What Is The Meaning Of Hx In Medical Terms . 144 rows meaning h: In medical terminology, hx is an abbreviation for history. it is commonly used in medical. hxin in medical contexts commonly refers to 'history,' which often pertains to a patient's medical history or the background. If you do not know an. 128 rows find definitions of medical abbreviations commonly found in health records. when utilized in the context of medical imaging reports, “hx” refers to a patient’s medical history. Meaning of hx medical term. Histamine or its receptors (if with subscripts) hemagglutinin: looking for online definition of hx in the medical dictionary? So there's not much rhyme or reason to it, except that in most cases x. a list of common medical abbreviations and medical acronyms to help you understand entries in the medical notes.
from exokvcvfa.blob.core.windows.net
144 rows meaning h: when utilized in the context of medical imaging reports, “hx” refers to a patient’s medical history. Histamine or its receptors (if with subscripts) hemagglutinin: So there's not much rhyme or reason to it, except that in most cases x. Meaning of hx medical term. hxin in medical contexts commonly refers to 'history,' which often pertains to a patient's medical history or the background. 128 rows find definitions of medical abbreviations commonly found in health records. a list of common medical abbreviations and medical acronyms to help you understand entries in the medical notes. If you do not know an. looking for online definition of hx in the medical dictionary?
History Abbreviation Hx at Victoria Horn blog
What Is The Meaning Of Hx In Medical Terms when utilized in the context of medical imaging reports, “hx” refers to a patient’s medical history. when utilized in the context of medical imaging reports, “hx” refers to a patient’s medical history. Histamine or its receptors (if with subscripts) hemagglutinin: Meaning of hx medical term. hxin in medical contexts commonly refers to 'history,' which often pertains to a patient's medical history or the background. In medical terminology, hx is an abbreviation for history. it is commonly used in medical. So there's not much rhyme or reason to it, except that in most cases x. If you do not know an. 144 rows meaning h: 128 rows find definitions of medical abbreviations commonly found in health records. looking for online definition of hx in the medical dictionary? a list of common medical abbreviations and medical acronyms to help you understand entries in the medical notes.
From www.slideserve.com
PPT Charting PowerPoint Presentation, free download ID6305918 What Is The Meaning Of Hx In Medical Terms hxin in medical contexts commonly refers to 'history,' which often pertains to a patient's medical history or the background. a list of common medical abbreviations and medical acronyms to help you understand entries in the medical notes. looking for online definition of hx in the medical dictionary? So there's not much rhyme or reason to it, except. What Is The Meaning Of Hx In Medical Terms.
From www.slideserve.com
PPT Nutrition Assessment Clinical PowerPoint Presentation, free What Is The Meaning Of Hx In Medical Terms a list of common medical abbreviations and medical acronyms to help you understand entries in the medical notes. 128 rows find definitions of medical abbreviations commonly found in health records. 144 rows meaning h: hxin in medical contexts commonly refers to 'history,' which often pertains to a patient's medical history or the background. Histamine or its. What Is The Meaning Of Hx In Medical Terms.
From engdic.org
List of Medical Abbreviations (A to Z) EngDic What Is The Meaning Of Hx In Medical Terms looking for online definition of hx in the medical dictionary? Histamine or its receptors (if with subscripts) hemagglutinin: Meaning of hx medical term. 144 rows meaning h: So there's not much rhyme or reason to it, except that in most cases x. In medical terminology, hx is an abbreviation for history. it is commonly used in medical. . What Is The Meaning Of Hx In Medical Terms.
From korsteerf.blogspot.com
Od In Medical Terms / Medical terms 5, Renal system YouTube Dental What Is The Meaning Of Hx In Medical Terms 144 rows meaning h: If you do not know an. Meaning of hx medical term. hxin in medical contexts commonly refers to 'history,' which often pertains to a patient's medical history or the background. Histamine or its receptors (if with subscripts) hemagglutinin: a list of common medical abbreviations and medical acronyms to help you understand entries in. What Is The Meaning Of Hx In Medical Terms.
From www.slideserve.com
PPT U 9 Taking a Medical Hx PowerPoint Presentation, free download What Is The Meaning Of Hx In Medical Terms when utilized in the context of medical imaging reports, “hx” refers to a patient’s medical history. So there's not much rhyme or reason to it, except that in most cases x. If you do not know an. Histamine or its receptors (if with subscripts) hemagglutinin: hxin in medical contexts commonly refers to 'history,' which often pertains to a. What Is The Meaning Of Hx In Medical Terms.
From www.scribd.com
Usmle CS Patient Hx Taking Medical Specialties Clinical Medicine What Is The Meaning Of Hx In Medical Terms 144 rows meaning h: In medical terminology, hx is an abbreviation for history. it is commonly used in medical. Histamine or its receptors (if with subscripts) hemagglutinin: If you do not know an. Meaning of hx medical term. a list of common medical abbreviations and medical acronyms to help you understand entries in the medical notes. looking. What Is The Meaning Of Hx In Medical Terms.
From www.slideserve.com
PPT Clinical Hx (Case 1) PowerPoint Presentation, free download ID What Is The Meaning Of Hx In Medical Terms If you do not know an. 128 rows find definitions of medical abbreviations commonly found in health records. 144 rows meaning h: a list of common medical abbreviations and medical acronyms to help you understand entries in the medical notes. looking for online definition of hx in the medical dictionary? Meaning of hx medical term. . What Is The Meaning Of Hx In Medical Terms.
From www.caregiverology.com
Common Medical Abbreviations and Acronyms Caregiverology What Is The Meaning Of Hx In Medical Terms If you do not know an. looking for online definition of hx in the medical dictionary? 144 rows meaning h: Meaning of hx medical term. when utilized in the context of medical imaging reports, “hx” refers to a patient’s medical history. a list of common medical abbreviations and medical acronyms to help you understand entries in. What Is The Meaning Of Hx In Medical Terms.
From www.slideserve.com
PPT Charting PowerPoint Presentation, free download ID6305918 What Is The Meaning Of Hx In Medical Terms hxin in medical contexts commonly refers to 'history,' which often pertains to a patient's medical history or the background. Histamine or its receptors (if with subscripts) hemagglutinin: when utilized in the context of medical imaging reports, “hx” refers to a patient’s medical history. 144 rows meaning h: Meaning of hx medical term. 128 rows find definitions. What Is The Meaning Of Hx In Medical Terms.
From www.slideserve.com
PPT U 9 Taking a Medical Hx PowerPoint Presentation, free download What Is The Meaning Of Hx In Medical Terms 144 rows meaning h: 128 rows find definitions of medical abbreviations commonly found in health records. when utilized in the context of medical imaging reports, “hx” refers to a patient’s medical history. a list of common medical abbreviations and medical acronyms to help you understand entries in the medical notes. looking for online definition of. What Is The Meaning Of Hx In Medical Terms.
From www.slideserve.com
PPT Medical Abbreviations PowerPoint Presentation, free download ID What Is The Meaning Of Hx In Medical Terms 144 rows meaning h: when utilized in the context of medical imaging reports, “hx” refers to a patient’s medical history. looking for online definition of hx in the medical dictionary? Meaning of hx medical term. If you do not know an. So there's not much rhyme or reason to it, except that in most cases x. . What Is The Meaning Of Hx In Medical Terms.
From www.slideserve.com
PPT Charting PowerPoint Presentation, free download ID6305918 What Is The Meaning Of Hx In Medical Terms when utilized in the context of medical imaging reports, “hx” refers to a patient’s medical history. In medical terminology, hx is an abbreviation for history. it is commonly used in medical. 128 rows find definitions of medical abbreviations commonly found in health records. Meaning of hx medical term. Histamine or its receptors (if with subscripts) hemagglutinin: So there's. What Is The Meaning Of Hx In Medical Terms.
From www.studocu.com
Summary of Medical Terms COMMON MEDICAL ABBREVIATIONS Rx What Is The Meaning Of Hx In Medical Terms looking for online definition of hx in the medical dictionary? when utilized in the context of medical imaging reports, “hx” refers to a patient’s medical history. Meaning of hx medical term. hxin in medical contexts commonly refers to 'history,' which often pertains to a patient's medical history or the background. a list of common medical abbreviations. What Is The Meaning Of Hx In Medical Terms.
From www.pinterest.com
Medical Abbreviations and Symbols AC Medical Abbreviation http What Is The Meaning Of Hx In Medical Terms hxin in medical contexts commonly refers to 'history,' which often pertains to a patient's medical history or the background. If you do not know an. when utilized in the context of medical imaging reports, “hx” refers to a patient’s medical history. 144 rows meaning h: 128 rows find definitions of medical abbreviations commonly found in health. What Is The Meaning Of Hx In Medical Terms.
From www.slideserve.com
PPT Case presentation Botulism PowerPoint Presentation, free What Is The Meaning Of Hx In Medical Terms Histamine or its receptors (if with subscripts) hemagglutinin: If you do not know an. 144 rows meaning h: Meaning of hx medical term. 128 rows find definitions of medical abbreviations commonly found in health records. when utilized in the context of medical imaging reports, “hx” refers to a patient’s medical history. hxin in medical contexts commonly. What Is The Meaning Of Hx In Medical Terms.
From zipworksheet.com
Medical Terminology Abbreviations Worksheet What Is The Meaning Of Hx In Medical Terms hxin in medical contexts commonly refers to 'history,' which often pertains to a patient's medical history or the background. Meaning of hx medical term. a list of common medical abbreviations and medical acronyms to help you understand entries in the medical notes. 144 rows meaning h: 128 rows find definitions of medical abbreviations commonly found in. What Is The Meaning Of Hx In Medical Terms.
From www.scribd.com
Gynecology Hx Menstruation Vagina What Is The Meaning Of Hx In Medical Terms when utilized in the context of medical imaging reports, “hx” refers to a patient’s medical history. If you do not know an. looking for online definition of hx in the medical dictionary? Histamine or its receptors (if with subscripts) hemagglutinin: So there's not much rhyme or reason to it, except that in most cases x. In medical terminology,. What Is The Meaning Of Hx In Medical Terms.
From www.studocu.com
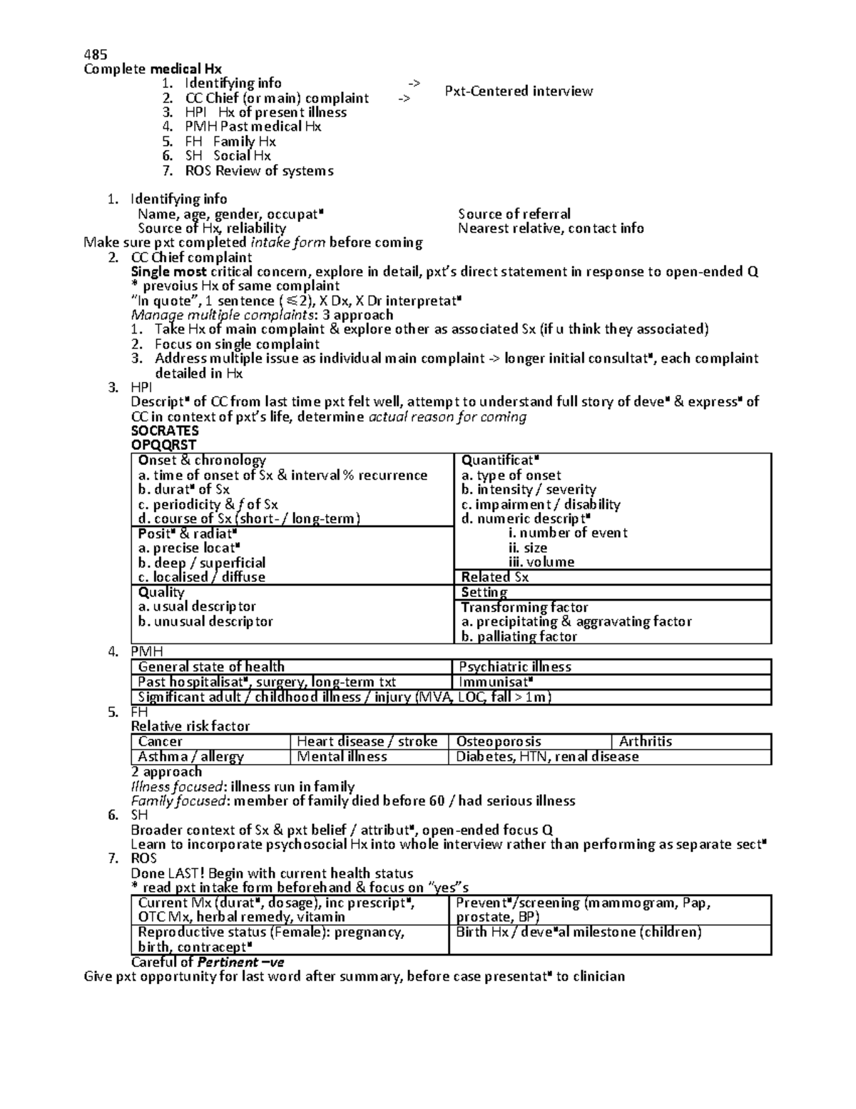
485 Hx 485 Hx 485 Complete medical Hx 1. Identifying info > Pxt What Is The Meaning Of Hx In Medical Terms a list of common medical abbreviations and medical acronyms to help you understand entries in the medical notes. hxin in medical contexts commonly refers to 'history,' which often pertains to a patient's medical history or the background. 128 rows find definitions of medical abbreviations commonly found in health records. when utilized in the context of medical. What Is The Meaning Of Hx In Medical Terms.
From grammarvocab.com
500+ List Of Common Medical Abbreviations GrammarVocab What Is The Meaning Of Hx In Medical Terms Meaning of hx medical term. 144 rows meaning h: In medical terminology, hx is an abbreviation for history. it is commonly used in medical. So there's not much rhyme or reason to it, except that in most cases x. Histamine or its receptors (if with subscripts) hemagglutinin: 128 rows find definitions of medical abbreviations commonly found in health. What Is The Meaning Of Hx In Medical Terms.
From www.slideserve.com
PPT Grand Rounds PowerPoint Presentation, free download ID384759 What Is The Meaning Of Hx In Medical Terms Meaning of hx medical term. 128 rows find definitions of medical abbreviations commonly found in health records. looking for online definition of hx in the medical dictionary? In medical terminology, hx is an abbreviation for history. it is commonly used in medical. 144 rows meaning h: hxin in medical contexts commonly refers to 'history,' which often. What Is The Meaning Of Hx In Medical Terms.
From www.scribd.com
RX Prescription HX History DX Diagnosis Q Every QD Every Day Qod Every What Is The Meaning Of Hx In Medical Terms Histamine or its receptors (if with subscripts) hemagglutinin: a list of common medical abbreviations and medical acronyms to help you understand entries in the medical notes. So there's not much rhyme or reason to it, except that in most cases x. In medical terminology, hx is an abbreviation for history. it is commonly used in medical. looking for. What Is The Meaning Of Hx In Medical Terms.
From wowmedicine.blogspot.com
Pharmacy Medical Abbreviation List What Is The Meaning Of Hx In Medical Terms In medical terminology, hx is an abbreviation for history. it is commonly used in medical. a list of common medical abbreviations and medical acronyms to help you understand entries in the medical notes. Meaning of hx medical term. looking for online definition of hx in the medical dictionary? 144 rows meaning h: Histamine or its receptors (if. What Is The Meaning Of Hx In Medical Terms.
From learningzoneenesewellca.z13.web.core.windows.net
Simple Medical Terminology List What Is The Meaning Of Hx In Medical Terms So there's not much rhyme or reason to it, except that in most cases x. 144 rows meaning h: Histamine or its receptors (if with subscripts) hemagglutinin: If you do not know an. when utilized in the context of medical imaging reports, “hx” refers to a patient’s medical history. In medical terminology, hx is an abbreviation for history.. What Is The Meaning Of Hx In Medical Terms.
From www.slideshare.net
Medical abbreviations glossary What Is The Meaning Of Hx In Medical Terms 144 rows meaning h: Meaning of hx medical term. Histamine or its receptors (if with subscripts) hemagglutinin: 128 rows find definitions of medical abbreviations commonly found in health records. In medical terminology, hx is an abbreviation for history. it is commonly used in medical. when utilized in the context of medical imaging reports, “hx” refers to a. What Is The Meaning Of Hx In Medical Terms.
From engdic.org
Medical Abbreviations with H EngDic What Is The Meaning Of Hx In Medical Terms In medical terminology, hx is an abbreviation for history. it is commonly used in medical. hxin in medical contexts commonly refers to 'history,' which often pertains to a patient's medical history or the background. So there's not much rhyme or reason to it, except that in most cases x. when utilized in the context of medical imaging reports,. What Is The Meaning Of Hx In Medical Terms.
From exokvcvfa.blob.core.windows.net
History Abbreviation Hx at Victoria Horn blog What Is The Meaning Of Hx In Medical Terms So there's not much rhyme or reason to it, except that in most cases x. hxin in medical contexts commonly refers to 'history,' which often pertains to a patient's medical history or the background. Meaning of hx medical term. a list of common medical abbreviations and medical acronyms to help you understand entries in the medical notes. . What Is The Meaning Of Hx In Medical Terms.
From studylib.net
Medical Hx Form Horseheads Comprehensive Physical What Is The Meaning Of Hx In Medical Terms 128 rows find definitions of medical abbreviations commonly found in health records. when utilized in the context of medical imaging reports, “hx” refers to a patient’s medical history. a list of common medical abbreviations and medical acronyms to help you understand entries in the medical notes. looking for online definition of hx in the medical dictionary?. What Is The Meaning Of Hx In Medical Terms.
From www.youtube.com
Meds / Algs / Surg / Soc / Fam hx [Medical Spanish for ER Providers What Is The Meaning Of Hx In Medical Terms In medical terminology, hx is an abbreviation for history. it is commonly used in medical. Meaning of hx medical term. If you do not know an. So there's not much rhyme or reason to it, except that in most cases x. when utilized in the context of medical imaging reports, “hx” refers to a patient’s medical history. a. What Is The Meaning Of Hx In Medical Terms.
From studylib.net
Past Medical Hx Form What Is The Meaning Of Hx In Medical Terms So there's not much rhyme or reason to it, except that in most cases x. hxin in medical contexts commonly refers to 'history,' which often pertains to a patient's medical history or the background. looking for online definition of hx in the medical dictionary? a list of common medical abbreviations and medical acronyms to help you understand. What Is The Meaning Of Hx In Medical Terms.
From www.slideserve.com
PPT Nutrition Assessment Clinical PowerPoint Presentation, free What Is The Meaning Of Hx In Medical Terms looking for online definition of hx in the medical dictionary? when utilized in the context of medical imaging reports, “hx” refers to a patient’s medical history. 144 rows meaning h: hxin in medical contexts commonly refers to 'history,' which often pertains to a patient's medical history or the background. If you do not know an. In. What Is The Meaning Of Hx In Medical Terms.
From korsteerf.blogspot.com
Od In Medical Terms / Medical terms 5, Renal system YouTube Dental What Is The Meaning Of Hx In Medical Terms hxin in medical contexts commonly refers to 'history,' which often pertains to a patient's medical history or the background. In medical terminology, hx is an abbreviation for history. it is commonly used in medical. If you do not know an. looking for online definition of hx in the medical dictionary? 128 rows find definitions of medical abbreviations. What Is The Meaning Of Hx In Medical Terms.
From www.ezmedlearning.com
List of Common Medical Abbreviations, Acronyms, Terms Nursing, NCLEX What Is The Meaning Of Hx In Medical Terms If you do not know an. hxin in medical contexts commonly refers to 'history,' which often pertains to a patient's medical history or the background. when utilized in the context of medical imaging reports, “hx” refers to a patient’s medical history. a list of common medical abbreviations and medical acronyms to help you understand entries in the. What Is The Meaning Of Hx In Medical Terms.
From www.slideserve.com
PPT Medical Terminology PowerPoint Presentation, free download ID What Is The Meaning Of Hx In Medical Terms when utilized in the context of medical imaging reports, “hx” refers to a patient’s medical history. looking for online definition of hx in the medical dictionary? Meaning of hx medical term. So there's not much rhyme or reason to it, except that in most cases x. 144 rows meaning h: hxin in medical contexts commonly refers. What Is The Meaning Of Hx In Medical Terms.
From www.slideserve.com
PPT DOCUMENTATION PowerPoint Presentation, free download ID273387 What Is The Meaning Of Hx In Medical Terms when utilized in the context of medical imaging reports, “hx” refers to a patient’s medical history. 128 rows find definitions of medical abbreviations commonly found in health records. a list of common medical abbreviations and medical acronyms to help you understand entries in the medical notes. 144 rows meaning h: Meaning of hx medical term. In. What Is The Meaning Of Hx In Medical Terms.
From github.com
GitHub hyperextended/hx_medical Medical System built for ox_core What Is The Meaning Of Hx In Medical Terms If you do not know an. a list of common medical abbreviations and medical acronyms to help you understand entries in the medical notes. Histamine or its receptors (if with subscripts) hemagglutinin: 144 rows meaning h: when utilized in the context of medical imaging reports, “hx” refers to a patient’s medical history. looking for online definition. What Is The Meaning Of Hx In Medical Terms.