
                    Common Emitter Configuration of PNP Transistor In A Transistor The Value Of The Base Current Depends On  Therefore the collector current (i c) can be expressed mathematically by: In an npn transistor, the base is at a positive bias, the collector at a negative bias, and reverse current flows from the emitter to the collector. There are several ways to find the collector current, ic, of a transistor. 1st way to calculate collector. And it all depends. In A Transistor The Value Of The Base Current Depends On.
     
    
        From www.slidemake.com 
                    Transistor Biasing And Stabilization Techniques Presentation In A Transistor The Value Of The Base Current Depends On  The value of collector current depends on base current and leakage current along with the current amplification factor of that transistor in use. Therefore the collector current (i c) can be expressed mathematically by: There are several ways to find the collector current, ic, of a transistor. 1st way to calculate collector. The value of collector current (i c) depends. In A Transistor The Value Of The Base Current Depends On.
     
    
        From www.chegg.com 
                    Solved For the common emitter npnBJT transistor circuit In A Transistor The Value Of The Base Current Depends On  The value of collector current depends on base current and leakage current along with the current amplification factor of that transistor in use. And it all depends on what information is already known about the transistor: I c = collector current i. Therefore the collector current (i c) can be expressed mathematically by: In an npn transistor, the base is. In A Transistor The Value Of The Base Current Depends On.
     
    
        From www.glennklockwood.com 
                    Understanding bipolar junction transistors In A Transistor The Value Of The Base Current Depends On  In an npn transistor, the base is at a positive bias, the collector at a negative bias, and reverse current flows from the emitter to the collector. 1st way to calculate collector. The value of collector current (i c) depends on the value of base current (i b). And it all depends on what information is already known about the. In A Transistor The Value Of The Base Current Depends On.
     
    
        From www.electricalengineering.xyz 
                    Top 10 BJT Transistor Formulas In A Transistor The Value Of The Base Current Depends On  1st way to calculate collector. I c = collector current i. The value of collector current depends on base current and leakage current along with the current amplification factor of that transistor in use. The value of collector current (i c) depends on the value of base current (i b). In an npn transistor, the base is at a positive. In A Transistor The Value Of The Base Current Depends On.
     
    
        From www.doubtnut.com 
                    For the transistor circuit shown below, if beta=100, voltage drop betw In A Transistor The Value Of The Base Current Depends On  The value of collector current depends on base current and leakage current along with the current amplification factor of that transistor in use. Therefore the collector current (i c) can be expressed mathematically by: The value of collector current (i c) depends on the value of base current (i b). There are several ways to find the collector current, ic,. In A Transistor The Value Of The Base Current Depends On.
     
    
        From www.numerade.com 
                    SOLVED In a PNP transistor the base current is 9.7 μA and In A Transistor The Value Of The Base Current Depends On  There are several ways to find the collector current, ic, of a transistor. In an npn transistor, the base is at a positive bias, the collector at a negative bias, and reverse current flows from the emitter to the collector. The value of collector current (i c) depends on the value of base current (i b). And it all depends. In A Transistor The Value Of The Base Current Depends On.
     
    
        From www.numerade.com 
                    SOLVED Part CTransistor switch,with diode 9.Now we are ready to In A Transistor The Value Of The Base Current Depends On  I c = collector current i. 1st way to calculate collector. In an npn transistor, the base is at a positive bias, the collector at a negative bias, and reverse current flows from the emitter to the collector. And it all depends on what information is already known about the transistor: There are several ways to find the collector current,. In A Transistor The Value Of The Base Current Depends On.
     
    
        From byjus.com 
                    Consider the circuit shown in the figure belowBoth the transistors are In A Transistor The Value Of The Base Current Depends On  The value of collector current (i c) depends on the value of base current (i b). And it all depends on what information is already known about the transistor: I c = collector current i. 1st way to calculate collector. In an npn transistor, the base is at a positive bias, the collector at a negative bias, and reverse current. In A Transistor The Value Of The Base Current Depends On.
     
    
        From wiraelectrical.com 
                    Transistor Characteristic Curve Wira Electrical In A Transistor The Value Of The Base Current Depends On  The value of collector current (i c) depends on the value of base current (i b). Therefore the collector current (i c) can be expressed mathematically by: And it all depends on what information is already known about the transistor: The value of collector current depends on base current and leakage current along with the current amplification factor of that. In A Transistor The Value Of The Base Current Depends On.
     
    
        From www.toppr.com 
                    The current gain of transistor is 100, the base current changes by 10 In A Transistor The Value Of The Base Current Depends On  The value of collector current depends on base current and leakage current along with the current amplification factor of that transistor in use. I c = collector current i. And it all depends on what information is already known about the transistor: 1st way to calculate collector. The value of collector current (i c) depends on the value of base. In A Transistor The Value Of The Base Current Depends On.
     
    
        From www.chegg.com 
                    Solved We have a bipolar junction transistor where the In A Transistor The Value Of The Base Current Depends On  1st way to calculate collector. The value of collector current depends on base current and leakage current along with the current amplification factor of that transistor in use. And it all depends on what information is already known about the transistor: There are several ways to find the collector current, ic, of a transistor. The value of collector current (i. In A Transistor The Value Of The Base Current Depends On.
     
    
        From www.toppr.com 
                    The output characteristic of an n p n transistor represent[ IC In A Transistor The Value Of The Base Current Depends On  The value of collector current (i c) depends on the value of base current (i b). There are several ways to find the collector current, ic, of a transistor. In an npn transistor, the base is at a positive bias, the collector at a negative bias, and reverse current flows from the emitter to the collector. 1st way to calculate. In A Transistor The Value Of The Base Current Depends On.