Electron Configuration For Copper (Cu) Using Noble-Gas Shorthand . It is done by using the symbol of the noble gas in the period above the. It is done by using the symbol of the noble. Copper has an electron configuration of $\ce{[ar] 3d^10 4s^1}$. This electron configuration calculator will instantly show you the distribution of electrons in the orbitals of any periodic element. In order to write the copper electron configuration we first need to know the number of electrons for the cu atom (there are 29 electrons). Because writing the entire electron configuration can become cumbersome, there is a shorthand option. Noble gas notation is a shorthand way of writing electron configurations that uses the symbol of a noble gas to represent a core filled with electrons. Now sometimes the noble state is written as. Because writing the entire electron configuration can become cumbersome, there is a shorthand option. The noble gas configuration gives the noble gas core that occurs before the element on the periodic table and then the electron configuration of the atom’s valence electrons. The symbol of the noble gas is placed in brackets, in this case [ar], which represents the electron configuration of atoms.
from www.coursehero.com
Copper has an electron configuration of $\ce{[ar] 3d^10 4s^1}$. In order to write the copper electron configuration we first need to know the number of electrons for the cu atom (there are 29 electrons). The symbol of the noble gas is placed in brackets, in this case [ar], which represents the electron configuration of atoms. It is done by using the symbol of the noble. Noble gas notation is a shorthand way of writing electron configurations that uses the symbol of a noble gas to represent a core filled with electrons. This electron configuration calculator will instantly show you the distribution of electrons in the orbitals of any periodic element. Now sometimes the noble state is written as. It is done by using the symbol of the noble gas in the period above the. Because writing the entire electron configuration can become cumbersome, there is a shorthand option. The noble gas configuration gives the noble gas core that occurs before the element on the periodic table and then the electron configuration of the atom’s valence electrons.
[Solved] 15. Fill in the electron configuration diagram for the copper
Electron Configuration For Copper (Cu) Using Noble-Gas Shorthand It is done by using the symbol of the noble. It is done by using the symbol of the noble. Copper has an electron configuration of $\ce{[ar] 3d^10 4s^1}$. This electron configuration calculator will instantly show you the distribution of electrons in the orbitals of any periodic element. It is done by using the symbol of the noble gas in the period above the. Now sometimes the noble state is written as. Because writing the entire electron configuration can become cumbersome, there is a shorthand option. In order to write the copper electron configuration we first need to know the number of electrons for the cu atom (there are 29 electrons). The symbol of the noble gas is placed in brackets, in this case [ar], which represents the electron configuration of atoms. Noble gas notation is a shorthand way of writing electron configurations that uses the symbol of a noble gas to represent a core filled with electrons. Because writing the entire electron configuration can become cumbersome, there is a shorthand option. The noble gas configuration gives the noble gas core that occurs before the element on the periodic table and then the electron configuration of the atom’s valence electrons.
From www.coursehero.com
[Solved] 15. Fill in the electron configuration diagram for the copper Electron Configuration For Copper (Cu) Using Noble-Gas Shorthand The noble gas configuration gives the noble gas core that occurs before the element on the periodic table and then the electron configuration of the atom’s valence electrons. The symbol of the noble gas is placed in brackets, in this case [ar], which represents the electron configuration of atoms. Because writing the entire electron configuration can become cumbersome, there is. Electron Configuration For Copper (Cu) Using Noble-Gas Shorthand.
From www.numerade.com
SOLVED Write the ground state electron configuration of Ca using the Electron Configuration For Copper (Cu) Using Noble-Gas Shorthand The symbol of the noble gas is placed in brackets, in this case [ar], which represents the electron configuration of atoms. It is done by using the symbol of the noble gas in the period above the. Noble gas notation is a shorthand way of writing electron configurations that uses the symbol of a noble gas to represent a core. Electron Configuration For Copper (Cu) Using Noble-Gas Shorthand.
From www.coursehero.com
[Solved] Write the noble gas shorthand configurations for the following Electron Configuration For Copper (Cu) Using Noble-Gas Shorthand The noble gas configuration gives the noble gas core that occurs before the element on the periodic table and then the electron configuration of the atom’s valence electrons. The symbol of the noble gas is placed in brackets, in this case [ar], which represents the electron configuration of atoms. In order to write the copper electron configuration we first need. Electron Configuration For Copper (Cu) Using Noble-Gas Shorthand.
From www.nagwa.com
Question Video Identifying the Condensed Electronic Configuration of a Electron Configuration For Copper (Cu) Using Noble-Gas Shorthand Because writing the entire electron configuration can become cumbersome, there is a shorthand option. Noble gas notation is a shorthand way of writing electron configurations that uses the symbol of a noble gas to represent a core filled with electrons. Because writing the entire electron configuration can become cumbersome, there is a shorthand option. Now sometimes the noble state is. Electron Configuration For Copper (Cu) Using Noble-Gas Shorthand.
From vigglegiggle.weebly.com
Electrons and their Arrangement in Orbitals and in Ions vigglegiggle Electron Configuration For Copper (Cu) Using Noble-Gas Shorthand Because writing the entire electron configuration can become cumbersome, there is a shorthand option. Noble gas notation is a shorthand way of writing electron configurations that uses the symbol of a noble gas to represent a core filled with electrons. Copper has an electron configuration of $\ce{[ar] 3d^10 4s^1}$. The noble gas configuration gives the noble gas core that occurs. Electron Configuration For Copper (Cu) Using Noble-Gas Shorthand.
From sciencenotes.org
Noble Gas Configuration Shorthand Electron Configuration Electron Configuration For Copper (Cu) Using Noble-Gas Shorthand Because writing the entire electron configuration can become cumbersome, there is a shorthand option. Copper has an electron configuration of $\ce{[ar] 3d^10 4s^1}$. Now sometimes the noble state is written as. The symbol of the noble gas is placed in brackets, in this case [ar], which represents the electron configuration of atoms. It is done by using the symbol of. Electron Configuration For Copper (Cu) Using Noble-Gas Shorthand.
From www.numerade.com
SOLVED Write the complete electron configuration for the copper(H) ion Electron Configuration For Copper (Cu) Using Noble-Gas Shorthand This electron configuration calculator will instantly show you the distribution of electrons in the orbitals of any periodic element. Because writing the entire electron configuration can become cumbersome, there is a shorthand option. Now sometimes the noble state is written as. Noble gas notation is a shorthand way of writing electron configurations that uses the symbol of a noble gas. Electron Configuration For Copper (Cu) Using Noble-Gas Shorthand.
From www.numerade.com
SOLVED Enter the electron configuration for Se using noble gas Electron Configuration For Copper (Cu) Using Noble-Gas Shorthand Noble gas notation is a shorthand way of writing electron configurations that uses the symbol of a noble gas to represent a core filled with electrons. Now sometimes the noble state is written as. Copper has an electron configuration of $\ce{[ar] 3d^10 4s^1}$. In order to write the copper electron configuration we first need to know the number of electrons. Electron Configuration For Copper (Cu) Using Noble-Gas Shorthand.
From www.youtube.com
Write a noble gas or shorthand electron configuration arsenic YouTube Electron Configuration For Copper (Cu) Using Noble-Gas Shorthand Noble gas notation is a shorthand way of writing electron configurations that uses the symbol of a noble gas to represent a core filled with electrons. Copper has an electron configuration of $\ce{[ar] 3d^10 4s^1}$. Because writing the entire electron configuration can become cumbersome, there is a shorthand option. Because writing the entire electron configuration can become cumbersome, there is. Electron Configuration For Copper (Cu) Using Noble-Gas Shorthand.
From periodictable.me
Copper Electron Configuration (Cu) with Orbital Diagram Electron Configuration For Copper (Cu) Using Noble-Gas Shorthand It is done by using the symbol of the noble. This electron configuration calculator will instantly show you the distribution of electrons in the orbitals of any periodic element. It is done by using the symbol of the noble gas in the period above the. Noble gas notation is a shorthand way of writing electron configurations that uses the symbol. Electron Configuration For Copper (Cu) Using Noble-Gas Shorthand.
From www.chegg.com
Solved Write the complete electron configuration for the Electron Configuration For Copper (Cu) Using Noble-Gas Shorthand Copper has an electron configuration of $\ce{[ar] 3d^10 4s^1}$. It is done by using the symbol of the noble. The noble gas configuration gives the noble gas core that occurs before the element on the periodic table and then the electron configuration of the atom’s valence electrons. It is done by using the symbol of the noble gas in the. Electron Configuration For Copper (Cu) Using Noble-Gas Shorthand.
From www.numerade.com
SOLVED Using SPECTROSCOPIC notation write the complete electron Electron Configuration For Copper (Cu) Using Noble-Gas Shorthand Noble gas notation is a shorthand way of writing electron configurations that uses the symbol of a noble gas to represent a core filled with electrons. The symbol of the noble gas is placed in brackets, in this case [ar], which represents the electron configuration of atoms. Because writing the entire electron configuration can become cumbersome, there is a shorthand. Electron Configuration For Copper (Cu) Using Noble-Gas Shorthand.
From www.numerade.com
SOLVED 'Rewrite the following electron configurations using noble gas Electron Configuration For Copper (Cu) Using Noble-Gas Shorthand It is done by using the symbol of the noble. This electron configuration calculator will instantly show you the distribution of electrons in the orbitals of any periodic element. Now sometimes the noble state is written as. Copper has an electron configuration of $\ce{[ar] 3d^10 4s^1}$. Because writing the entire electron configuration can become cumbersome, there is a shorthand option.. Electron Configuration For Copper (Cu) Using Noble-Gas Shorthand.
From animalia-life.club
Noble Gases Electron Configuration Electron Configuration For Copper (Cu) Using Noble-Gas Shorthand Noble gas notation is a shorthand way of writing electron configurations that uses the symbol of a noble gas to represent a core filled with electrons. The noble gas configuration gives the noble gas core that occurs before the element on the periodic table and then the electron configuration of the atom’s valence electrons. Because writing the entire electron configuration. Electron Configuration For Copper (Cu) Using Noble-Gas Shorthand.
From www.youtube.com
CHM121 Noble Gas Shorthand valence electrons and ion electron Electron Configuration For Copper (Cu) Using Noble-Gas Shorthand Copper has an electron configuration of $\ce{[ar] 3d^10 4s^1}$. The noble gas configuration gives the noble gas core that occurs before the element on the periodic table and then the electron configuration of the atom’s valence electrons. Because writing the entire electron configuration can become cumbersome, there is a shorthand option. It is done by using the symbol of the. Electron Configuration For Copper (Cu) Using Noble-Gas Shorthand.
From www.showme.com
Noble Gas Electron Configurations Electron Configuration, High School Electron Configuration For Copper (Cu) Using Noble-Gas Shorthand The noble gas configuration gives the noble gas core that occurs before the element on the periodic table and then the electron configuration of the atom’s valence electrons. Because writing the entire electron configuration can become cumbersome, there is a shorthand option. It is done by using the symbol of the noble. It is done by using the symbol of. Electron Configuration For Copper (Cu) Using Noble-Gas Shorthand.
From www.wikihow.com
How to Write a Noble Gas Configuration for Atoms of an Element Electron Configuration For Copper (Cu) Using Noble-Gas Shorthand Noble gas notation is a shorthand way of writing electron configurations that uses the symbol of a noble gas to represent a core filled with electrons. The symbol of the noble gas is placed in brackets, in this case [ar], which represents the electron configuration of atoms. Because writing the entire electron configuration can become cumbersome, there is a shorthand. Electron Configuration For Copper (Cu) Using Noble-Gas Shorthand.
From sciencenotes.org
List of Electron Configurations of Elements Electron Configuration For Copper (Cu) Using Noble-Gas Shorthand It is done by using the symbol of the noble. Because writing the entire electron configuration can become cumbersome, there is a shorthand option. Now sometimes the noble state is written as. The noble gas configuration gives the noble gas core that occurs before the element on the periodic table and then the electron configuration of the atom’s valence electrons.. Electron Configuration For Copper (Cu) Using Noble-Gas Shorthand.
From worksheetlistas.z19.web.core.windows.net
Noble Gas Configuration Practice Questions Electron Configuration For Copper (Cu) Using Noble-Gas Shorthand Because writing the entire electron configuration can become cumbersome, there is a shorthand option. In order to write the copper electron configuration we first need to know the number of electrons for the cu atom (there are 29 electrons). This electron configuration calculator will instantly show you the distribution of electrons in the orbitals of any periodic element. Noble gas. Electron Configuration For Copper (Cu) Using Noble-Gas Shorthand.
From general.chemistrysteps.com
Orbital Diagrams Chemistry Steps Electron Configuration For Copper (Cu) Using Noble-Gas Shorthand Copper has an electron configuration of $\ce{[ar] 3d^10 4s^1}$. The symbol of the noble gas is placed in brackets, in this case [ar], which represents the electron configuration of atoms. It is done by using the symbol of the noble gas in the period above the. It is done by using the symbol of the noble. Now sometimes the noble. Electron Configuration For Copper (Cu) Using Noble-Gas Shorthand.
From animalia-life.club
Noble Gases Electron Configuration Electron Configuration For Copper (Cu) Using Noble-Gas Shorthand The symbol of the noble gas is placed in brackets, in this case [ar], which represents the electron configuration of atoms. Noble gas notation is a shorthand way of writing electron configurations that uses the symbol of a noble gas to represent a core filled with electrons. Copper has an electron configuration of $\ce{[ar] 3d^10 4s^1}$. Because writing the entire. Electron Configuration For Copper (Cu) Using Noble-Gas Shorthand.
From www.numerade.com
SOLVED Enter the electron configuration for Se using noble gas Electron Configuration For Copper (Cu) Using Noble-Gas Shorthand The symbol of the noble gas is placed in brackets, in this case [ar], which represents the electron configuration of atoms. This electron configuration calculator will instantly show you the distribution of electrons in the orbitals of any periodic element. It is done by using the symbol of the noble. The noble gas configuration gives the noble gas core that. Electron Configuration For Copper (Cu) Using Noble-Gas Shorthand.
From www.numerade.com
SOLVED Give the groundstate electron configuration for silicon (Si Electron Configuration For Copper (Cu) Using Noble-Gas Shorthand This electron configuration calculator will instantly show you the distribution of electrons in the orbitals of any periodic element. Because writing the entire electron configuration can become cumbersome, there is a shorthand option. Now sometimes the noble state is written as. Because writing the entire electron configuration can become cumbersome, there is a shorthand option. It is done by using. Electron Configuration For Copper (Cu) Using Noble-Gas Shorthand.
From www.numerade.com
SOLVED what is the electron configuration for Bi using noble gas Electron Configuration For Copper (Cu) Using Noble-Gas Shorthand Because writing the entire electron configuration can become cumbersome, there is a shorthand option. It is done by using the symbol of the noble. The symbol of the noble gas is placed in brackets, in this case [ar], which represents the electron configuration of atoms. In order to write the copper electron configuration we first need to know the number. Electron Configuration For Copper (Cu) Using Noble-Gas Shorthand.
From www.numerade.com
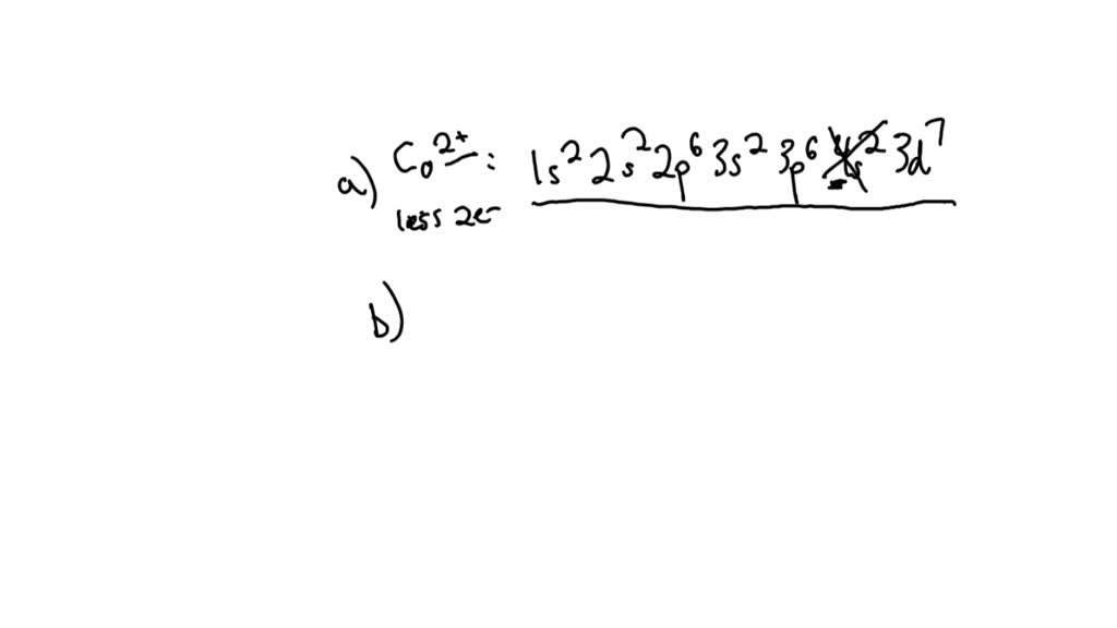
SOLVED a) Write the complete electron configuration for the cobalt(II Electron Configuration For Copper (Cu) Using Noble-Gas Shorthand The noble gas configuration gives the noble gas core that occurs before the element on the periodic table and then the electron configuration of the atom’s valence electrons. In order to write the copper electron configuration we first need to know the number of electrons for the cu atom (there are 29 electrons). Copper has an electron configuration of $\ce{[ar]. Electron Configuration For Copper (Cu) Using Noble-Gas Shorthand.
From www.wikihow.com
How to Write a Noble Gas Configuration for Atoms of an Element Electron Configuration For Copper (Cu) Using Noble-Gas Shorthand Copper has an electron configuration of $\ce{[ar] 3d^10 4s^1}$. The symbol of the noble gas is placed in brackets, in this case [ar], which represents the electron configuration of atoms. It is done by using the symbol of the noble. Because writing the entire electron configuration can become cumbersome, there is a shorthand option. It is done by using the. Electron Configuration For Copper (Cu) Using Noble-Gas Shorthand.
From animalia-life.club
Noble Gases Electron Configuration Electron Configuration For Copper (Cu) Using Noble-Gas Shorthand Noble gas notation is a shorthand way of writing electron configurations that uses the symbol of a noble gas to represent a core filled with electrons. Because writing the entire electron configuration can become cumbersome, there is a shorthand option. This electron configuration calculator will instantly show you the distribution of electrons in the orbitals of any periodic element. In. Electron Configuration For Copper (Cu) Using Noble-Gas Shorthand.
From www.youtube.com
Electron Configuration Using Noble Gas Shorthand YouTube Electron Configuration For Copper (Cu) Using Noble-Gas Shorthand Now sometimes the noble state is written as. Noble gas notation is a shorthand way of writing electron configurations that uses the symbol of a noble gas to represent a core filled with electrons. The symbol of the noble gas is placed in brackets, in this case [ar], which represents the electron configuration of atoms. The noble gas configuration gives. Electron Configuration For Copper (Cu) Using Noble-Gas Shorthand.
From topblogtenz.com
Abbreviated electron configuration calculator [Noble gas] Electron Configuration For Copper (Cu) Using Noble-Gas Shorthand In order to write the copper electron configuration we first need to know the number of electrons for the cu atom (there are 29 electrons). Because writing the entire electron configuration can become cumbersome, there is a shorthand option. Now sometimes the noble state is written as. The symbol of the noble gas is placed in brackets, in this case. Electron Configuration For Copper (Cu) Using Noble-Gas Shorthand.
From mungfali.com
Noble Gas Electron Configuration Chart Electron Configuration For Copper (Cu) Using Noble-Gas Shorthand It is done by using the symbol of the noble. The noble gas configuration gives the noble gas core that occurs before the element on the periodic table and then the electron configuration of the atom’s valence electrons. In order to write the copper electron configuration we first need to know the number of electrons for the cu atom (there. Electron Configuration For Copper (Cu) Using Noble-Gas Shorthand.
From www.numerade.com
SOLVEDConsider the noble gas xenon. (a) Write the electron Electron Configuration For Copper (Cu) Using Noble-Gas Shorthand Because writing the entire electron configuration can become cumbersome, there is a shorthand option. Copper has an electron configuration of $\ce{[ar] 3d^10 4s^1}$. It is done by using the symbol of the noble gas in the period above the. Because writing the entire electron configuration can become cumbersome, there is a shorthand option. The symbol of the noble gas is. Electron Configuration For Copper (Cu) Using Noble-Gas Shorthand.
From www.numerade.com
SOLVED Write the electron configuration for barium. Use the noble gas Electron Configuration For Copper (Cu) Using Noble-Gas Shorthand It is done by using the symbol of the noble. Noble gas notation is a shorthand way of writing electron configurations that uses the symbol of a noble gas to represent a core filled with electrons. Now sometimes the noble state is written as. Because writing the entire electron configuration can become cumbersome, there is a shorthand option. It is. Electron Configuration For Copper (Cu) Using Noble-Gas Shorthand.
From www.numerade.com
SOLVED Using the noble gas shorthand notation, write the electron Electron Configuration For Copper (Cu) Using Noble-Gas Shorthand In order to write the copper electron configuration we first need to know the number of electrons for the cu atom (there are 29 electrons). Because writing the entire electron configuration can become cumbersome, there is a shorthand option. It is done by using the symbol of the noble. It is done by using the symbol of the noble gas. Electron Configuration For Copper (Cu) Using Noble-Gas Shorthand.
From animalia-life.club
Noble Gases Electron Configuration Electron Configuration For Copper (Cu) Using Noble-Gas Shorthand Copper has an electron configuration of $\ce{[ar] 3d^10 4s^1}$. Now sometimes the noble state is written as. It is done by using the symbol of the noble. Noble gas notation is a shorthand way of writing electron configurations that uses the symbol of a noble gas to represent a core filled with electrons. Because writing the entire electron configuration can. Electron Configuration For Copper (Cu) Using Noble-Gas Shorthand.
From www.chegg.com
Solved Write the complete electron configuration for the Electron Configuration For Copper (Cu) Using Noble-Gas Shorthand The noble gas configuration gives the noble gas core that occurs before the element on the periodic table and then the electron configuration of the atom’s valence electrons. Because writing the entire electron configuration can become cumbersome, there is a shorthand option. This electron configuration calculator will instantly show you the distribution of electrons in the orbitals of any periodic. Electron Configuration For Copper (Cu) Using Noble-Gas Shorthand.