What Is Economically Weaker Section Certificate . The economically weaker section (ews) form a part of the indian society that belongs to an unreserved category, who have. In pursuance of insertion of clauses 15 (6) and 16. The documents required for an ews. An ews certificate (economically weaker section certificate) is an official document issued by the indian government to. What are the ews certificate documents? An ews certificate is proof that a citizen belongs to the economically weaker section (ews). Apply online for economically weaker section (ews) certificate. The full form of the ews certificate is the economically weaker section certificate.
from www.cheggindia.com
Apply online for economically weaker section (ews) certificate. What are the ews certificate documents? In pursuance of insertion of clauses 15 (6) and 16. The documents required for an ews. The full form of the ews certificate is the economically weaker section certificate. The economically weaker section (ews) form a part of the indian society that belongs to an unreserved category, who have. An ews certificate is proof that a citizen belongs to the economically weaker section (ews). An ews certificate (economically weaker section certificate) is an official document issued by the indian government to.
EWS Full Form Economically Weaker Section
What Is Economically Weaker Section Certificate What are the ews certificate documents? The documents required for an ews. An ews certificate (economically weaker section certificate) is an official document issued by the indian government to. Apply online for economically weaker section (ews) certificate. The full form of the ews certificate is the economically weaker section certificate. In pursuance of insertion of clauses 15 (6) and 16. An ews certificate is proof that a citizen belongs to the economically weaker section (ews). The economically weaker section (ews) form a part of the indian society that belongs to an unreserved category, who have. What are the ews certificate documents?
From www.youtube.com
New EWS Certificate Criteria Proposed by Centre Govt Economically What Is Economically Weaker Section Certificate An ews certificate is proof that a citizen belongs to the economically weaker section (ews). What are the ews certificate documents? In pursuance of insertion of clauses 15 (6) and 16. The full form of the ews certificate is the economically weaker section certificate. Apply online for economically weaker section (ews) certificate. An ews certificate (economically weaker section certificate) is. What Is Economically Weaker Section Certificate.
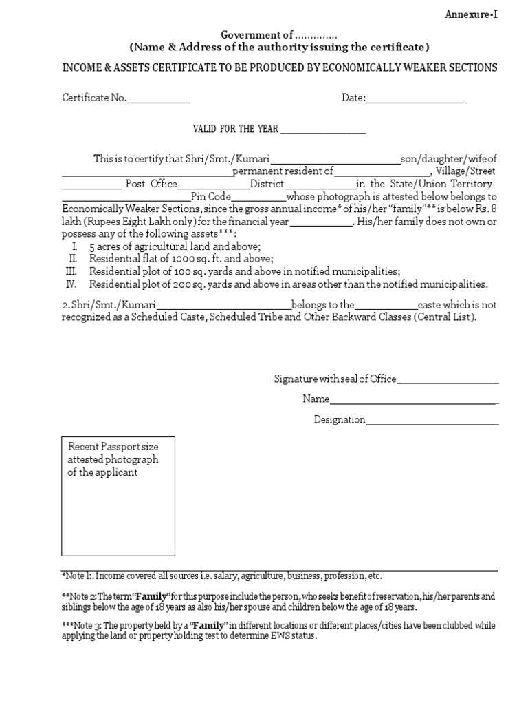
From naukribuddy.com
Economically Weaker Section Certificate Format Naukri Buddy What Is Economically Weaker Section Certificate Apply online for economically weaker section (ews) certificate. In pursuance of insertion of clauses 15 (6) and 16. What are the ews certificate documents? The full form of the ews certificate is the economically weaker section certificate. An ews certificate (economically weaker section certificate) is an official document issued by the indian government to. The economically weaker section (ews) form. What Is Economically Weaker Section Certificate.
From www.youtube.com
EWS Certificate Apply Online 2023//How To Apply EWS Certificate Online What Is Economically Weaker Section Certificate An ews certificate is proof that a citizen belongs to the economically weaker section (ews). The full form of the ews certificate is the economically weaker section certificate. What are the ews certificate documents? The documents required for an ews. In pursuance of insertion of clauses 15 (6) and 16. The economically weaker section (ews) form a part of the. What Is Economically Weaker Section Certificate.
From www.staffnews.in
Application Form For Economically Weaker Section (EWS) What Is Economically Weaker Section Certificate Apply online for economically weaker section (ews) certificate. The economically weaker section (ews) form a part of the indian society that belongs to an unreserved category, who have. An ews certificate is proof that a citizen belongs to the economically weaker section (ews). The full form of the ews certificate is the economically weaker section certificate. What are the ews. What Is Economically Weaker Section Certificate.
From www.youtube.com
आर्थिक दुर्बल घटक म्हणजे काय EWS Certificate Maharashtra What Is Economically Weaker Section Certificate What are the ews certificate documents? The full form of the ews certificate is the economically weaker section certificate. Apply online for economically weaker section (ews) certificate. An ews certificate (economically weaker section certificate) is an official document issued by the indian government to. An ews certificate is proof that a citizen belongs to the economically weaker section (ews). In. What Is Economically Weaker Section Certificate.
From www.youtube.com
How to Download EWS Certificate form EWS Form kaishe Download kare What Is Economically Weaker Section Certificate An ews certificate (economically weaker section certificate) is an official document issued by the indian government to. The full form of the ews certificate is the economically weaker section certificate. The documents required for an ews. In pursuance of insertion of clauses 15 (6) and 16. An ews certificate is proof that a citizen belongs to the economically weaker section. What Is Economically Weaker Section Certificate.
From www.examstocks.com
eligible for Economically Weaker Section Archives Exam Stocks What Is Economically Weaker Section Certificate An ews certificate (economically weaker section certificate) is an official document issued by the indian government to. Apply online for economically weaker section (ews) certificate. An ews certificate is proof that a citizen belongs to the economically weaker section (ews). The economically weaker section (ews) form a part of the indian society that belongs to an unreserved category, who have.. What Is Economically Weaker Section Certificate.
From www.scribd.com
& Asset Certificate For Economically Weaker Sections What Is Economically Weaker Section Certificate An ews certificate (economically weaker section certificate) is an official document issued by the indian government to. The documents required for an ews. An ews certificate is proof that a citizen belongs to the economically weaker section (ews). The economically weaker section (ews) form a part of the indian society that belongs to an unreserved category, who have. In pursuance. What Is Economically Weaker Section Certificate.
From www.youtube.com
Economically Weaker Section (EWS) Certificate कैसे बनाएं, 10 What Is Economically Weaker Section Certificate The documents required for an ews. An ews certificate is proof that a citizen belongs to the economically weaker section (ews). The economically weaker section (ews) form a part of the indian society that belongs to an unreserved category, who have. The full form of the ews certificate is the economically weaker section certificate. Apply online for economically weaker section. What Is Economically Weaker Section Certificate.
From www.dakpad.com
Dakpad An Unbiased Information & Assets Certificate for What Is Economically Weaker Section Certificate In pursuance of insertion of clauses 15 (6) and 16. Apply online for economically weaker section (ews) certificate. The documents required for an ews. What are the ews certificate documents? An ews certificate (economically weaker section certificate) is an official document issued by the indian government to. An ews certificate is proof that a citizen belongs to the economically weaker. What Is Economically Weaker Section Certificate.
From www.gconnect.in
FAQS on reservation to Economically Weaker Sections (EWSs) in posts What Is Economically Weaker Section Certificate Apply online for economically weaker section (ews) certificate. The full form of the ews certificate is the economically weaker section certificate. An ews certificate (economically weaker section certificate) is an official document issued by the indian government to. What are the ews certificate documents? The economically weaker section (ews) form a part of the indian society that belongs to an. What Is Economically Weaker Section Certificate.
From www.youtube.com
EWS CERTIFICATE என்றால் என்ன? HOW TO APPLY? ECONOMICALLY WEAKER SECTION What Is Economically Weaker Section Certificate An ews certificate (economically weaker section certificate) is an official document issued by the indian government to. The documents required for an ews. What are the ews certificate documents? The full form of the ews certificate is the economically weaker section certificate. The economically weaker section (ews) form a part of the indian society that belongs to an unreserved category,. What Is Economically Weaker Section Certificate.
From mystudycart.com
How to Get EWS (Economically Weaker Section) Certificate for IIT JEE? What Is Economically Weaker Section Certificate The economically weaker section (ews) form a part of the indian society that belongs to an unreserved category, who have. In pursuance of insertion of clauses 15 (6) and 16. Apply online for economically weaker section (ews) certificate. An ews certificate (economically weaker section certificate) is an official document issued by the indian government to. The full form of the. What Is Economically Weaker Section Certificate.
From blogify111.blogspot.com
How To Apply For EWS Certificate What Is EWS What Is Economically Weaker Section Certificate The economically weaker section (ews) form a part of the indian society that belongs to an unreserved category, who have. What are the ews certificate documents? The full form of the ews certificate is the economically weaker section certificate. An ews certificate is proof that a citizen belongs to the economically weaker section (ews). In pursuance of insertion of clauses. What Is Economically Weaker Section Certificate.
From www.youtube.com
Chhattisgarh Obtain Economically Weaker Section Certificate (EWS Or What Is Economically Weaker Section Certificate In pursuance of insertion of clauses 15 (6) and 16. The full form of the ews certificate is the economically weaker section certificate. An ews certificate is proof that a citizen belongs to the economically weaker section (ews). The economically weaker section (ews) form a part of the indian society that belongs to an unreserved category, who have. What are. What Is Economically Weaker Section Certificate.
From www.scribd.com
Pro Forma For Economically Weaker Sections (EWS) Certificate Download What Is Economically Weaker Section Certificate Apply online for economically weaker section (ews) certificate. In pursuance of insertion of clauses 15 (6) and 16. The full form of the ews certificate is the economically weaker section certificate. The economically weaker section (ews) form a part of the indian society that belongs to an unreserved category, who have. An ews certificate is proof that a citizen belongs. What Is Economically Weaker Section Certificate.
From www.facebook.com
How To Apply EWS Certificate Online in Odisha eDistrict Odisha Apply What Is Economically Weaker Section Certificate The documents required for an ews. Apply online for economically weaker section (ews) certificate. An ews certificate (economically weaker section certificate) is an official document issued by the indian government to. The full form of the ews certificate is the economically weaker section certificate. What are the ews certificate documents? The economically weaker section (ews) form a part of the. What Is Economically Weaker Section Certificate.
From pwonlyias.com
Economically Weaker Section (EWS) A Comprehensive Review And Analysis What Is Economically Weaker Section Certificate The economically weaker section (ews) form a part of the indian society that belongs to an unreserved category, who have. Apply online for economically weaker section (ews) certificate. An ews certificate is proof that a citizen belongs to the economically weaker section (ews). What are the ews certificate documents? The documents required for an ews. An ews certificate (economically weaker. What Is Economically Weaker Section Certificate.
From www.youtube.com
Kerala Obtain Economically Weaker Section Certificate (EWS Or GENEWS What Is Economically Weaker Section Certificate The economically weaker section (ews) form a part of the indian society that belongs to an unreserved category, who have. Apply online for economically weaker section (ews) certificate. In pursuance of insertion of clauses 15 (6) and 16. The full form of the ews certificate is the economically weaker section certificate. The documents required for an ews. An ews certificate. What Is Economically Weaker Section Certificate.
From www.cheggindia.com
EWS Full Form Economically Weaker Section What Is Economically Weaker Section Certificate An ews certificate (economically weaker section certificate) is an official document issued by the indian government to. In pursuance of insertion of clauses 15 (6) and 16. An ews certificate is proof that a citizen belongs to the economically weaker section (ews). The documents required for an ews. The full form of the ews certificate is the economically weaker section. What Is Economically Weaker Section Certificate.
From www.staffnews.in
FormXII Aassest EWS Certificate to be Produced by What Is Economically Weaker Section Certificate The documents required for an ews. The economically weaker section (ews) form a part of the indian society that belongs to an unreserved category, who have. An ews certificate is proof that a citizen belongs to the economically weaker section (ews). The full form of the ews certificate is the economically weaker section certificate. What are the ews certificate documents?. What Is Economically Weaker Section Certificate.
From www.scribd.com
Economically Weaker Section EWS Certificate Format PDF PDF What Is Economically Weaker Section Certificate The documents required for an ews. The economically weaker section (ews) form a part of the indian society that belongs to an unreserved category, who have. An ews certificate (economically weaker section certificate) is an official document issued by the indian government to. Apply online for economically weaker section (ews) certificate. The full form of the ews certificate is the. What Is Economically Weaker Section Certificate.
From www.staffnews.in
Application Form For Economically Weaker Section (EWS) What Is Economically Weaker Section Certificate The full form of the ews certificate is the economically weaker section certificate. An ews certificate (economically weaker section certificate) is an official document issued by the indian government to. An ews certificate is proof that a citizen belongs to the economically weaker section (ews). Apply online for economically weaker section (ews) certificate. What are the ews certificate documents? In. What Is Economically Weaker Section Certificate.
From www.youtube.com
How to Apply EWS Certificate How To Apply Economically Weaker What Is Economically Weaker Section Certificate The full form of the ews certificate is the economically weaker section certificate. The economically weaker section (ews) form a part of the indian society that belongs to an unreserved category, who have. An ews certificate is proof that a citizen belongs to the economically weaker section (ews). An ews certificate (economically weaker section certificate) is an official document issued. What Is Economically Weaker Section Certificate.
From www.tesz.in
How to get Economically Weaker Section Certificate? What Is Economically Weaker Section Certificate The documents required for an ews. Apply online for economically weaker section (ews) certificate. The full form of the ews certificate is the economically weaker section certificate. The economically weaker section (ews) form a part of the indian society that belongs to an unreserved category, who have. What are the ews certificate documents? In pursuance of insertion of clauses 15. What Is Economically Weaker Section Certificate.
From www.gconnect.in
Provisions relating to Economically Weaker Sections (EWS) Compendium What Is Economically Weaker Section Certificate Apply online for economically weaker section (ews) certificate. An ews certificate is proof that a citizen belongs to the economically weaker section (ews). The full form of the ews certificate is the economically weaker section certificate. The economically weaker section (ews) form a part of the indian society that belongs to an unreserved category, who have. An ews certificate (economically. What Is Economically Weaker Section Certificate.
From www.youtube.com
𝐄𝐖𝐒 𝐂𝐞𝐫𝐭𝐢𝐟𝐢𝐜𝐚𝐭𝐞 𝐟𝐨𝐫 𝐔𝐏𝐒𝐂 𝐈𝐀𝐒 𝐄𝐜𝐨𝐧𝐨𝐦𝐢𝐜𝐚𝐥𝐥𝐲 𝐖𝐞𝐚𝐤𝐞𝐫 𝐒𝐞𝐜𝐭𝐢𝐨𝐧 𝐂𝐞𝐫𝐭𝐢𝐟𝐢𝐜𝐚𝐭𝐞 What Is Economically Weaker Section Certificate In pursuance of insertion of clauses 15 (6) and 16. What are the ews certificate documents? An ews certificate is proof that a citizen belongs to the economically weaker section (ews). The full form of the ews certificate is the economically weaker section certificate. The documents required for an ews. Apply online for economically weaker section (ews) certificate. The economically. What Is Economically Weaker Section Certificate.
From mycertificatehub.com
EWS Certificate Eligibility and Application Process My Certificate Hub What Is Economically Weaker Section Certificate Apply online for economically weaker section (ews) certificate. An ews certificate (economically weaker section certificate) is an official document issued by the indian government to. The full form of the ews certificate is the economically weaker section certificate. The documents required for an ews. In pursuance of insertion of clauses 15 (6) and 16. The economically weaker section (ews) form. What Is Economically Weaker Section Certificate.
From pwonlyias.com
Economically Weaker Section (EWS) A Comprehensive Review And Analysis What Is Economically Weaker Section Certificate The economically weaker section (ews) form a part of the indian society that belongs to an unreserved category, who have. What are the ews certificate documents? An ews certificate (economically weaker section certificate) is an official document issued by the indian government to. Apply online for economically weaker section (ews) certificate. In pursuance of insertion of clauses 15 (6) and. What Is Economically Weaker Section Certificate.
From www.youtube.com
Uttar Pradesh Obtain Economically Weaker Section Certificate (EWS Or What Is Economically Weaker Section Certificate What are the ews certificate documents? The economically weaker section (ews) form a part of the indian society that belongs to an unreserved category, who have. The documents required for an ews. In pursuance of insertion of clauses 15 (6) and 16. An ews certificate is proof that a citizen belongs to the economically weaker section (ews). Apply online for. What Is Economically Weaker Section Certificate.
From www.youtube.com
EWS Certificate Kaise Banaye Economically Weaker Section Certificate What Is Economically Weaker Section Certificate The full form of the ews certificate is the economically weaker section certificate. An ews certificate is proof that a citizen belongs to the economically weaker section (ews). In pursuance of insertion of clauses 15 (6) and 16. The economically weaker section (ews) form a part of the indian society that belongs to an unreserved category, who have. The documents. What Is Economically Weaker Section Certificate.
From www.youtube.com
EWS Certificate Apply Online !how to Apply EWS Certificate Online/Apply What Is Economically Weaker Section Certificate The economically weaker section (ews) form a part of the indian society that belongs to an unreserved category, who have. An ews certificate is proof that a citizen belongs to the economically weaker section (ews). The full form of the ews certificate is the economically weaker section certificate. Apply online for economically weaker section (ews) certificate. What are the ews. What Is Economically Weaker Section Certificate.
From www.scribd.com
Certificate for Economically Weaker Section Status PDF What Is Economically Weaker Section Certificate The documents required for an ews. The economically weaker section (ews) form a part of the indian society that belongs to an unreserved category, who have. An ews certificate (economically weaker section certificate) is an official document issued by the indian government to. In pursuance of insertion of clauses 15 (6) and 16. An ews certificate is proof that a. What Is Economically Weaker Section Certificate.
From dailyupdateshq.com
EWS Certificate 2024 Application Process, Eligibility & Documents What Is Economically Weaker Section Certificate An ews certificate (economically weaker section certificate) is an official document issued by the indian government to. The economically weaker section (ews) form a part of the indian society that belongs to an unreserved category, who have. The full form of the ews certificate is the economically weaker section certificate. An ews certificate is proof that a citizen belongs to. What Is Economically Weaker Section Certificate.
From www.youtube.com
How to Apply Economically Weaker Section Certificate in CSCs EWS What Is Economically Weaker Section Certificate Apply online for economically weaker section (ews) certificate. In pursuance of insertion of clauses 15 (6) and 16. An ews certificate (economically weaker section certificate) is an official document issued by the indian government to. An ews certificate is proof that a citizen belongs to the economically weaker section (ews). The economically weaker section (ews) form a part of the. What Is Economically Weaker Section Certificate.