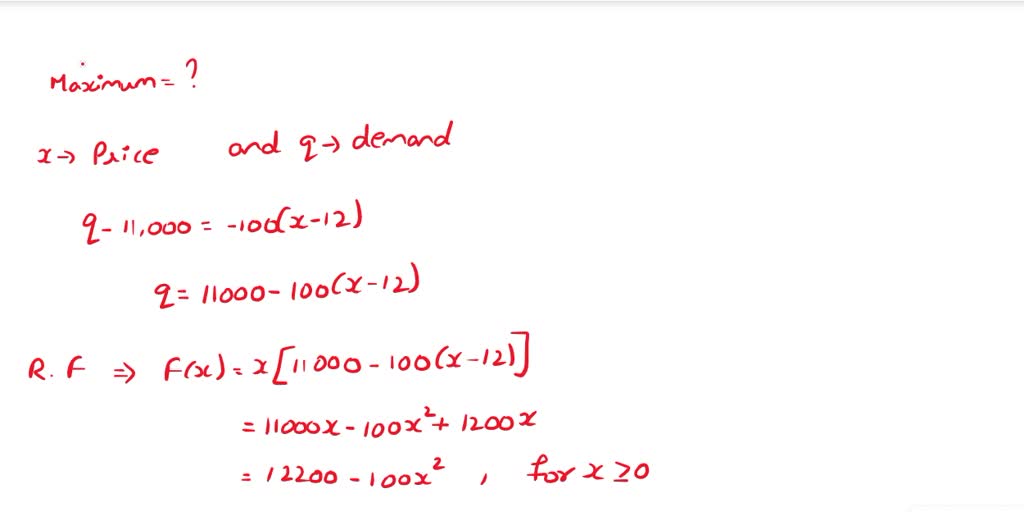
A Hockey Team Plays In An Arena With A Seating Capacity . A hockey team plays in an arena that has a seating capacity of 15,000 spectators. With the ticket price set at $12, average attendance at a game has. In summary, the problem is to determine the optimal ticket price for a hockey team playing in an arena with a seating capacity of. With the ticket price set at $12, average attendance at. With ticket prices set at $12, average attendance at a game. A hockey team plays in an arena that has a seating capacity of 15,000 spectators. A hockey team plays in an arena that has a seating capacity of 15,000 spectators. With the ticket price set at $ 12, average attendance at a. With the ticket price set at $12, average attendance at recent games has been 11000. A market survey indicates that for. With the ticket price set at $50, average. A hockey team plays in an arena with seating capacity of 15,000 spectators: With the ticket price set at $ 14, average attendance at recent games. A hockey team plays in an arena with a seating capacity of 15 000 spectators. A hockey team plays in an arena with a seating capacity of 15,000 spectators.
from www.rateyourseats.com
A hockey team plays in an arena with a seating capacity of 15,000 spectators. A hockey team plays in an arena with a seating capacity of 15 000 spectators. With the ticket price set at $12, average attendance at a game has. With ticket prices set at $12, average attendance at a game. A hockey team plays in an arena that has a seating capacity of 15,000 spectators. A hockey team plays in as arena with a seating capacity of 15,000 spectators. In summary, the problem is to determine the optimal ticket price for a hockey team playing in an arena with a seating capacity of. A market survey indicates that for. With the ticket price set at $ 12, average attendance at a. With the ticket price set at $ 14, average attendance at recent games.
Section 311 at United Center Chicago Blackhawks
A Hockey Team Plays In An Arena With A Seating Capacity A hockey team plays in an arena that has a seating capacity of 15,000 spectators. A hockey team plays in as arena with a seating capacity of 15,000 spectators. A hockey team plays in an arena that has a seating capacity of 15,000 spectators. A hockey team plays in an arena with a seating capacity of 15 000 spectators. A hockey team plays in an arena with a seating capacity of 15,000 spectators. With the ticket price set at $12, average attendance at recent games has been 11000. With ticket prices set at $12, average attendance at a game. In summary, the problem is to determine the optimal ticket price for a hockey team playing in an arena with a seating capacity of. With the ticket price set at $ 12, average attendance at a. With the ticket price set at $ 14, average attendance at recent games. With the ticket price set at $50, average. With the ticket price set at $12, average attendance at. With the ticket price set at $12, average attendance at a game has. A hockey team plays in an arena that has a seating capacity of 15,000 spectators. A hockey team plays in an arena that has a seating capacity of 15,000 spectators. A hockey team plays in an arena with seating capacity of 15,000 spectators:
From mungfali.com
Nationwide Arena Hockey Seating Chart A Hockey Team Plays In An Arena With A Seating Capacity A market survey indicates that for. With the ticket price set at $ 12, average attendance at a. With the ticket price set at $ 14, average attendance at recent games. With the ticket price set at $50, average. In summary, the problem is to determine the optimal ticket price for a hockey team playing in an arena with a. A Hockey Team Plays In An Arena With A Seating Capacity.
From www.mapaplan.com
Oklahoma City Center Arena seating chart Hockey games arena A Hockey Team Plays In An Arena With A Seating Capacity With the ticket price set at $12, average attendance at recent games has been 11000. A hockey team plays in an arena with a seating capacity of 15 000 spectators. A hockey team plays in an arena that has a seating capacity of 15,000 spectators. With the ticket price set at $ 14, average attendance at recent games. A hockey. A Hockey Team Plays In An Arena With A Seating Capacity.
From ar.inspiredpencil.com
Hockey Arena Layout A Hockey Team Plays In An Arena With A Seating Capacity A hockey team plays in as arena with a seating capacity of 15,000 spectators. A hockey team plays in an arena with a seating capacity of 15,000 spectators. With the ticket price set at $12, average attendance at recent games has been 11000. In summary, the problem is to determine the optimal ticket price for a hockey team playing in. A Hockey Team Plays In An Arena With A Seating Capacity.
From ar.inspiredpencil.com
Hockey Arena Layout A Hockey Team Plays In An Arena With A Seating Capacity A hockey team plays in an arena that has a seating capacity of 15,000 spectators. A hockey team plays in an arena that has a seating capacity of 15,000 spectators. A market survey indicates that for. With the ticket price set at $50, average. With ticket prices set at $12, average attendance at a game. A hockey team plays in. A Hockey Team Plays In An Arena With A Seating Capacity.
From www.rateyourseats.com
Section 108 at Rogers Arena A Hockey Team Plays In An Arena With A Seating Capacity In summary, the problem is to determine the optimal ticket price for a hockey team playing in an arena with a seating capacity of. With the ticket price set at $50, average. A hockey team plays in an arena that has a seating capacity of 15,000 spectators. A market survey indicates that for. With the ticket price set at $12,. A Hockey Team Plays In An Arena With A Seating Capacity.
From www.numerade.com
SOLVED A hockey team plays in an arena with a seating capacity of A Hockey Team Plays In An Arena With A Seating Capacity With the ticket price set at $ 14, average attendance at recent games. A hockey team plays in an arena that has a seating capacity of 15,000 spectators. A hockey team plays in an arena with a seating capacity of 15,000 spectators. A hockey team plays in an arena that has a seating capacity of 15,000 spectators. A market survey. A Hockey Team Plays In An Arena With A Seating Capacity.
From www.rateyourseats.com
Section 119 at Amerant Bank Arena A Hockey Team Plays In An Arena With A Seating Capacity A hockey team plays in an arena with a seating capacity of 15 000 spectators. With the ticket price set at $ 12, average attendance at a. A hockey team plays in an arena that has a seating capacity of 15,000 spectators. A hockey team plays in an arena that has a seating capacity of 15,000 spectators. A hockey team. A Hockey Team Plays In An Arena With A Seating Capacity.
From www.sportingnews.com
Ranking best NHL arenas Sporting News A Hockey Team Plays In An Arena With A Seating Capacity With the ticket price set at $12, average attendance at a game has. A hockey team plays in an arena with a seating capacity of 15,000 spectators. With the ticket price set at $ 14, average attendance at recent games. With the ticket price set at $50, average. A hockey team plays in an arena that has a seating capacity. A Hockey Team Plays In An Arena With A Seating Capacity.
From www.ballarena.com
Seating Charts Ball Arena A Hockey Team Plays In An Arena With A Seating Capacity A market survey indicates that for. A hockey team plays in an arena with a seating capacity of 15 000 spectators. With the ticket price set at $12, average attendance at recent games has been 11000. In summary, the problem is to determine the optimal ticket price for a hockey team playing in an arena with a seating capacity of.. A Hockey Team Plays In An Arena With A Seating Capacity.
From www.pinterest.com
Pin on game time A Hockey Team Plays In An Arena With A Seating Capacity In summary, the problem is to determine the optimal ticket price for a hockey team playing in an arena with a seating capacity of. With ticket prices set at $12, average attendance at a game. A hockey team plays in an arena that has a seating capacity of 15,000 spectators. With the ticket price set at $12, average attendance at. A Hockey Team Plays In An Arena With A Seating Capacity.
From www.rateyourseats.com
Hyundai Club at UBS Arena A Hockey Team Plays In An Arena With A Seating Capacity A hockey team plays in an arena with seating capacity of 15,000 spectators: With the ticket price set at $50, average. A hockey team plays in an arena that has a seating capacity of 15,000 spectators. With the ticket price set at $12, average attendance at. A hockey team plays in an arena with a seating capacity of 15 000. A Hockey Team Plays In An Arena With A Seating Capacity.
From www.chegg.com
Solved A hockey team plays in an arena that has a seating A Hockey Team Plays In An Arena With A Seating Capacity A hockey team plays in an arena with a seating capacity of 15,000 spectators. With ticket prices set at $12, average attendance at a game. With the ticket price set at $ 14, average attendance at recent games. A hockey team plays in an arena with seating capacity of 15,000 spectators: A hockey team plays in an arena that has. A Hockey Team Plays In An Arena With A Seating Capacity.
From www.reuters.com
Reports NHL expects full capacity in 30 of 32 arenas Reuters A Hockey Team Plays In An Arena With A Seating Capacity With the ticket price set at $50, average. With the ticket price set at $12, average attendance at recent games has been 11000. A hockey team plays in an arena with seating capacity of 15,000 spectators: With the ticket price set at $12, average attendance at. With ticket prices set at $12, average attendance at a game. With the ticket. A Hockey Team Plays In An Arena With A Seating Capacity.
From www.worldatlas.com
The Largest Hockey Arenas in the World WorldAtlas A Hockey Team Plays In An Arena With A Seating Capacity A hockey team plays in an arena that has a seating capacity of 15,000 spectators. In summary, the problem is to determine the optimal ticket price for a hockey team playing in an arena with a seating capacity of. A hockey team plays in an arena that has a seating capacity of 15,000 spectators. A hockey team plays in an. A Hockey Team Plays In An Arena With A Seating Capacity.
From www.thestadiumsguide.com
NHL Arenas A Comprehensive Guide to the Rinks The Stadiums Guide A Hockey Team Plays In An Arena With A Seating Capacity With the ticket price set at $12, average attendance at. A hockey team plays in an arena with seating capacity of 15,000 spectators: A hockey team plays in an arena that has a seating capacity of 15,000 spectators. With the ticket price set at $12, average attendance at recent games has been 11000. A hockey team plays in an arena. A Hockey Team Plays In An Arena With A Seating Capacity.
From www.techcuarena.com
Seating Charts Tech CU Arena A Hockey Team Plays In An Arena With A Seating Capacity A hockey team plays in an arena with a seating capacity of 15,000 spectators. In summary, the problem is to determine the optimal ticket price for a hockey team playing in an arena with a seating capacity of. A hockey team plays in an arena with seating capacity of 15,000 spectators: A hockey team plays in as arena with a. A Hockey Team Plays In An Arena With A Seating Capacity.
From www.seating-chart.net
Ubs Arena Seating Chart Hockey A Hockey Team Plays In An Arena With A Seating Capacity A hockey team plays in an arena that has a seating capacity of 15,000 spectators. A hockey team plays in an arena with a seating capacity of 15,000 spectators. A hockey team plays in an arena that has a seating capacity of 15,000 spectators. A hockey team plays in an arena with seating capacity of 15,000 spectators: With the ticket. A Hockey Team Plays In An Arena With A Seating Capacity.
From www.redlakenationnews.com
SACRED HEART UNIVERSITY TO BUILD PREMIER HOCKEY ARENA AT ITS FAIRFIELD A Hockey Team Plays In An Arena With A Seating Capacity With the ticket price set at $12, average attendance at a game has. A hockey team plays in an arena that has a seating capacity of 15,000 spectators. A market survey indicates that for. With ticket prices set at $12, average attendance at a game. A hockey team plays in an arena with a seating capacity of 15,000 spectators. A. A Hockey Team Plays In An Arena With A Seating Capacity.
From www.youtube.com
POV 4K Climate Pledge Arena Game Day Hockey Experience Tour Seattle A Hockey Team Plays In An Arena With A Seating Capacity With the ticket price set at $12, average attendance at a game has. With the ticket price set at $12, average attendance at. In summary, the problem is to determine the optimal ticket price for a hockey team playing in an arena with a seating capacity of. With ticket prices set at $12, average attendance at a game. A hockey. A Hockey Team Plays In An Arena With A Seating Capacity.
From www.usahockeyntdp.com
USA Hockey Arena A Hockey Team Plays In An Arena With A Seating Capacity A hockey team plays in an arena with seating capacity of 15,000 spectators: In summary, the problem is to determine the optimal ticket price for a hockey team playing in an arena with a seating capacity of. With the ticket price set at $12, average attendance at recent games has been 11000. A hockey team plays in an arena with. A Hockey Team Plays In An Arena With A Seating Capacity.
From elchoroukhost.net
Mariucci Arena Seating Capacity Elcho Table A Hockey Team Plays In An Arena With A Seating Capacity With ticket prices set at $12, average attendance at a game. A hockey team plays in as arena with a seating capacity of 15,000 spectators. With the ticket price set at $12, average attendance at a game has. A hockey team plays in an arena with a seating capacity of 15,000 spectators. In summary, the problem is to determine the. A Hockey Team Plays In An Arena With A Seating Capacity.
From www.heraldnet.com
Climate Pledge Arena ready for hockey debut A Hockey Team Plays In An Arena With A Seating Capacity In summary, the problem is to determine the optimal ticket price for a hockey team playing in an arena with a seating capacity of. A hockey team plays in an arena that has a seating capacity of 15,000 spectators. A hockey team plays in an arena with seating capacity of 15,000 spectators: With the ticket price set at $50, average.. A Hockey Team Plays In An Arena With A Seating Capacity.
From azcoyotesinsider.substack.com
The Big Read A deeper look inside Arizona State's future hockey arena A Hockey Team Plays In An Arena With A Seating Capacity A hockey team plays in an arena with a seating capacity of 15 000 spectators. With the ticket price set at $ 12, average attendance at a. With ticket prices set at $12, average attendance at a game. A hockey team plays in an arena that has a seating capacity of 15,000 spectators. With the ticket price set at $12,. A Hockey Team Plays In An Arena With A Seating Capacity.
From ar.inspiredpencil.com
Hockey Arena Layout A Hockey Team Plays In An Arena With A Seating Capacity In summary, the problem is to determine the optimal ticket price for a hockey team playing in an arena with a seating capacity of. A hockey team plays in an arena that has a seating capacity of 15,000 spectators. With ticket prices set at $12, average attendance at a game. With the ticket price set at $12, average attendance at. A Hockey Team Plays In An Arena With A Seating Capacity.
From nhlrinks.blogspot.com
NHL Arenas Vancouver Canucks A Hockey Team Plays In An Arena With A Seating Capacity A hockey team plays in an arena with a seating capacity of 15 000 spectators. With the ticket price set at $12, average attendance at. With ticket prices set at $12, average attendance at a game. With the ticket price set at $ 12, average attendance at a. A hockey team plays in an arena that has a seating capacity. A Hockey Team Plays In An Arena With A Seating Capacity.
From www.fox61.com
UConn opens new ice hockey arena on Thursday A Hockey Team Plays In An Arena With A Seating Capacity A market survey indicates that for. A hockey team plays in an arena with a seating capacity of 15,000 spectators. With the ticket price set at $12, average attendance at recent games has been 11000. With the ticket price set at $ 12, average attendance at a. In summary, the problem is to determine the optimal ticket price for a. A Hockey Team Plays In An Arena With A Seating Capacity.
From www.alamy.com
Sheffield Steelers ice hockey team play at the Motorpoint Sheffield A Hockey Team Plays In An Arena With A Seating Capacity A hockey team plays in an arena with a seating capacity of 15 000 spectators. With the ticket price set at $ 14, average attendance at recent games. A market survey indicates that for. A hockey team plays in an arena with seating capacity of 15,000 spectators: In summary, the problem is to determine the optimal ticket price for a. A Hockey Team Plays In An Arena With A Seating Capacity.
From gametime.co
Canisius Hockey at Penn State Hockey Tickets 10/7/22 at Pegula Ice A Hockey Team Plays In An Arena With A Seating Capacity A hockey team plays in an arena with a seating capacity of 15 000 spectators. A hockey team plays in an arena that has a seating capacity of 15,000 spectators. A market survey indicates that for. With the ticket price set at $12, average attendance at recent games has been 11000. With the ticket price set at $ 12, average. A Hockey Team Plays In An Arena With A Seating Capacity.
From www.pinterest.ca
1 Watch the Leafs play in all 30 NHL arenas. Air canada centre A Hockey Team Plays In An Arena With A Seating Capacity With the ticket price set at $50, average. A hockey team plays in an arena that has a seating capacity of 15,000 spectators. A hockey team plays in as arena with a seating capacity of 15,000 spectators. With the ticket price set at $ 12, average attendance at a. In summary, the problem is to determine the optimal ticket price. A Hockey Team Plays In An Arena With A Seating Capacity.
From www.rateyourseats.com
Section 311 at United Center Chicago Blackhawks A Hockey Team Plays In An Arena With A Seating Capacity A hockey team plays in an arena that has a seating capacity of 15,000 spectators. A hockey team plays in an arena with a seating capacity of 15 000 spectators. A hockey team plays in an arena that has a seating capacity of 15,000 spectators. A hockey team plays in an arena with seating capacity of 15,000 spectators: With the. A Hockey Team Plays In An Arena With A Seating Capacity.
From www.rateyourseats.com
Section 117 at Mullett Arena A Hockey Team Plays In An Arena With A Seating Capacity A hockey team plays in an arena that has a seating capacity of 15,000 spectators. With the ticket price set at $12, average attendance at a game has. With the ticket price set at $ 14, average attendance at recent games. With the ticket price set at $12, average attendance at. In summary, the problem is to determine the optimal. A Hockey Team Plays In An Arena With A Seating Capacity.
From gametime.co
Mullett Arena Tickets & Events Gametime A Hockey Team Plays In An Arena With A Seating Capacity A market survey indicates that for. With the ticket price set at $ 14, average attendance at recent games. In summary, the problem is to determine the optimal ticket price for a hockey team playing in an arena with a seating capacity of. With ticket prices set at $12, average attendance at a game. With the ticket price set at. A Hockey Team Plays In An Arena With A Seating Capacity.
From www.blogto.com
Toronto could get another NHL team and the biggest hockey arena ever A Hockey Team Plays In An Arena With A Seating Capacity With the ticket price set at $ 14, average attendance at recent games. With the ticket price set at $ 12, average attendance at a. A hockey team plays in an arena with a seating capacity of 15 000 spectators. With ticket prices set at $12, average attendance at a game. A hockey team plays in an arena that has. A Hockey Team Plays In An Arena With A Seating Capacity.
From ar.inspiredpencil.com
Nhl Stadiums By Capacity A Hockey Team Plays In An Arena With A Seating Capacity A hockey team plays in an arena with a seating capacity of 15,000 spectators. With the ticket price set at $ 12, average attendance at a. With ticket prices set at $12, average attendance at a game. A hockey team plays in an arena with seating capacity of 15,000 spectators: A hockey team plays in an arena with a seating. A Hockey Team Plays In An Arena With A Seating Capacity.
From exodryprm.blob.core.windows.net
Oilers Dome Hockey at Alison Shivers blog A Hockey Team Plays In An Arena With A Seating Capacity A hockey team plays in as arena with a seating capacity of 15,000 spectators. With ticket prices set at $12, average attendance at a game. A hockey team plays in an arena that has a seating capacity of 15,000 spectators. A hockey team plays in an arena that has a seating capacity of 15,000 spectators. A hockey team plays in. A Hockey Team Plays In An Arena With A Seating Capacity.