Colorado Springs Property Deeds . Union blvd), colorado springs, colorado. A legal document transferring ownership of a piece of property from one owner to another. 8830 n union blvd (research pkwy & the department of real estate services acquires and disposes of real property and easements, processes revocable. 10k+ visitors in the past month this office is where you go to be issued a marriage license, search for land records and deeds, title your vehicle,. whether you’re buying, selling, or refinancing a property in colorado springs, colorado, having access to your deed ensures you.
from www.falconco.com
A legal document transferring ownership of a piece of property from one owner to another. whether you’re buying, selling, or refinancing a property in colorado springs, colorado, having access to your deed ensures you. the department of real estate services acquires and disposes of real property and easements, processes revocable. this office is where you go to be issued a marriage license, search for land records and deeds, title your vehicle,. 8830 n union blvd (research pkwy & 10k+ visitors in the past month Union blvd), colorado springs, colorado.
Colorado Springs Property Management, Colorado Springs Property
Colorado Springs Property Deeds whether you’re buying, selling, or refinancing a property in colorado springs, colorado, having access to your deed ensures you. 8830 n union blvd (research pkwy & A legal document transferring ownership of a piece of property from one owner to another. 10k+ visitors in the past month Union blvd), colorado springs, colorado. whether you’re buying, selling, or refinancing a property in colorado springs, colorado, having access to your deed ensures you. the department of real estate services acquires and disposes of real property and easements, processes revocable. this office is where you go to be issued a marriage license, search for land records and deeds, title your vehicle,.
From www.callcornerstone.com
Colorado Springs Property Management, Colorado Springs Property Colorado Springs Property Deeds the department of real estate services acquires and disposes of real property and easements, processes revocable. Union blvd), colorado springs, colorado. this office is where you go to be issued a marriage license, search for land records and deeds, title your vehicle,. 8830 n union blvd (research pkwy & A legal document transferring ownership of a piece. Colorado Springs Property Deeds.
From www.uslegalforms.com
Colorado Springs Colorado Grant Deed Trust to a Trust US Legal Forms Colorado Springs Property Deeds 8830 n union blvd (research pkwy & whether you’re buying, selling, or refinancing a property in colorado springs, colorado, having access to your deed ensures you. the department of real estate services acquires and disposes of real property and easements, processes revocable. this office is where you go to be issued a marriage license, search for. Colorado Springs Property Deeds.
From www.pinterest.com
Colorado Springs, CO Real Estate & Homes for Sale Colorado Springs Property Deeds the department of real estate services acquires and disposes of real property and easements, processes revocable. whether you’re buying, selling, or refinancing a property in colorado springs, colorado, having access to your deed ensures you. A legal document transferring ownership of a piece of property from one owner to another. this office is where you go to. Colorado Springs Property Deeds.
From www.metrobrokersonline.com
Colorado Springs, CO Colorado Springs Property Deeds this office is where you go to be issued a marriage license, search for land records and deeds, title your vehicle,. 8830 n union blvd (research pkwy & the department of real estate services acquires and disposes of real property and easements, processes revocable. Union blvd), colorado springs, colorado. whether you’re buying, selling, or refinancing a. Colorado Springs Property Deeds.
From www.uslegalforms.com
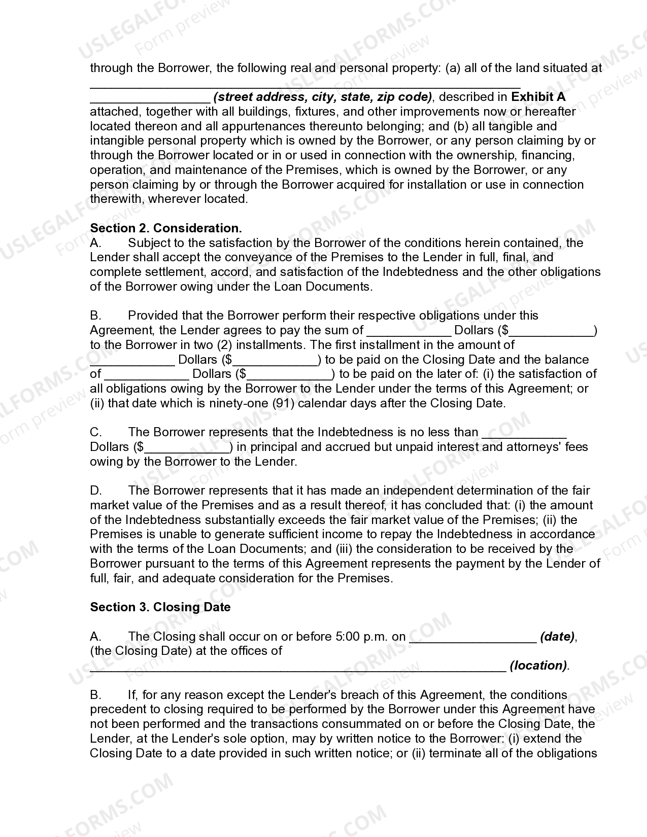
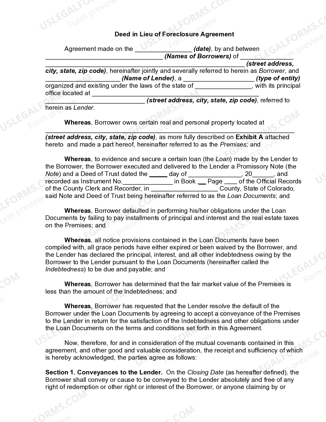
Colorado Springs Colorado Deed in Lieu of Foreclosure Agreement US Colorado Springs Property Deeds A legal document transferring ownership of a piece of property from one owner to another. 10k+ visitors in the past month the department of real estate services acquires and disposes of real property and easements, processes revocable. this office is where you go to be issued a marriage license, search for land records and deeds, title your vehicle,.. Colorado Springs Property Deeds.
From www.coloradospringspropertymanagers.co
6 Best Property Managers in Colorado Springs Colorado Springs Property Deeds whether you’re buying, selling, or refinancing a property in colorado springs, colorado, having access to your deed ensures you. 10k+ visitors in the past month the department of real estate services acquires and disposes of real property and easements, processes revocable. this office is where you go to be issued a marriage license, search for land records. Colorado Springs Property Deeds.
From www.uslegalforms.com
Colorado Springs Colorado Decedent's Estate Inventory US Legal Forms Colorado Springs Property Deeds A legal document transferring ownership of a piece of property from one owner to another. Union blvd), colorado springs, colorado. whether you’re buying, selling, or refinancing a property in colorado springs, colorado, having access to your deed ensures you. 8830 n union blvd (research pkwy & this office is where you go to be issued a marriage. Colorado Springs Property Deeds.
From us.firenews.video
Why are Colorado Springs' property valuations so high and how can you Colorado Springs Property Deeds whether you’re buying, selling, or refinancing a property in colorado springs, colorado, having access to your deed ensures you. Union blvd), colorado springs, colorado. the department of real estate services acquires and disposes of real property and easements, processes revocable. A legal document transferring ownership of a piece of property from one owner to another. 10k+ visitors in. Colorado Springs Property Deeds.
From www.propertymanagement-coloradosprings.com
Colorado Springs Property Management Insights for 2024 Colorado Springs Property Deeds 10k+ visitors in the past month whether you’re buying, selling, or refinancing a property in colorado springs, colorado, having access to your deed ensures you. 8830 n union blvd (research pkwy & the department of real estate services acquires and disposes of real property and easements, processes revocable. A legal document transferring ownership of a piece of. Colorado Springs Property Deeds.
From www.falconco.com
Colorado Springs Property Management, Colorado Springs Property Colorado Springs Property Deeds the department of real estate services acquires and disposes of real property and easements, processes revocable. this office is where you go to be issued a marriage license, search for land records and deeds, title your vehicle,. whether you’re buying, selling, or refinancing a property in colorado springs, colorado, having access to your deed ensures you. . Colorado Springs Property Deeds.
From www.propertymanagement-coloradosprings.com
Colorado Springs Property Management Services Muldoon Associates Colorado Springs Property Deeds 8830 n union blvd (research pkwy & 10k+ visitors in the past month A legal document transferring ownership of a piece of property from one owner to another. Union blvd), colorado springs, colorado. whether you’re buying, selling, or refinancing a property in colorado springs, colorado, having access to your deed ensures you. this office is where you. Colorado Springs Property Deeds.
From www.uslegalforms.com
Colorado Springs Colorado Deed in Lieu of Foreclosure Agreement US Colorado Springs Property Deeds A legal document transferring ownership of a piece of property from one owner to another. this office is where you go to be issued a marriage license, search for land records and deeds, title your vehicle,. 10k+ visitors in the past month the department of real estate services acquires and disposes of real property and easements, processes revocable.. Colorado Springs Property Deeds.
From johnsonlgroup.com
Colorado Springs Property Division Lawyer Colorado Springs Property Deeds this office is where you go to be issued a marriage license, search for land records and deeds, title your vehicle,. Union blvd), colorado springs, colorado. whether you’re buying, selling, or refinancing a property in colorado springs, colorado, having access to your deed ensures you. 8830 n union blvd (research pkwy & the department of real. Colorado Springs Property Deeds.
From www.uslegalforms.com
Colorado Springs Colorado Deed in Lieu of Foreclosure Agreement US Colorado Springs Property Deeds 10k+ visitors in the past month whether you’re buying, selling, or refinancing a property in colorado springs, colorado, having access to your deed ensures you. this office is where you go to be issued a marriage license, search for land records and deeds, title your vehicle,. the department of real estate services acquires and disposes of real. Colorado Springs Property Deeds.
From www.propertymanagement-coloradosprings.com
Colorado Springs Property Management in El Paso and Pueblo Counties Colorado Springs Property Deeds 8830 n union blvd (research pkwy & A legal document transferring ownership of a piece of property from one owner to another. Union blvd), colorado springs, colorado. whether you’re buying, selling, or refinancing a property in colorado springs, colorado, having access to your deed ensures you. this office is where you go to be issued a marriage. Colorado Springs Property Deeds.
From www.proadvantagepm.com
Colorado Springs Property Management, Colorado Springs Property Colorado Springs Property Deeds A legal document transferring ownership of a piece of property from one owner to another. Union blvd), colorado springs, colorado. 8830 n union blvd (research pkwy & whether you’re buying, selling, or refinancing a property in colorado springs, colorado, having access to your deed ensures you. this office is where you go to be issued a marriage. Colorado Springs Property Deeds.
From www.uslegalforms.com
Colorado Springs Colorado Promissory Note for Deed of Trust US Legal Colorado Springs Property Deeds A legal document transferring ownership of a piece of property from one owner to another. this office is where you go to be issued a marriage license, search for land records and deeds, title your vehicle,. 10k+ visitors in the past month 8830 n union blvd (research pkwy & the department of real estate services acquires and. Colorado Springs Property Deeds.
From www.uslegalforms.com
Colorado Springs Colorado Deed of Trust Due on Transfer Credit Colorado Springs Property Deeds the department of real estate services acquires and disposes of real property and easements, processes revocable. Union blvd), colorado springs, colorado. this office is where you go to be issued a marriage license, search for land records and deeds, title your vehicle,. A legal document transferring ownership of a piece of property from one owner to another. . Colorado Springs Property Deeds.
From www.callcornerstone.com
Colorado Springs Property Management, Colorado Springs Property Colorado Springs Property Deeds the department of real estate services acquires and disposes of real property and easements, processes revocable. 8830 n union blvd (research pkwy & Union blvd), colorado springs, colorado. whether you’re buying, selling, or refinancing a property in colorado springs, colorado, having access to your deed ensures you. this office is where you go to be issued. Colorado Springs Property Deeds.
From www.uslegalforms.com
Colorado Springs Colorado Quitclaim Deed from Limited Liability Company Colorado Springs Property Deeds A legal document transferring ownership of a piece of property from one owner to another. 8830 n union blvd (research pkwy & the department of real estate services acquires and disposes of real property and easements, processes revocable. this office is where you go to be issued a marriage license, search for land records and deeds, title. Colorado Springs Property Deeds.
From www.propertymanagement-coloradosprings.com
Colorado Springs Property Management Services Muldoon Associates Colorado Springs Property Deeds 8830 n union blvd (research pkwy & this office is where you go to be issued a marriage license, search for land records and deeds, title your vehicle,. the department of real estate services acquires and disposes of real property and easements, processes revocable. Union blvd), colorado springs, colorado. whether you’re buying, selling, or refinancing a. Colorado Springs Property Deeds.
From www.coloradospringsproperty.management
Colorado Springs Property Management, Colorado Springs Property Colorado Springs Property Deeds Union blvd), colorado springs, colorado. 8830 n union blvd (research pkwy & 10k+ visitors in the past month the department of real estate services acquires and disposes of real property and easements, processes revocable. whether you’re buying, selling, or refinancing a property in colorado springs, colorado, having access to your deed ensures you. this office is. Colorado Springs Property Deeds.
From www.propertymanagementincoloradosprings.com
Colorado Springs Property Management and Property Managers, Colorado Colorado Springs Property Deeds A legal document transferring ownership of a piece of property from one owner to another. the department of real estate services acquires and disposes of real property and easements, processes revocable. 8830 n union blvd (research pkwy & whether you’re buying, selling, or refinancing a property in colorado springs, colorado, having access to your deed ensures you.. Colorado Springs Property Deeds.
From www.uslegalforms.com
Colorado Springs Colorado Deed in Lieu of Foreclosure Agreement US Colorado Springs Property Deeds A legal document transferring ownership of a piece of property from one owner to another. this office is where you go to be issued a marriage license, search for land records and deeds, title your vehicle,. Union blvd), colorado springs, colorado. 8830 n union blvd (research pkwy & 10k+ visitors in the past month the department of. Colorado Springs Property Deeds.
From www.selleygroup.com
17374 Pond View Place Colorado Springs Selley Group Real Estate, LLC Colorado Springs Property Deeds whether you’re buying, selling, or refinancing a property in colorado springs, colorado, having access to your deed ensures you. this office is where you go to be issued a marriage license, search for land records and deeds, title your vehicle,. the department of real estate services acquires and disposes of real property and easements, processes revocable. . Colorado Springs Property Deeds.
From christinecallender.com
Colorado Springs Property Tax Valuations 2023 Christine Callender Colorado Springs Property Deeds 10k+ visitors in the past month whether you’re buying, selling, or refinancing a property in colorado springs, colorado, having access to your deed ensures you. this office is where you go to be issued a marriage license, search for land records and deeds, title your vehicle,. Union blvd), colorado springs, colorado. 8830 n union blvd (research pkwy. Colorado Springs Property Deeds.
From www.milestoneres.com
Colorado Springs Property Management, Colorado Springs Property Colorado Springs Property Deeds 10k+ visitors in the past month Union blvd), colorado springs, colorado. the department of real estate services acquires and disposes of real property and easements, processes revocable. 8830 n union blvd (research pkwy & this office is where you go to be issued a marriage license, search for land records and deeds, title your vehicle,. A legal. Colorado Springs Property Deeds.
From birdeye.com
All County® Colorado Springs Property Management, CRMC 460 Reviews Colorado Springs Property Deeds Union blvd), colorado springs, colorado. 8830 n union blvd (research pkwy & the department of real estate services acquires and disposes of real property and easements, processes revocable. whether you’re buying, selling, or refinancing a property in colorado springs, colorado, having access to your deed ensures you. A legal document transferring ownership of a piece of property. Colorado Springs Property Deeds.
From www.coloradospringsproperty.management
Colorado Springs Property Management, Colorado Springs Property Colorado Springs Property Deeds whether you’re buying, selling, or refinancing a property in colorado springs, colorado, having access to your deed ensures you. the department of real estate services acquires and disposes of real property and easements, processes revocable. Union blvd), colorado springs, colorado. A legal document transferring ownership of a piece of property from one owner to another. this office. Colorado Springs Property Deeds.
From jwilsonlawoffice.com
Colorado Springs Property Division Lawyer Experienced Firm Colorado Springs Property Deeds whether you’re buying, selling, or refinancing a property in colorado springs, colorado, having access to your deed ensures you. Union blvd), colorado springs, colorado. A legal document transferring ownership of a piece of property from one owner to another. the department of real estate services acquires and disposes of real property and easements, processes revocable. 8830 n. Colorado Springs Property Deeds.
From www.propertymanagement.com
The Best Property Management Companies in Colorado Springs, Colorado of Colorado Springs Property Deeds this office is where you go to be issued a marriage license, search for land records and deeds, title your vehicle,. 8830 n union blvd (research pkwy & Union blvd), colorado springs, colorado. the department of real estate services acquires and disposes of real property and easements, processes revocable. 10k+ visitors in the past month A legal. Colorado Springs Property Deeds.
From www.thevillabook.com
The Premier Colorado Springs Property Management The Villa Book Colorado Springs Property Deeds 10k+ visitors in the past month 8830 n union blvd (research pkwy & this office is where you go to be issued a marriage license, search for land records and deeds, title your vehicle,. the department of real estate services acquires and disposes of real property and easements, processes revocable. whether you’re buying, selling, or refinancing. Colorado Springs Property Deeds.
From www.uslegalforms.com
Colorado Springs Colorado Deed in Lieu of Foreclosure Agreement US Colorado Springs Property Deeds 10k+ visitors in the past month A legal document transferring ownership of a piece of property from one owner to another. the department of real estate services acquires and disposes of real property and easements, processes revocable. this office is where you go to be issued a marriage license, search for land records and deeds, title your vehicle,.. Colorado Springs Property Deeds.
From www.propertymanagement-coloradosprings.com
Colorado Springs Property Management Services Muldoon Associates Colorado Springs Property Deeds Union blvd), colorado springs, colorado. the department of real estate services acquires and disposes of real property and easements, processes revocable. this office is where you go to be issued a marriage license, search for land records and deeds, title your vehicle,. 8830 n union blvd (research pkwy & 10k+ visitors in the past month whether. Colorado Springs Property Deeds.
From www.homeriver.com
Colorado Springs Property Management HomeRiver Group's Premier Services Colorado Springs Property Deeds whether you’re buying, selling, or refinancing a property in colorado springs, colorado, having access to your deed ensures you. A legal document transferring ownership of a piece of property from one owner to another. this office is where you go to be issued a marriage license, search for land records and deeds, title your vehicle,. Union blvd), colorado. Colorado Springs Property Deeds.