Business Hl Paper 1 . = available in language indicated, = available in english only. Business management exam papers are also being updated in 2024 to test the four new major concepts. Paper titles in blue denote a link to the relevant listening. Hl = higher level, sl = standard level. The ten mark question was very weird. Practice online ib style questions for business management hl paper 1 & paper 2: The content that question is asking for. You can find the new business management sl full course and assessment brief, and the business management hl full brief. Paper 1 was awful, the questions were all weird and i donโt think i did well. In the past papers section, you will find full worked solutions to the questions asked on previous ib. ๐ prediction exams and may 2024 past paper solutions are now available! = available in language indicated, = available in english only. Ib business management hl (higher level). Revision notes for the hl ib business management syllabus, written by the business management experts at save my exams.
from www.scribd.com
Business management exam papers are also being updated in 2024 to test the four new major concepts. Paper titles in blue denote a link to the relevant listening. Ib business management hl (higher level). The content that question is asking for. You can find the new business management sl full course and assessment brief, and the business management hl full brief. = available in language indicated, = available in english only. = available in language indicated, = available in english only. Revision notes for the hl ib business management syllabus, written by the business management experts at save my exams. Paper 1 was awful, the questions were all weird and i donโt think i did well. Hl = higher level, sl = standard level.
IBDP English B HL Paper 1 Sample EssayDiary Entry PDF Foods
Business Hl Paper 1 Hl = higher level, sl = standard level. The ten mark question was very weird. Paper 1 was awful, the questions were all weird and i donโt think i did well. The content that question is asking for. Business management exam papers are also being updated in 2024 to test the four new major concepts. = available in language indicated, = available in english only. Ib business management hl (higher level). Hl = higher level, sl = standard level. In the past papers section, you will find full worked solutions to the questions asked on previous ib. You can find the new business management sl full course and assessment brief, and the business management hl full brief. Revision notes for the hl ib business management syllabus, written by the business management experts at save my exams. Paper titles in blue denote a link to the relevant listening. = available in language indicated, = available in english only. ๐ prediction exams and may 2024 past paper solutions are now available! Practice online ib style questions for business management hl paper 1 & paper 2:
From www.iitianacademy.com
IB DP Business Management Unit 2 Human resource management 2.1 Business Hl Paper 1 Revision notes for the hl ib business management syllabus, written by the business management experts at save my exams. Ib business management hl (higher level). The ten mark question was very weird. = available in language indicated, = available in english only. In the past papers section, you will find full worked solutions to the questions asked on previous ib.. Business Hl Paper 1.
From www.studocu.com
Business HL IA Essay Sample 4 Strategy based Business management Business Hl Paper 1 Revision notes for the hl ib business management syllabus, written by the business management experts at save my exams. In the past papers section, you will find full worked solutions to the questions asked on previous ib. ๐ prediction exams and may 2024 past paper solutions are now available! = available in language indicated, = available in english only. Paper. Business Hl Paper 1.
From www.studypool.com
SOLUTION Paper 1 hl Studypool Business Hl Paper 1 The content that question is asking for. Paper 1 was awful, the questions were all weird and i donโt think i did well. Practice online ib style questions for business management hl paper 1 & paper 2: You can find the new business management sl full course and assessment brief, and the business management hl full brief. ๐ prediction exams. Business Hl Paper 1.
From www.studypool.com
SOLUTION Ibdp economics hl paper 1 sample answers Studypool Business Hl Paper 1 The content that question is asking for. In the past papers section, you will find full worked solutions to the questions asked on previous ib. Paper titles in blue denote a link to the relevant listening. You can find the new business management sl full course and assessment brief, and the business management hl full brief. Revision notes for the. Business Hl Paper 1.
From www.iitianacademy.com
IB DP Business Management HL Paper 1 IB Style Practice Questions with Business Hl Paper 1 ๐ prediction exams and may 2024 past paper solutions are now available! = available in language indicated, = available in english only. Paper 1 was awful, the questions were all weird and i donโt think i did well. The ten mark question was very weird. Practice online ib style questions for business management hl paper 1 & paper 2: In. Business Hl Paper 1.
From www.scribd.com
hl_paper_1_practice_paper_1 PDF Unemployment Economies Business Hl Paper 1 Business management exam papers are also being updated in 2024 to test the four new major concepts. Hl = higher level, sl = standard level. ๐ prediction exams and may 2024 past paper solutions are now available! Ib business management hl (higher level). = available in language indicated, = available in english only. In the past papers section, you will. Business Hl Paper 1.
From edcoexampapers.ie
LC BUSINESS HL Edco Exam Papers Business Hl Paper 1 Hl = higher level, sl = standard level. Revision notes for the hl ib business management syllabus, written by the business management experts at save my exams. ๐ prediction exams and may 2024 past paper solutions are now available! = available in language indicated, = available in english only. = available in language indicated, = available in english only. Paper. Business Hl Paper 1.
From docs.google.com
Ib english hl paper 1 example essay Google Docs Business Hl Paper 1 In the past papers section, you will find full worked solutions to the questions asked on previous ib. The ten mark question was very weird. Paper titles in blue denote a link to the relevant listening. Ib business management hl (higher level). You can find the new business management sl full course and assessment brief, and the business management hl. Business Hl Paper 1.
From www.scribd.com
ENG HL Paper 1 Memo March 2010 PDF Question English Language Business Hl Paper 1 = available in language indicated, = available in english only. ๐ prediction exams and may 2024 past paper solutions are now available! In the past papers section, you will find full worked solutions to the questions asked on previous ib. The content that question is asking for. Paper titles in blue denote a link to the relevant listening. Revision notes. Business Hl Paper 1.
From www.studypool.com
SOLUTION 2022 2023 2 hl paper 1 Studypool Business Hl Paper 1 The ten mark question was very weird. = available in language indicated, = available in english only. The content that question is asking for. = available in language indicated, = available in english only. Ib business management hl (higher level). In the past papers section, you will find full worked solutions to the questions asked on previous ib. Hl =. Business Hl Paper 1.
From www.youtube.com
IB business management HL and SL Paper 1 May 2022 exam YouTube Business Hl Paper 1 = available in language indicated, = available in english only. Revision notes for the hl ib business management syllabus, written by the business management experts at save my exams. = available in language indicated, = available in english only. Hl = higher level, sl = standard level. ๐ prediction exams and may 2024 past paper solutions are now available! Paper. Business Hl Paper 1.
From www.studocu.com
Skandvig terra plc ib business management hl paper 1 mock Answers M23 Business Hl Paper 1 Revision notes for the hl ib business management syllabus, written by the business management experts at save my exams. The ten mark question was very weird. Paper 1 was awful, the questions were all weird and i donโt think i did well. Business management exam papers are also being updated in 2024 to test the four new major concepts. Ib. Business Hl Paper 1.
From www.studypool.com
SOLUTION English a literature hl paper 1 en Studypool Business Hl Paper 1 The ten mark question was very weird. The content that question is asking for. In the past papers section, you will find full worked solutions to the questions asked on previous ib. You can find the new business management sl full course and assessment brief, and the business management hl full brief. = available in language indicated, = available in. Business Hl Paper 1.
From teacherrk.com
How to get 7 on Business Management Paper 1? Business Hl Paper 1 The ten mark question was very weird. In the past papers section, you will find full worked solutions to the questions asked on previous ib. Revision notes for the hl ib business management syllabus, written by the business management experts at save my exams. Hl = higher level, sl = standard level. Business management exam papers are also being updated. Business Hl Paper 1.
From www.studocu.com
HL Paper 1 Guided Textual Analysis Booklet and Literature for the IB Business Hl Paper 1 Ib business management hl (higher level). The ten mark question was very weird. The content that question is asking for. ๐ prediction exams and may 2024 past paper solutions are now available! Paper 1 was awful, the questions were all weird and i donโt think i did well. Paper titles in blue denote a link to the relevant listening. Revision. Business Hl Paper 1.
From studylib.net
business management paper 1 hl Business Hl Paper 1 = available in language indicated, = available in english only. ๐ prediction exams and may 2024 past paper solutions are now available! Hl = higher level, sl = standard level. Revision notes for the hl ib business management syllabus, written by the business management experts at save my exams. = available in language indicated, = available in english only. You. Business Hl Paper 1.
From www.studocu.com
Business management paper 1 HL Business management Higher level Paper Business Hl Paper 1 Paper 1 was awful, the questions were all weird and i donโt think i did well. Revision notes for the hl ib business management syllabus, written by the business management experts at save my exams. Hl = higher level, sl = standard level. Practice online ib style questions for business management hl paper 1 & paper 2: Paper titles in. Business Hl Paper 1.
From www.studocu.com
HLpaper 1 ppq HL Paper 1 Which functions are carried out by all Business Hl Paper 1 = available in language indicated, = available in english only. The ten mark question was very weird. Practice online ib style questions for business management hl paper 1 & paper 2: Ib business management hl (higher level). ๐ prediction exams and may 2024 past paper solutions are now available! Revision notes for the hl ib business management syllabus, written by. Business Hl Paper 1.
From www.studocu.com
Business and management HL paper 1 IB DIPLOMA PROGRAMME PROGRAMME DU Business Hl Paper 1 You can find the new business management sl full course and assessment brief, and the business management hl full brief. ๐ prediction exams and may 2024 past paper solutions are now available! The content that question is asking for. Paper 1 was awful, the questions were all weird and i donโt think i did well. In the past papers section,. Business Hl Paper 1.
From www.scribd.com
HL Paper 1 Productive HL Rubric 2020 A4 Size PDF Business Hl Paper 1 You can find the new business management sl full course and assessment brief, and the business management hl full brief. Paper titles in blue denote a link to the relevant listening. The ten mark question was very weird. In the past papers section, you will find full worked solutions to the questions asked on previous ib. The content that question. Business Hl Paper 1.
From www.studocu.com
Tips for HL Paper 1 Technical experience Tips for Paper 1 starter Business Hl Paper 1 ๐ prediction exams and may 2024 past paper solutions are now available! Practice online ib style questions for business management hl paper 1 & paper 2: The ten mark question was very weird. The content that question is asking for. You can find the new business management sl full course and assessment brief, and the business management hl full brief.. Business Hl Paper 1.
From www.scribd.com
Mock HL Paper 1 (Written Production) PDF Human Communication Business Hl Paper 1 = available in language indicated, = available in english only. The content that question is asking for. ๐ prediction exams and may 2024 past paper solutions are now available! Paper 1 was awful, the questions were all weird and i donโt think i did well. Hl = higher level, sl = standard level. You can find the new business management. Business Hl Paper 1.
From www.studocu.com
EnglishGR10HLPaper1 TIME 2 HOURS MARKS 70 This question Business Hl Paper 1 Paper 1 was awful, the questions were all weird and i donโt think i did well. Paper titles in blue denote a link to the relevant listening. Practice online ib style questions for business management hl paper 1 & paper 2: ๐ prediction exams and may 2024 past paper solutions are now available! Ib business management hl (higher level). In. Business Hl Paper 1.
From www.slideserve.com
PPT HL Paper 1 PowerPoint Presentation, free download ID2260776 Business Hl Paper 1 ๐ prediction exams and may 2024 past paper solutions are now available! Paper 1 was awful, the questions were all weird and i donโt think i did well. Business management exam papers are also being updated in 2024 to test the four new major concepts. The content that question is asking for. The ten mark question was very weird. =. Business Hl Paper 1.
From www.scribd.com
English HL Paper 1 Analysis Notes PDF Business Hl Paper 1 Business management exam papers are also being updated in 2024 to test the four new major concepts. Practice online ib style questions for business management hl paper 1 & paper 2: Ib business management hl (higher level). The content that question is asking for. Hl = higher level, sl = standard level. In the past papers section, you will find. Business Hl Paper 1.
From studylib.net
Business management paper 1 HL markscheme Business Hl Paper 1 You can find the new business management sl full course and assessment brief, and the business management hl full brief. Ib business management hl (higher level). Paper titles in blue denote a link to the relevant listening. The ten mark question was very weird. = available in language indicated, = available in english only. Revision notes for the hl ib. Business Hl Paper 1.
From www.scribd.com
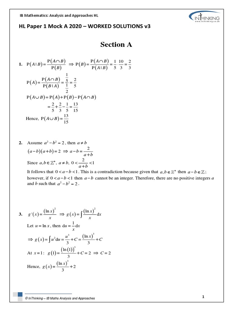
Section A HL Paper 1 Mock A 2020 WORKED SOLUTIONS v3 PDF Business Hl Paper 1 Ib business management hl (higher level). Revision notes for the hl ib business management syllabus, written by the business management experts at save my exams. The ten mark question was very weird. Paper titles in blue denote a link to the relevant listening. Paper 1 was awful, the questions were all weird and i donโt think i did well. ๐. Business Hl Paper 1.
From www.reddit.com
BM HL Paper 1 in a nutshell r/IBO Business Hl Paper 1 In the past papers section, you will find full worked solutions to the questions asked on previous ib. = available in language indicated, = available in english only. Paper titles in blue denote a link to the relevant listening. The ten mark question was very weird. The content that question is asking for. ๐ prediction exams and may 2024 past. Business Hl Paper 1.
From www.iitianacademy.com
IB DP Business Management Business management toolkit Circular Business Hl Paper 1 = available in language indicated, = available in english only. You can find the new business management sl full course and assessment brief, and the business management hl full brief. The content that question is asking for. The ten mark question was very weird. Practice online ib style questions for business management hl paper 1 & paper 2: ๐ prediction. Business Hl Paper 1.
From www.youtube.com
IB Economics Paper 1 Tips & Guidance (HL & SL) YouTube Business Hl Paper 1 You can find the new business management sl full course and assessment brief, and the business management hl full brief. The ten mark question was very weird. The content that question is asking for. Practice online ib style questions for business management hl paper 1 & paper 2: Paper 1 was awful, the questions were all weird and i donโt. Business Hl Paper 1.
From studylib.net
Model Essay Answer May 2007 HL Paper 1 Q1 Business Hl Paper 1 Hl = higher level, sl = standard level. Paper titles in blue denote a link to the relevant listening. In the past papers section, you will find full worked solutions to the questions asked on previous ib. = available in language indicated, = available in english only. The content that question is asking for. Business management exam papers are also. Business Hl Paper 1.
From www.scribd.com
IBDP English B HL Paper 1 Sample EssayDiary Entry PDF Foods Business Hl Paper 1 Paper 1 was awful, the questions were all weird and i donโt think i did well. = available in language indicated, = available in english only. Business management exam papers are also being updated in 2024 to test the four new major concepts. Practice online ib style questions for business management hl paper 1 & paper 2: Ib business management. Business Hl Paper 1.
From www.youtube.com
IB HL Paper 1 (Writing) How to decode the question? YouTube Business Hl Paper 1 The ten mark question was very weird. = available in language indicated, = available in english only. You can find the new business management sl full course and assessment brief, and the business management hl full brief. Hl = higher level, sl = standard level. Paper 1 was awful, the questions were all weird and i donโt think i did. Business Hl Paper 1.
From www.studocu.com
HLpaper 1 Topic 11 higher level paper 1 international baccalaureate Business Hl Paper 1 Ib business management hl (higher level). In the past papers section, you will find full worked solutions to the questions asked on previous ib. The ten mark question was very weird. Business management exam papers are also being updated in 2024 to test the four new major concepts. = available in language indicated, = available in english only. ๐ prediction. Business Hl Paper 1.
From www.studypool.com
SOLUTION Ibdp economics hl paper 1 sample answers Studypool Business Hl Paper 1 Ib business management hl (higher level). Paper 1 was awful, the questions were all weird and i donโt think i did well. Business management exam papers are also being updated in 2024 to test the four new major concepts. Paper titles in blue denote a link to the relevant listening. In the past papers section, you will find full worked. Business Hl Paper 1.