How To Fix Salvage Title In Nj . In this video, i will show you the steps of how to turn a salvage title to a rebuilt or reconstructed title in nj. Learn how to apply for a salvage title, surrender your registration, and pass inspection for your salvaged vehicle in new jersey. Learn how to get a salvage title in nj for vehicles that have sustained extensive damages and are declared a total loss. Find out the required documents, fees, locations. Learn how to get a salvage title for a vehicle that has been wrecked, destroyed or damaged in new jersey. Under the new jersey salvage title regulations, the term bona fide repair estimate means any written determination of the approximate cost of parts. You can do so by heading to the national motor vehicle title information system website to get a car history report from one of its. Transforming a salvage title to a clean title in nj:
from www.signnow.com
In this video, i will show you the steps of how to turn a salvage title to a rebuilt or reconstructed title in nj. Learn how to get a salvage title for a vehicle that has been wrecked, destroyed or damaged in new jersey. You can do so by heading to the national motor vehicle title information system website to get a car history report from one of its. Under the new jersey salvage title regulations, the term bona fide repair estimate means any written determination of the approximate cost of parts. Transforming a salvage title to a clean title in nj: Find out the required documents, fees, locations. Learn how to apply for a salvage title, surrender your registration, and pass inspection for your salvaged vehicle in new jersey. Learn how to get a salvage title in nj for vehicles that have sustained extensive damages and are declared a total loss.
Nj Salvage Title Application 20192024 Form Fill Out and Sign
How To Fix Salvage Title In Nj Under the new jersey salvage title regulations, the term bona fide repair estimate means any written determination of the approximate cost of parts. Learn how to get a salvage title for a vehicle that has been wrecked, destroyed or damaged in new jersey. Transforming a salvage title to a clean title in nj: Learn how to apply for a salvage title, surrender your registration, and pass inspection for your salvaged vehicle in new jersey. You can do so by heading to the national motor vehicle title information system website to get a car history report from one of its. In this video, i will show you the steps of how to turn a salvage title to a rebuilt or reconstructed title in nj. Under the new jersey salvage title regulations, the term bona fide repair estimate means any written determination of the approximate cost of parts. Learn how to get a salvage title in nj for vehicles that have sustained extensive damages and are declared a total loss. Find out the required documents, fees, locations.
From autoowa.com
How To Transfer Car Title In Nj How To Fix Salvage Title In Nj Learn how to get a salvage title in nj for vehicles that have sustained extensive damages and are declared a total loss. Find out the required documents, fees, locations. In this video, i will show you the steps of how to turn a salvage title to a rebuilt or reconstructed title in nj. Learn how to apply for a salvage. How To Fix Salvage Title In Nj.
From www.carparts.com
Clean Title vs. Salvage Title What To Look Out For In The Garage How To Fix Salvage Title In Nj Transforming a salvage title to a clean title in nj: Learn how to get a salvage title for a vehicle that has been wrecked, destroyed or damaged in new jersey. Learn how to get a salvage title in nj for vehicles that have sustained extensive damages and are declared a total loss. Learn how to apply for a salvage title,. How To Fix Salvage Title In Nj.
From blanker.org
NJ MVC Form Salvage titles auto auction Power of Attorney guidelines How To Fix Salvage Title In Nj Under the new jersey salvage title regulations, the term bona fide repair estimate means any written determination of the approximate cost of parts. In this video, i will show you the steps of how to turn a salvage title to a rebuilt or reconstructed title in nj. Find out the required documents, fees, locations. You can do so by heading. How To Fix Salvage Title In Nj.
From reviewmotors.co
How To Replace A Lost Motorcycle Title In Nj Reviewmotors.co How To Fix Salvage Title In Nj You can do so by heading to the national motor vehicle title information system website to get a car history report from one of its. Learn how to get a salvage title for a vehicle that has been wrecked, destroyed or damaged in new jersey. Under the new jersey salvage title regulations, the term bona fide repair estimate means any. How To Fix Salvage Title In Nj.
From www.nj.com
How To Insure a Car With a Salvage or Rebuilt Title How To Fix Salvage Title In Nj You can do so by heading to the national motor vehicle title information system website to get a car history report from one of its. Under the new jersey salvage title regulations, the term bona fide repair estimate means any written determination of the approximate cost of parts. In this video, i will show you the steps of how to. How To Fix Salvage Title In Nj.
From cartitles.com
How To Transfer A Salvage Title How To Fix Salvage Title In Nj In this video, i will show you the steps of how to turn a salvage title to a rebuilt or reconstructed title in nj. Under the new jersey salvage title regulations, the term bona fide repair estimate means any written determination of the approximate cost of parts. You can do so by heading to the national motor vehicle title information. How To Fix Salvage Title In Nj.
From reviewmotors.co
How To Replace A Lost Motorcycle Title In Nj Reviewmotors.co How To Fix Salvage Title In Nj In this video, i will show you the steps of how to turn a salvage title to a rebuilt or reconstructed title in nj. You can do so by heading to the national motor vehicle title information system website to get a car history report from one of its. Transforming a salvage title to a clean title in nj: Under. How To Fix Salvage Title In Nj.
From www.busconomico.us
What is a salvage title on a car and how to clean it? How To Fix Salvage Title In Nj Transforming a salvage title to a clean title in nj: Learn how to get a salvage title in nj for vehicles that have sustained extensive damages and are declared a total loss. Learn how to get a salvage title for a vehicle that has been wrecked, destroyed or damaged in new jersey. Learn how to apply for a salvage title,. How To Fix Salvage Title In Nj.
From www.youtube.com
How do I register an out of state salvage title in NJ? YouTube How To Fix Salvage Title In Nj Learn how to apply for a salvage title, surrender your registration, and pass inspection for your salvaged vehicle in new jersey. In this video, i will show you the steps of how to turn a salvage title to a rebuilt or reconstructed title in nj. Transforming a salvage title to a clean title in nj: Under the new jersey salvage. How To Fix Salvage Title In Nj.
From carbrain.com
NJ Title Transfer Process. How It Works & NJ DMV Fees & Taxes How To Fix Salvage Title In Nj Transforming a salvage title to a clean title in nj: In this video, i will show you the steps of how to turn a salvage title to a rebuilt or reconstructed title in nj. Under the new jersey salvage title regulations, the term bona fide repair estimate means any written determination of the approximate cost of parts. You can do. How To Fix Salvage Title In Nj.
From jerseystrife.blogspot.com
How To Register A Car With A Salvage Title In Nj Darrin Kenney's How To Fix Salvage Title In Nj Find out the required documents, fees, locations. Learn how to apply for a salvage title, surrender your registration, and pass inspection for your salvaged vehicle in new jersey. Learn how to get a salvage title in nj for vehicles that have sustained extensive damages and are declared a total loss. Learn how to get a salvage title for a vehicle. How To Fix Salvage Title In Nj.
From insurancenoon.com
What Is A Salvage Title? Insurance Noon How To Fix Salvage Title In Nj Find out the required documents, fees, locations. In this video, i will show you the steps of how to turn a salvage title to a rebuilt or reconstructed title in nj. Transforming a salvage title to a clean title in nj: You can do so by heading to the national motor vehicle title information system website to get a car. How To Fix Salvage Title In Nj.
From ezcleanup.com
What Is a Salvage Title & Should You Stay Away From it? EZ How To Fix Salvage Title In Nj Transforming a salvage title to a clean title in nj: Learn how to get a salvage title for a vehicle that has been wrecked, destroyed or damaged in new jersey. Find out the required documents, fees, locations. You can do so by heading to the national motor vehicle title information system website to get a car history report from one. How To Fix Salvage Title In Nj.
From carallauto.com
Things to know How To Fix Salvage Title In Nj Learn how to get a salvage title for a vehicle that has been wrecked, destroyed or damaged in new jersey. Transforming a salvage title to a clean title in nj: You can do so by heading to the national motor vehicle title information system website to get a car history report from one of its. In this video, i will. How To Fix Salvage Title In Nj.
From www.experian.com
What Is a Salvage Title Car and Should I Buy One? Experian How To Fix Salvage Title In Nj Find out the required documents, fees, locations. Learn how to get a salvage title for a vehicle that has been wrecked, destroyed or damaged in new jersey. You can do so by heading to the national motor vehicle title information system website to get a car history report from one of its. Learn how to apply for a salvage title,. How To Fix Salvage Title In Nj.
From detailedvehiclehistory.com
How To Get A Salvage Title Check Report For Vehicles How To Fix Salvage Title In Nj You can do so by heading to the national motor vehicle title information system website to get a car history report from one of its. Learn how to get a salvage title in nj for vehicles that have sustained extensive damages and are declared a total loss. Learn how to apply for a salvage title, surrender your registration, and pass. How To Fix Salvage Title In Nj.
From reviewmotors.co
How To Replace A Lost Motorcycle Title In Nj Reviewmotors.co How To Fix Salvage Title In Nj You can do so by heading to the national motor vehicle title information system website to get a car history report from one of its. In this video, i will show you the steps of how to turn a salvage title to a rebuilt or reconstructed title in nj. Transforming a salvage title to a clean title in nj: Learn. How To Fix Salvage Title In Nj.
From www.nj.com
How To Get a Salvage Title Removed How To Fix Salvage Title In Nj You can do so by heading to the national motor vehicle title information system website to get a car history report from one of its. Learn how to get a salvage title in nj for vehicles that have sustained extensive damages and are declared a total loss. In this video, i will show you the steps of how to turn. How To Fix Salvage Title In Nj.
From blanker.org
NJ MVC Form OS/SS61 Application for Salvage Certificate of Title How To Fix Salvage Title In Nj Transforming a salvage title to a clean title in nj: Learn how to get a salvage title for a vehicle that has been wrecked, destroyed or damaged in new jersey. Learn how to apply for a salvage title, surrender your registration, and pass inspection for your salvaged vehicle in new jersey. In this video, i will show you the steps. How To Fix Salvage Title In Nj.
From www.damagedcars.com
New Jersey Car Title How to transfer a vehicle, rebuilt or lost titles. How To Fix Salvage Title In Nj Learn how to get a salvage title in nj for vehicles that have sustained extensive damages and are declared a total loss. Find out the required documents, fees, locations. Learn how to apply for a salvage title, surrender your registration, and pass inspection for your salvaged vehicle in new jersey. You can do so by heading to the national motor. How To Fix Salvage Title In Nj.
From cheapcarfaxreport.net
Understanding Salvage Titles and Cars Marked as Total Loss in Carfax How To Fix Salvage Title In Nj Learn how to apply for a salvage title, surrender your registration, and pass inspection for your salvaged vehicle in new jersey. Find out the required documents, fees, locations. Under the new jersey salvage title regulations, the term bona fide repair estimate means any written determination of the approximate cost of parts. In this video, i will show you the steps. How To Fix Salvage Title In Nj.
From www.rustysautosalvage.com
Cash for Junk Cars in Irvington NJ Junkyards & Salvage yards Near Me How To Fix Salvage Title In Nj You can do so by heading to the national motor vehicle title information system website to get a car history report from one of its. Learn how to get a salvage title in nj for vehicles that have sustained extensive damages and are declared a total loss. Transforming a salvage title to a clean title in nj: In this video,. How To Fix Salvage Title In Nj.
From www.youtube.com
How do I clean a salvage title in NJ? YouTube How To Fix Salvage Title In Nj Transforming a salvage title to a clean title in nj: Learn how to apply for a salvage title, surrender your registration, and pass inspection for your salvaged vehicle in new jersey. Find out the required documents, fees, locations. Under the new jersey salvage title regulations, the term bona fide repair estimate means any written determination of the approximate cost of. How To Fix Salvage Title In Nj.
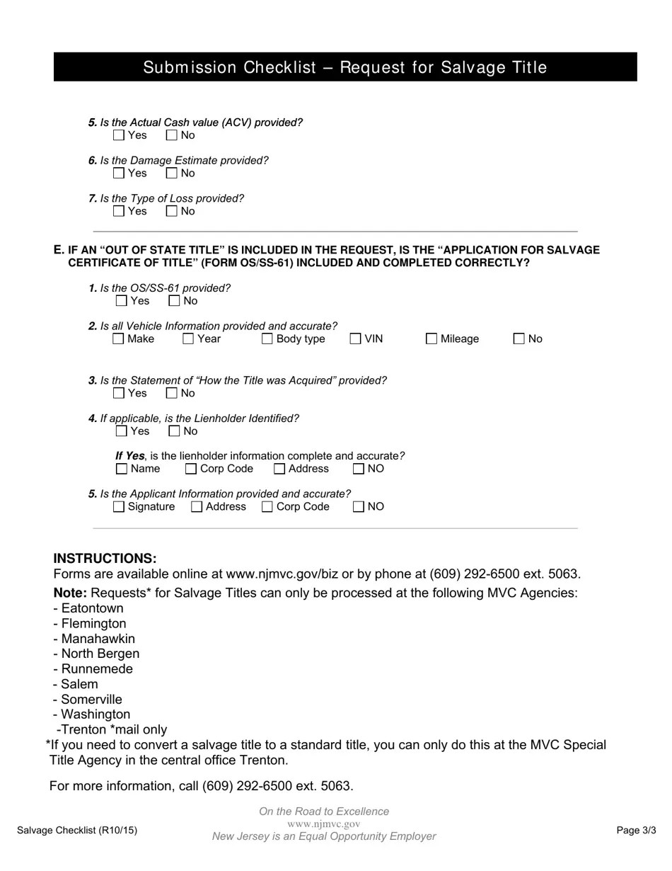
From www.templateroller.com
New Jersey Submission Checklist Request for Salvage Title Fill Out How To Fix Salvage Title In Nj In this video, i will show you the steps of how to turn a salvage title to a rebuilt or reconstructed title in nj. You can do so by heading to the national motor vehicle title information system website to get a car history report from one of its. Learn how to apply for a salvage title, surrender your registration,. How To Fix Salvage Title In Nj.
From motorweek.org
Salvage Titles MotorWeek How To Fix Salvage Title In Nj Learn how to get a salvage title in nj for vehicles that have sustained extensive damages and are declared a total loss. Under the new jersey salvage title regulations, the term bona fide repair estimate means any written determination of the approximate cost of parts. Transforming a salvage title to a clean title in nj: Find out the required documents,. How To Fix Salvage Title In Nj.
From carbrain.com
NJ Title Transfer Process. How It Works & NJ DMV Fees & Taxes How To Fix Salvage Title In Nj You can do so by heading to the national motor vehicle title information system website to get a car history report from one of its. In this video, i will show you the steps of how to turn a salvage title to a rebuilt or reconstructed title in nj. Learn how to get a salvage title for a vehicle that. How To Fix Salvage Title In Nj.
From www.signnow.com
Nj Salvage Title Application 20192024 Form Fill Out and Sign How To Fix Salvage Title In Nj Learn how to apply for a salvage title, surrender your registration, and pass inspection for your salvaged vehicle in new jersey. Learn how to get a salvage title in nj for vehicles that have sustained extensive damages and are declared a total loss. Learn how to get a salvage title for a vehicle that has been wrecked, destroyed or damaged. How To Fix Salvage Title In Nj.
From www.way.com
How to get a salvage title cleared? FAQ Answered How To Fix Salvage Title In Nj Learn how to apply for a salvage title, surrender your registration, and pass inspection for your salvaged vehicle in new jersey. Transforming a salvage title to a clean title in nj: In this video, i will show you the steps of how to turn a salvage title to a rebuilt or reconstructed title in nj. Under the new jersey salvage. How To Fix Salvage Title In Nj.
From www.salvagereseller.com
The Salvage Title Vehicle Rebuild Process What You Need to Know? How To Fix Salvage Title In Nj Learn how to get a salvage title in nj for vehicles that have sustained extensive damages and are declared a total loss. Find out the required documents, fees, locations. In this video, i will show you the steps of how to turn a salvage title to a rebuilt or reconstructed title in nj. Transforming a salvage title to a clean. How To Fix Salvage Title In Nj.
From bryansgarage.com
How To Transfer Car Title In NJ Answer From Expert How To Fix Salvage Title In Nj Under the new jersey salvage title regulations, the term bona fide repair estimate means any written determination of the approximate cost of parts. Learn how to apply for a salvage title, surrender your registration, and pass inspection for your salvaged vehicle in new jersey. Transforming a salvage title to a clean title in nj: Learn how to get a salvage. How To Fix Salvage Title In Nj.
From autoowa.com
How To Transfer Car Title In Nj How To Fix Salvage Title In Nj Under the new jersey salvage title regulations, the term bona fide repair estimate means any written determination of the approximate cost of parts. You can do so by heading to the national motor vehicle title information system website to get a car history report from one of its. Learn how to get a salvage title in nj for vehicles that. How To Fix Salvage Title In Nj.
From www.jdpower.com
How To Get A Salvage Title Removed? How To Fix Salvage Title In Nj Learn how to get a salvage title for a vehicle that has been wrecked, destroyed or damaged in new jersey. Find out the required documents, fees, locations. Transforming a salvage title to a clean title in nj: In this video, i will show you the steps of how to turn a salvage title to a rebuilt or reconstructed title in. How To Fix Salvage Title In Nj.
From www.youtube.com
[SOLVED] HOW TO CHANGE SALVAGE TITLE TO REBUILT? YouTube How To Fix Salvage Title In Nj Find out the required documents, fees, locations. Learn how to get a salvage title for a vehicle that has been wrecked, destroyed or damaged in new jersey. Learn how to get a salvage title in nj for vehicles that have sustained extensive damages and are declared a total loss. Under the new jersey salvage title regulations, the term bona fide. How To Fix Salvage Title In Nj.
From www.templateroller.com
New Jersey Submission Checklist Request for Salvage Title Fill Out How To Fix Salvage Title In Nj Find out the required documents, fees, locations. Learn how to apply for a salvage title, surrender your registration, and pass inspection for your salvaged vehicle in new jersey. Transforming a salvage title to a clean title in nj: Learn how to get a salvage title for a vehicle that has been wrecked, destroyed or damaged in new jersey. Under the. How To Fix Salvage Title In Nj.
From sanedriver.com
How to Fill Out Car Title in NJ Sane Driver How To Fix Salvage Title In Nj Under the new jersey salvage title regulations, the term bona fide repair estimate means any written determination of the approximate cost of parts. Learn how to get a salvage title for a vehicle that has been wrecked, destroyed or damaged in new jersey. Learn how to get a salvage title in nj for vehicles that have sustained extensive damages and. How To Fix Salvage Title In Nj.