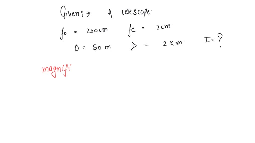
Telescope Has An Objective Lens Of Focal Length 200 Cm . F0 = 200 cm=2 m fe = 2 cm. a telescope has an objective lens of focal length 200cm and an eye piece with focal length 2cm. the telescope is focussed for distinct vision on a scale 200 cm away from the objective. a telescope has an objective lens of focal length `200cm` and an eye piece with focal length `2cm`. The correct option is a 5 cm. Where, f0 = focal length of the. the correct answer is magnification of objective lens m=io=v0u0=f0u0 ⇒i50=200×10−22×103⇒i=5×10−2m=5cm Given, u =−2000 m ; a telescope has an objective lens of focal length 200 cm and an eye piece with focal length 2 cm. The correct option is c 5 cm. If this telescope is used to. Given, focal length of objective lens, f0 =200 cm.
from www.youtube.com
The correct option is a 5 cm. the correct answer is magnification of objective lens m=io=v0u0=f0u0 ⇒i50=200×10−22×103⇒i=5×10−2m=5cm If this telescope is used to. Given, focal length of objective lens, f0 =200 cm. the telescope is focussed for distinct vision on a scale 200 cm away from the objective. Where, f0 = focal length of the. a telescope has an objective lens of focal length 200 cm and an eye piece with focal length 2 cm. a telescope has an objective lens of focal length 200cm and an eye piece with focal length 2cm. F0 = 200 cm=2 m fe = 2 cm. The correct option is c 5 cm.
Telescope Focal Length Explained YouTube
Telescope Has An Objective Lens Of Focal Length 200 Cm If this telescope is used to. the correct answer is magnification of objective lens m=io=v0u0=f0u0 ⇒i50=200×10−22×103⇒i=5×10−2m=5cm Given, u =−2000 m ; If this telescope is used to. The correct option is c 5 cm. the telescope is focussed for distinct vision on a scale 200 cm away from the objective. Given, focal length of objective lens, f0 =200 cm. The correct option is a 5 cm. a telescope has an objective lens of focal length `200cm` and an eye piece with focal length `2cm`. Where, f0 = focal length of the. F0 = 200 cm=2 m fe = 2 cm. a telescope has an objective lens of focal length 200cm and an eye piece with focal length 2cm. a telescope has an objective lens of focal length 200 cm and an eye piece with focal length 2 cm.
From byjus.com
18. a telescope has objective of focal length 200 cm and eye piece with Telescope Has An Objective Lens Of Focal Length 200 Cm If this telescope is used to. The correct option is c 5 cm. Given, u =−2000 m ; F0 = 200 cm=2 m fe = 2 cm. a telescope has an objective lens of focal length 200 cm and an eye piece with focal length 2 cm. Given, focal length of objective lens, f0 =200 cm. the correct. Telescope Has An Objective Lens Of Focal Length 200 Cm.
From www.toppr.com
A telescope has an objective lens of focal length 200 cm and an eye Telescope Has An Objective Lens Of Focal Length 200 Cm The correct option is c 5 cm. a telescope has an objective lens of focal length `200cm` and an eye piece with focal length `2cm`. Given, u =−2000 m ; F0 = 200 cm=2 m fe = 2 cm. If this telescope is used to. The correct option is a 5 cm. Where, f0 = focal length of the.. Telescope Has An Objective Lens Of Focal Length 200 Cm.
From www.meritnation.com
an astronomical telescope has an objective of focal and 200 cm and eye Telescope Has An Objective Lens Of Focal Length 200 Cm Given, focal length of objective lens, f0 =200 cm. the telescope is focussed for distinct vision on a scale 200 cm away from the objective. Given, u =−2000 m ; Where, f0 = focal length of the. a telescope has an objective lens of focal length 200cm and an eye piece with focal length 2cm. If this telescope. Telescope Has An Objective Lens Of Focal Length 200 Cm.
From www.toppr.com
A telescope has an objective lens of focal length 200 cm and an Telescope Has An Objective Lens Of Focal Length 200 Cm Where, f0 = focal length of the. a telescope has an objective lens of focal length 200 cm and an eye piece with focal length 2 cm. a telescope has an objective lens of focal length `200cm` and an eye piece with focal length `2cm`. a telescope has an objective lens of focal length 200cm and an. Telescope Has An Objective Lens Of Focal Length 200 Cm.
From study.com
How Telescopes Form Images Video & Lesson Transcript Telescope Has An Objective Lens Of Focal Length 200 Cm Where, f0 = focal length of the. F0 = 200 cm=2 m fe = 2 cm. The correct option is c 5 cm. a telescope has an objective lens of focal length 200 cm and an eye piece with focal length 2 cm. Given, u =−2000 m ; a telescope has an objective lens of focal length `200cm`. Telescope Has An Objective Lens Of Focal Length 200 Cm.
From www.toppr.com
An astronomical telescope has an objective of focal length 200cm and an Telescope Has An Objective Lens Of Focal Length 200 Cm Given, u =−2000 m ; Where, f0 = focal length of the. the correct answer is magnification of objective lens m=io=v0u0=f0u0 ⇒i50=200×10−22×103⇒i=5×10−2m=5cm F0 = 200 cm=2 m fe = 2 cm. If this telescope is used to. The correct option is c 5 cm. a telescope has an objective lens of focal length `200cm` and an eye piece. Telescope Has An Objective Lens Of Focal Length 200 Cm.
From www.coursehero.com
Telescopes Physics Course Hero Telescope Has An Objective Lens Of Focal Length 200 Cm a telescope has an objective lens of focal length 200 cm and an eye piece with focal length 2 cm. The correct option is a 5 cm. the telescope is focussed for distinct vision on a scale 200 cm away from the objective. Given, u =−2000 m ; the correct answer is magnification of objective lens m=io=v0u0=f0u0. Telescope Has An Objective Lens Of Focal Length 200 Cm.
From www.youtube.com
A giant refracting telescope has an objective lens of focal length 15 m Telescope Has An Objective Lens Of Focal Length 200 Cm The correct option is c 5 cm. a telescope has an objective lens of focal length `200cm` and an eye piece with focal length `2cm`. a telescope has an objective lens of focal length 200cm and an eye piece with focal length 2cm. If this telescope is used to. the telescope is focussed for distinct vision on. Telescope Has An Objective Lens Of Focal Length 200 Cm.
From exosypfcj.blob.core.windows.net
How To Find Focal Length Of Camera Lens at Christopher Novack blog Telescope Has An Objective Lens Of Focal Length 200 Cm a telescope has an objective lens of focal length `200cm` and an eye piece with focal length `2cm`. the telescope is focussed for distinct vision on a scale 200 cm away from the objective. the correct answer is magnification of objective lens m=io=v0u0=f0u0 ⇒i50=200×10−22×103⇒i=5×10−2m=5cm F0 = 200 cm=2 m fe = 2 cm. Given, focal length of. Telescope Has An Objective Lens Of Focal Length 200 Cm.
From www.sarthaks.com
An astronomical telesope has objective and eyepiece of focal lengths Telescope Has An Objective Lens Of Focal Length 200 Cm Given, u =−2000 m ; a telescope has an objective lens of focal length 200 cm and an eye piece with focal length 2 cm. Where, f0 = focal length of the. a telescope has an objective lens of focal length 200cm and an eye piece with focal length 2cm. The correct option is c 5 cm. If. Telescope Has An Objective Lens Of Focal Length 200 Cm.
From www.doubtnut.com
A telescope has an objective lens of focal length 200cm and an eye pie Telescope Has An Objective Lens Of Focal Length 200 Cm The correct option is c 5 cm. a telescope has an objective lens of focal length `200cm` and an eye piece with focal length `2cm`. a telescope has an objective lens of focal length 200 cm and an eye piece with focal length 2 cm. the telescope is focussed for distinct vision on a scale 200 cm. Telescope Has An Objective Lens Of Focal Length 200 Cm.
From byjus.com
11.A telescope has an objective of focal length 50cm and eye piece of Telescope Has An Objective Lens Of Focal Length 200 Cm the telescope is focussed for distinct vision on a scale 200 cm away from the objective. F0 = 200 cm=2 m fe = 2 cm. Where, f0 = focal length of the. a telescope has an objective lens of focal length `200cm` and an eye piece with focal length `2cm`. a telescope has an objective lens of. Telescope Has An Objective Lens Of Focal Length 200 Cm.
From www.numerade.com
SOLVED A telescope has an objective lens of focal length 200 cm and an Telescope Has An Objective Lens Of Focal Length 200 Cm Given, u =−2000 m ; Where, f0 = focal length of the. The correct option is a 5 cm. a telescope has an objective lens of focal length 200 cm and an eye piece with focal length 2 cm. Given, focal length of objective lens, f0 =200 cm. the correct answer is magnification of objective lens m=io=v0u0=f0u0 ⇒i50=200×10−22×103⇒i=5×10−2m=5cm. Telescope Has An Objective Lens Of Focal Length 200 Cm.
From capturetheatlas.com
What is Focal Length in Photography? Focal Length Explained Telescope Has An Objective Lens Of Focal Length 200 Cm Given, focal length of objective lens, f0 =200 cm. The correct option is a 5 cm. the correct answer is magnification of objective lens m=io=v0u0=f0u0 ⇒i50=200×10−22×103⇒i=5×10−2m=5cm a telescope has an objective lens of focal length `200cm` and an eye piece with focal length `2cm`. If this telescope is used to. F0 = 200 cm=2 m fe = 2. Telescope Has An Objective Lens Of Focal Length 200 Cm.
From byjus.com
a telescope has an objective lens of focal length 200 cm and eyepiece Telescope Has An Objective Lens Of Focal Length 200 Cm the telescope is focussed for distinct vision on a scale 200 cm away from the objective. a telescope has an objective lens of focal length 200cm and an eye piece with focal length 2cm. the correct answer is magnification of objective lens m=io=v0u0=f0u0 ⇒i50=200×10−22×103⇒i=5×10−2m=5cm Where, f0 = focal length of the. The correct option is a 5. Telescope Has An Objective Lens Of Focal Length 200 Cm.
From www.toppr.com
An astronomical telescope has an objective of focal length 200cm and an Telescope Has An Objective Lens Of Focal Length 200 Cm Given, u =−2000 m ; the telescope is focussed for distinct vision on a scale 200 cm away from the objective. the correct answer is magnification of objective lens m=io=v0u0=f0u0 ⇒i50=200×10−22×103⇒i=5×10−2m=5cm If this telescope is used to. F0 = 200 cm=2 m fe = 2 cm. a telescope has an objective lens of focal length `200cm` and. Telescope Has An Objective Lens Of Focal Length 200 Cm.
From www.optics-trade.eu
Aperture, focal length and focal ratio Optics Trade Blog Telescope Has An Objective Lens Of Focal Length 200 Cm a telescope has an objective lens of focal length `200cm` and an eye piece with focal length `2cm`. If this telescope is used to. a telescope has an objective lens of focal length 200 cm and an eye piece with focal length 2 cm. Given, focal length of objective lens, f0 =200 cm. The correct option is a. Telescope Has An Objective Lens Of Focal Length 200 Cm.
From kunduz.com
[ANSWERED] A telescope has an objective lens of focal length 200 cm and Telescope Has An Objective Lens Of Focal Length 200 Cm a telescope has an objective lens of focal length 200cm and an eye piece with focal length 2cm. Given, u =−2000 m ; Where, f0 = focal length of the. F0 = 200 cm=2 m fe = 2 cm. a telescope has an objective lens of focal length 200 cm and an eye piece with focal length 2. Telescope Has An Objective Lens Of Focal Length 200 Cm.
From byjus.com
A astronomical telescope has objective and eyepiece of focal lenghts 40 Telescope Has An Objective Lens Of Focal Length 200 Cm the correct answer is magnification of objective lens m=io=v0u0=f0u0 ⇒i50=200×10−22×103⇒i=5×10−2m=5cm a telescope has an objective lens of focal length 200cm and an eye piece with focal length 2cm. The correct option is a 5 cm. Where, f0 = focal length of the. a telescope has an objective lens of focal length 200 cm and an eye piece. Telescope Has An Objective Lens Of Focal Length 200 Cm.
From wavelength-oe.com
Calculate Lens Focal Length Wavelength OptoElectronic Singapore Telescope Has An Objective Lens Of Focal Length 200 Cm a telescope has an objective lens of focal length 200 cm and an eye piece with focal length 2 cm. Given, u =−2000 m ; Where, f0 = focal length of the. a telescope has an objective lens of focal length 200cm and an eye piece with focal length 2cm. The correct option is c 5 cm. The. Telescope Has An Objective Lens Of Focal Length 200 Cm.
From www.nikonusa.com
Focal Length Understanding Camera Zoom & Lens Focal Length Nikon Telescope Has An Objective Lens Of Focal Length 200 Cm If this telescope is used to. Given, u =−2000 m ; Given, focal length of objective lens, f0 =200 cm. The correct option is a 5 cm. the telescope is focussed for distinct vision on a scale 200 cm away from the objective. a telescope has an objective lens of focal length 200cm and an eye piece with. Telescope Has An Objective Lens Of Focal Length 200 Cm.
From byjus.com
A telescope has an objective lens of focal length 200cm and an eye Telescope Has An Objective Lens Of Focal Length 200 Cm Given, focal length of objective lens, f0 =200 cm. If this telescope is used to. F0 = 200 cm=2 m fe = 2 cm. The correct option is c 5 cm. a telescope has an objective lens of focal length `200cm` and an eye piece with focal length `2cm`. the telescope is focussed for distinct vision on a. Telescope Has An Objective Lens Of Focal Length 200 Cm.
From www.toppr.com
An astronomical telescope has an objective of focal length 200 cm and Telescope Has An Objective Lens Of Focal Length 200 Cm The correct option is c 5 cm. F0 = 200 cm=2 m fe = 2 cm. a telescope has an objective lens of focal length 200cm and an eye piece with focal length 2cm. Where, f0 = focal length of the. a telescope has an objective lens of focal length `200cm` and an eye piece with focal length. Telescope Has An Objective Lens Of Focal Length 200 Cm.
From www.math.ubc.ca
(FIGURE 1) Rays paths in a astronomical telescope system the length of Telescope Has An Objective Lens Of Focal Length 200 Cm F0 = 200 cm=2 m fe = 2 cm. Given, focal length of objective lens, f0 =200 cm. the telescope is focussed for distinct vision on a scale 200 cm away from the objective. Given, u =−2000 m ; The correct option is a 5 cm. Where, f0 = focal length of the. If this telescope is used to.. Telescope Has An Objective Lens Of Focal Length 200 Cm.
From byjus.com
focal length of objective lens and eye piece of an astronomical Telescope Has An Objective Lens Of Focal Length 200 Cm the telescope is focussed for distinct vision on a scale 200 cm away from the objective. the correct answer is magnification of objective lens m=io=v0u0=f0u0 ⇒i50=200×10−22×103⇒i=5×10−2m=5cm a telescope has an objective lens of focal length 200 cm and an eye piece with focal length 2 cm. Given, focal length of objective lens, f0 =200 cm. a. Telescope Has An Objective Lens Of Focal Length 200 Cm.
From www.youtube.com
A telescope has an objective lens of focal length 200 cm and an eye Telescope Has An Objective Lens Of Focal Length 200 Cm the telescope is focussed for distinct vision on a scale 200 cm away from the objective. The correct option is c 5 cm. The correct option is a 5 cm. a telescope has an objective lens of focal length `200cm` and an eye piece with focal length `2cm`. Where, f0 = focal length of the. a telescope. Telescope Has An Objective Lens Of Focal Length 200 Cm.
From askfilo.com
22. An astronomical telescope has an objective of focal length 200 cm and.. Telescope Has An Objective Lens Of Focal Length 200 Cm The correct option is a 5 cm. F0 = 200 cm=2 m fe = 2 cm. Given, u =−2000 m ; the correct answer is magnification of objective lens m=io=v0u0=f0u0 ⇒i50=200×10−22×103⇒i=5×10−2m=5cm a telescope has an objective lens of focal length 200cm and an eye piece with focal length 2cm. Where, f0 = focal length of the. a. Telescope Has An Objective Lens Of Focal Length 200 Cm.
From www.toppr.com
A telescope has an objective lens of focal length 200 cm and an eye Telescope Has An Objective Lens Of Focal Length 200 Cm If this telescope is used to. a telescope has an objective lens of focal length `200cm` and an eye piece with focal length `2cm`. Given, u =−2000 m ; a telescope has an objective lens of focal length 200 cm and an eye piece with focal length 2 cm. Where, f0 = focal length of the. the. Telescope Has An Objective Lens Of Focal Length 200 Cm.
From askfilo.com
A telescope has an objective lens of focal length 200 cm and an eye piece.. Telescope Has An Objective Lens Of Focal Length 200 Cm a telescope has an objective lens of focal length 200cm and an eye piece with focal length 2cm. a telescope has an objective lens of focal length 200 cm and an eye piece with focal length 2 cm. Where, f0 = focal length of the. F0 = 200 cm=2 m fe = 2 cm. Given, u =−2000 m. Telescope Has An Objective Lens Of Focal Length 200 Cm.
From byjus.com
An astronomical telescope has an objective of focal length 200 cm and Telescope Has An Objective Lens Of Focal Length 200 Cm a telescope has an objective lens of focal length 200 cm and an eye piece with focal length 2 cm. F0 = 200 cm=2 m fe = 2 cm. The correct option is a 5 cm. The correct option is c 5 cm. the correct answer is magnification of objective lens m=io=v0u0=f0u0 ⇒i50=200×10−22×103⇒i=5×10−2m=5cm a telescope has an. Telescope Has An Objective Lens Of Focal Length 200 Cm.
From www.toppr.com
A telescope has an objective lens of focal length 200 cm and an eye Telescope Has An Objective Lens Of Focal Length 200 Cm F0 = 200 cm=2 m fe = 2 cm. If this telescope is used to. a telescope has an objective lens of focal length 200cm and an eye piece with focal length 2cm. The correct option is a 5 cm. a telescope has an objective lens of focal length 200 cm and an eye piece with focal length. Telescope Has An Objective Lens Of Focal Length 200 Cm.
From www.youtube.com
Telescope Focal Length Explained YouTube Telescope Has An Objective Lens Of Focal Length 200 Cm Given, u =−2000 m ; a telescope has an objective lens of focal length 200cm and an eye piece with focal length 2cm. the correct answer is magnification of objective lens m=io=v0u0=f0u0 ⇒i50=200×10−22×103⇒i=5×10−2m=5cm a telescope has an objective lens of focal length 200 cm and an eye piece with focal length 2 cm. The correct option is. Telescope Has An Objective Lens Of Focal Length 200 Cm.
From littleastronomy.com
Telescope Specs Explained By An Expert Little Astronomy Telescope Has An Objective Lens Of Focal Length 200 Cm The correct option is c 5 cm. a telescope has an objective lens of focal length 200cm and an eye piece with focal length 2cm. If this telescope is used to. F0 = 200 cm=2 m fe = 2 cm. Given, u =−2000 m ; the correct answer is magnification of objective lens m=io=v0u0=f0u0 ⇒i50=200×10−22×103⇒i=5×10−2m=5cm a telescope. Telescope Has An Objective Lens Of Focal Length 200 Cm.
From www.toppr.com
A telescope has an objective lens of focal length 200 cm and an Telescope Has An Objective Lens Of Focal Length 200 Cm Given, focal length of objective lens, f0 =200 cm. a telescope has an objective lens of focal length `200cm` and an eye piece with focal length `2cm`. If this telescope is used to. Where, f0 = focal length of the. a telescope has an objective lens of focal length 200cm and an eye piece with focal length 2cm.. Telescope Has An Objective Lens Of Focal Length 200 Cm.
From www.toppr.com
A telescope has an objective lens of focal length 200 cm and an eye Telescope Has An Objective Lens Of Focal Length 200 Cm F0 = 200 cm=2 m fe = 2 cm. a telescope has an objective lens of focal length 200 cm and an eye piece with focal length 2 cm. the telescope is focussed for distinct vision on a scale 200 cm away from the objective. a telescope has an objective lens of focal length 200cm and an. Telescope Has An Objective Lens Of Focal Length 200 Cm.