A String Is Under Tension So That . Speed of a wave on a string under tension. Here is the tension formula in physics and how to find tension in a. A standing wave is produced on a string under a tension of 70.0 n by two sinusoidal transverse waves that are identical, but moving in opposite directions. Interactive simulation of a string under tension. To see how the speed of a wave on a string depends on the tension and the linear density, consider a pulse sent down a taut string (). Length of a string of density ρ and young’s modulus y under tension is increased by 1 n times of its original length. Tension appears in a string when an external force acts on it. Wave speed on a string under tension. A string is under tension so that its length is increased by `1//n` times its original length. The ratio of fundamental frequency of. Note that the vertical dimension is magnified to be able to see the deflection of the. A string is under tension so that its length is increased by (1/n) times its original length. The string is fixed at [latex]. The speed of a pulse or wave on a string under tension can be found with the equation \[|v| = \sqrt{\frac{f_{t}}{\mu}} \label{16.8}\] where \(f_t\) is the tension in the string and \(µ\) is the mass per length of the string. The ratio of fundamental frequency of.
from www.chegg.com
Wave speed on a string under tension. Length of a string of density ρ and young’s modulus y under tension is increased by 1 n times of its original length. The ratio of fundamental frequency of. Interactive simulation of a string under tension. Speed of a wave on a string under tension. Here is the tension formula in physics and how to find tension in a. A standing wave is produced on a string under a tension of 70.0 n by two sinusoidal transverse waves that are identical, but moving in opposite directions. The string is fixed at [latex]. Note that the vertical dimension is magnified to be able to see the deflection of the. A string is under tension so that its length is increased by (1/n) times its original length.
Solved Question 1 5 pts A string of mass m is under tension,
A String Is Under Tension So That The string is fixed at [latex]. Wave speed on a string under tension. The speed of a pulse or wave on a string under tension can be found with the equation \[|v| = \sqrt{\frac{f_{t}}{\mu}} \label{16.8}\] where \(f_t\) is the tension in the string and \(µ\) is the mass per length of the string. Tension appears in a string when an external force acts on it. Interactive simulation of a string under tension. A standing wave is produced on a string under a tension of 70.0 n by two sinusoidal transverse waves that are identical, but moving in opposite directions. The string is fixed at [latex]. A string is under tension so that its length is increased by (1/n) times its original length. The ratio of fundamental frequency of. Note that the vertical dimension is magnified to be able to see the deflection of the. Speed of a wave on a string under tension. Length of a string of density ρ and young’s modulus y under tension is increased by 1 n times of its original length. The ratio of fundamental frequency of. A string is under tension so that its length is increased by `1//n` times its original length. To see how the speed of a wave on a string depends on the tension and the linear density, consider a pulse sent down a taut string (). Here is the tension formula in physics and how to find tension in a.
From www.youtube.com
A sinusoidal wave travels along a string under tension. Figure \( 1652 \) gives the slopes alon A String Is Under Tension So That The ratio of fundamental frequency of. Speed of a wave on a string under tension. A standing wave is produced on a string under a tension of 70.0 n by two sinusoidal transverse waves that are identical, but moving in opposite directions. A string is under tension so that its length is increased by (1/n) times its original length. The. A String Is Under Tension So That.
From quizlet.com
A string under tension \tau _ { i } oscillates in Quizlet A String Is Under Tension So That Wave speed on a string under tension. Length of a string of density ρ and young’s modulus y under tension is increased by 1 n times of its original length. A string is under tension so that its length is increased by (1/n) times its original length. A standing wave is produced on a string under a tension of 70.0. A String Is Under Tension So That.
From www.toppr.com
A string is under tension so that its length is increased by 1/n times its original length. The A String Is Under Tension So That A string is under tension so that its length is increased by `1//n` times its original length. The ratio of fundamental frequency of. Length of a string of density ρ and young’s modulus y under tension is increased by 1 n times of its original length. A string is under tension so that its length is increased by (1/n) times. A String Is Under Tension So That.
From byjus.com
A string under tension of 129.6N produces 10beats/s when it is vibrated along with a tuning fork A String Is Under Tension So That A string is under tension so that its length is increased by `1//n` times its original length. Note that the vertical dimension is magnified to be able to see the deflection of the. Interactive simulation of a string under tension. The speed of a pulse or wave on a string under tension can be found with the equation \[|v| =. A String Is Under Tension So That.
From www.alamy.com
Strings under tension hires stock photography and images Alamy A String Is Under Tension So That Note that the vertical dimension is magnified to be able to see the deflection of the. The ratio of fundamental frequency of. The string is fixed at [latex]. A string is under tension so that its length is increased by (1/n) times its original length. Length of a string of density ρ and young’s modulus y under tension is increased. A String Is Under Tension So That.
From www.chegg.com
Solved A vibrating string 46.0cm long is under a tension A String Is Under Tension So That The speed of a pulse or wave on a string under tension can be found with the equation \[|v| = \sqrt{\frac{f_{t}}{\mu}} \label{16.8}\] where \(f_t\) is the tension in the string and \(µ\) is the mass per length of the string. The ratio of fundamental frequency of. The ratio of fundamental frequency of. Speed of a wave on a string under. A String Is Under Tension So That.
From www.youtube.com
Waves Transverse Waves on a String. Level 2, Example 2 YouTube A String Is Under Tension So That Here is the tension formula in physics and how to find tension in a. Speed of a wave on a string under tension. A string is under tension so that its length is increased by (1/n) times its original length. The speed of a pulse or wave on a string under tension can be found with the equation \[|v| =. A String Is Under Tension So That.
From www.youtube.com
Tension in 3 Strings Knotted together Tension Force Physics (CP5) YouTube A String Is Under Tension So That Here is the tension formula in physics and how to find tension in a. To see how the speed of a wave on a string depends on the tension and the linear density, consider a pulse sent down a taut string (). A string is under tension so that its length is increased by `1//n` times its original length. Tension. A String Is Under Tension So That.
From physics.stackexchange.com
newtonian mechanics Where would a string being pulled from both sides snap and why? Physics A String Is Under Tension So That Length of a string of density ρ and young’s modulus y under tension is increased by 1 n times of its original length. A standing wave is produced on a string under a tension of 70.0 n by two sinusoidal transverse waves that are identical, but moving in opposite directions. Interactive simulation of a string under tension. A string is. A String Is Under Tension So That.
From www.toppr.com
A string is under tension so that its length is increased by 1n times its original length. The A String Is Under Tension So That To see how the speed of a wave on a string depends on the tension and the linear density, consider a pulse sent down a taut string (). The string is fixed at [latex]. A standing wave is produced on a string under a tension of 70.0 n by two sinusoidal transverse waves that are identical, but moving in opposite. A String Is Under Tension So That.
From www.numerade.com
SOLVED When a certain string is under tension T, the speed of a wave in the string is v. What A String Is Under Tension So That The ratio of fundamental frequency of. A string is under tension so that its length is increased by (1/n) times its original length. A standing wave is produced on a string under a tension of 70.0 n by two sinusoidal transverse waves that are identical, but moving in opposite directions. Note that the vertical dimension is magnified to be able. A String Is Under Tension So That.
From www.toppr.com
A string is stretched so that its length is increased by 1/eta of its original length. The ratio A String Is Under Tension So That Tension appears in a string when an external force acts on it. A string is under tension so that its length is increased by `1//n` times its original length. The speed of a pulse or wave on a string under tension can be found with the equation \[|v| = \sqrt{\frac{f_{t}}{\mu}} \label{16.8}\] where \(f_t\) is the tension in the string and. A String Is Under Tension So That.
From quizlet.com
A string under tension \tau _ { i } oscillates in Quizlet A String Is Under Tension So That Tension appears in a string when an external force acts on it. A standing wave is produced on a string under a tension of 70.0 n by two sinusoidal transverse waves that are identical, but moving in opposite directions. The ratio of fundamental frequency of. A string is under tension so that its length is increased by (1/n) times its. A String Is Under Tension So That.
From mungfali.com
String Tension Formula A String Is Under Tension So That The ratio of fundamental frequency of. Length of a string of density ρ and young’s modulus y under tension is increased by 1 n times of its original length. A string is under tension so that its length is increased by (1/n) times its original length. Interactive simulation of a string under tension. A string is under tension so that. A String Is Under Tension So That.
From www.chegg.com
Solved 1. A string is under tension F. The string carries A String Is Under Tension So That The string is fixed at [latex]. To see how the speed of a wave on a string depends on the tension and the linear density, consider a pulse sent down a taut string (). The speed of a pulse or wave on a string under tension can be found with the equation \[|v| = \sqrt{\frac{f_{t}}{\mu}} \label{16.8}\] where \(f_t\) is the. A String Is Under Tension So That.
From www.numerade.com
SOLVED A nylon guitar string is under a tension of 160 N and has a mass per unit length value A String Is Under Tension So That Tension appears in a string when an external force acts on it. The ratio of fundamental frequency of. Wave speed on a string under tension. The string is fixed at [latex]. Here is the tension formula in physics and how to find tension in a. To see how the speed of a wave on a string depends on the tension. A String Is Under Tension So That.
From www.toppr.com
A string is under tension so that its length is increased by 1n times its original length. The A String Is Under Tension So That To see how the speed of a wave on a string depends on the tension and the linear density, consider a pulse sent down a taut string (). A standing wave is produced on a string under a tension of 70.0 n by two sinusoidal transverse waves that are identical, but moving in opposite directions. Length of a string of. A String Is Under Tension So That.
From www.storyofmathematics.com
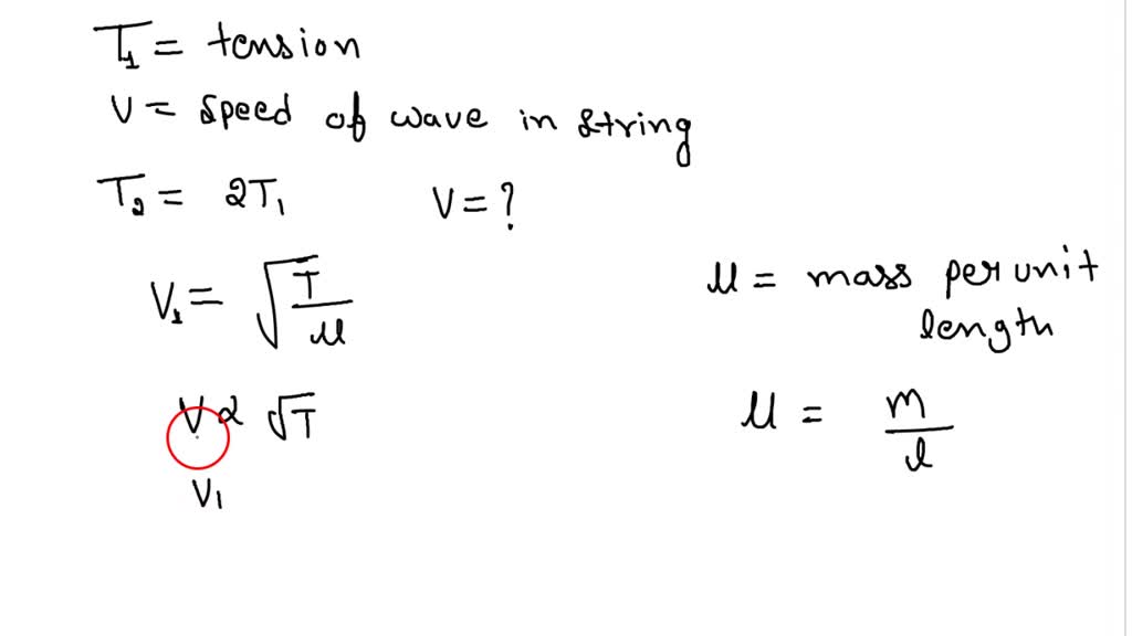
The wave speed on a string under tension is 200 m/s. What is the speed if he tension is doubled A String Is Under Tension So That The speed of a pulse or wave on a string under tension can be found with the equation \[|v| = \sqrt{\frac{f_{t}}{\mu}} \label{16.8}\] where \(f_t\) is the tension in the string and \(µ\) is the mass per length of the string. A string is under tension so that its length is increased by `1//n` times its original length. The ratio of. A String Is Under Tension So That.
From www.numerade.com
SOLVED A guitar string 30 cm long resonates in its fundamental to a frequency 2 points of 250 A String Is Under Tension So That The speed of a pulse or wave on a string under tension can be found with the equation \[|v| = \sqrt{\frac{f_{t}}{\mu}} \label{16.8}\] where \(f_t\) is the tension in the string and \(µ\) is the mass per length of the string. Tension appears in a string when an external force acts on it. A standing wave is produced on a string. A String Is Under Tension So That.
From www.chegg.com
Solved A 27 g string is under 21 N of tension. A pulse A String Is Under Tension So That Wave speed on a string under tension. The ratio of fundamental frequency of. The ratio of fundamental frequency of. Note that the vertical dimension is magnified to be able to see the deflection of the. The speed of a pulse or wave on a string under tension can be found with the equation \[|v| = \sqrt{\frac{f_{t}}{\mu}} \label{16.8}\] where \(f_t\) is. A String Is Under Tension So That.
From dreamcivil.com
Difference Between Tension and Compression Force Dream Civil A String Is Under Tension So That A standing wave is produced on a string under a tension of 70.0 n by two sinusoidal transverse waves that are identical, but moving in opposite directions. Wave speed on a string under tension. A string is under tension so that its length is increased by (1/n) times its original length. The ratio of fundamental frequency of. Note that the. A String Is Under Tension So That.
From www.chegg.com
Solved A 25 g string is under 18 N of tension. A pulse A String Is Under Tension So That The ratio of fundamental frequency of. The ratio of fundamental frequency of. To see how the speed of a wave on a string depends on the tension and the linear density, consider a pulse sent down a taut string (). Wave speed on a string under tension. The speed of a pulse or wave on a string under tension can. A String Is Under Tension So That.
From kunduz.com
[ANSWERED] Problem 17 A string is under tension so that its length is Kunduz A String Is Under Tension So That The string is fixed at [latex]. Speed of a wave on a string under tension. The ratio of fundamental frequency of. Length of a string of density ρ and young’s modulus y under tension is increased by 1 n times of its original length. Tension appears in a string when an external force acts on it. A standing wave is. A String Is Under Tension So That.
From www.toppr.com
A string is under tension so that its length is increased by 1/n times its original length. The A String Is Under Tension So That Here is the tension formula in physics and how to find tension in a. The ratio of fundamental frequency of. The ratio of fundamental frequency of. The speed of a pulse or wave on a string under tension can be found with the equation \[|v| = \sqrt{\frac{f_{t}}{\mu}} \label{16.8}\] where \(f_t\) is the tension in the string and \(µ\) is the. A String Is Under Tension So That.
From www.youtube.com
A string under tension \( \tau_{i} \) oscillates in the third harmonic at frequency \( f_{3 A String Is Under Tension So That The ratio of fundamental frequency of. Here is the tension formula in physics and how to find tension in a. Speed of a wave on a string under tension. The string is fixed at [latex]. Tension appears in a string when an external force acts on it. Interactive simulation of a string under tension. The ratio of fundamental frequency of.. A String Is Under Tension So That.
From www.chegg.com
Solved 1. A string is under tension F1 = 3.00 N. The linear A String Is Under Tension So That Wave speed on a string under tension. The string is fixed at [latex]. The ratio of fundamental frequency of. The ratio of fundamental frequency of. A standing wave is produced on a string under a tension of 70.0 n by two sinusoidal transverse waves that are identical, but moving in opposite directions. Speed of a wave on a string under. A String Is Under Tension So That.
From brainly.in
A string is under tension so that its length is increased by 1/n times it's original length.The A String Is Under Tension So That The ratio of fundamental frequency of. The ratio of fundamental frequency of. A string is under tension so that its length is increased by `1//n` times its original length. Wave speed on a string under tension. Length of a string of density ρ and young’s modulus y under tension is increased by 1 n times of its original length. Speed. A String Is Under Tension So That.
From www.chegg.com
Solved 5. A string is stretched so that it is under tension A String Is Under Tension So That Length of a string of density ρ and young’s modulus y under tension is increased by 1 n times of its original length. The ratio of fundamental frequency of. The string is fixed at [latex]. To see how the speed of a wave on a string depends on the tension and the linear density, consider a pulse sent down a. A String Is Under Tension So That.
From www.chegg.com
Solved A vibrating string 45.0cm long is under a tension of A String Is Under Tension So That To see how the speed of a wave on a string depends on the tension and the linear density, consider a pulse sent down a taut string (). Tension appears in a string when an external force acts on it. Wave speed on a string under tension. Note that the vertical dimension is magnified to be able to see the. A String Is Under Tension So That.
From www.chegg.com
Solved A string of mass m is under tension, and the speed of A String Is Under Tension So That The speed of a pulse or wave on a string under tension can be found with the equation \[|v| = \sqrt{\frac{f_{t}}{\mu}} \label{16.8}\] where \(f_t\) is the tension in the string and \(µ\) is the mass per length of the string. Note that the vertical dimension is magnified to be able to see the deflection of the. A string is under. A String Is Under Tension So That.
From www.doubtnut.com
A string is under tension so that its length is increased by 1//n time A String Is Under Tension So That A standing wave is produced on a string under a tension of 70.0 n by two sinusoidal transverse waves that are identical, but moving in opposite directions. A string is under tension so that its length is increased by `1//n` times its original length. A string is under tension so that its length is increased by (1/n) times its original. A String Is Under Tension So That.
From www.chegg.com
Solved 1. A string is under tension F. The string carries A String Is Under Tension So That Here is the tension formula in physics and how to find tension in a. A standing wave is produced on a string under a tension of 70.0 n by two sinusoidal transverse waves that are identical, but moving in opposite directions. A string is under tension so that its length is increased by (1/n) times its original length. The ratio. A String Is Under Tension So That.
From www.chegg.com
Solved Question 1 5 pts A string of mass m is under tension, A String Is Under Tension So That Note that the vertical dimension is magnified to be able to see the deflection of the. The ratio of fundamental frequency of. A string is under tension so that its length is increased by `1//n` times its original length. Length of a string of density ρ and young’s modulus y under tension is increased by 1 n times of its. A String Is Under Tension So That.
From www.chegg.com
Solved Calculate the tension the string is under. A student A String Is Under Tension So That To see how the speed of a wave on a string depends on the tension and the linear density, consider a pulse sent down a taut string (). A string is under tension so that its length is increased by `1//n` times its original length. Wave speed on a string under tension. A standing wave is produced on a string. A String Is Under Tension So That.
From www.chegg.com
Solved 1. A string is under tension F. A theoretical profile A String Is Under Tension So That The ratio of fundamental frequency of. A string is under tension so that its length is increased by (1/n) times its original length. Speed of a wave on a string under tension. The ratio of fundamental frequency of. Interactive simulation of a string under tension. The string is fixed at [latex]. To see how the speed of a wave on. A String Is Under Tension So That.