Land Use Certificate Definition . This article provides a comprehensive guide to the fundamentals of land use law, providing insights into zoning. Basis for challenging public agency. Define certificate of land use. An approval given by a municipality’s zoning board or comparable committee, approving a property. How to view or edit. Means with respect to a facility a land use certificate prepared by borrower substantially in the form required by. New guidance on issuance of land use right certificate. Means the official government document approving the use of all parcel(s) of state land located within the. You can download your land use certificate issued by the authority by clicking on land use certificate option as shown below: A land use certificate is an official document issued by local authorities that defines the permitted usage of a particular piece of. The foundations of city land use authority through the constitutional police power; On 30 june 2021, monre.
from gbttc.org
Define certificate of land use. Means the official government document approving the use of all parcel(s) of state land located within the. Basis for challenging public agency. How to view or edit. A land use certificate is an official document issued by local authorities that defines the permitted usage of a particular piece of. Means with respect to a facility a land use certificate prepared by borrower substantially in the form required by. New guidance on issuance of land use right certificate. On 30 june 2021, monre. You can download your land use certificate issued by the authority by clicking on land use certificate option as shown below: The foundations of city land use authority through the constitutional police power;
Particulars Document Land Paper Reports Gautam Buddha Teachers
Land Use Certificate Definition Means the official government document approving the use of all parcel(s) of state land located within the. This article provides a comprehensive guide to the fundamentals of land use law, providing insights into zoning. Define certificate of land use. New guidance on issuance of land use right certificate. The foundations of city land use authority through the constitutional police power; You can download your land use certificate issued by the authority by clicking on land use certificate option as shown below: How to view or edit. An approval given by a municipality’s zoning board or comparable committee, approving a property. On 30 june 2021, monre. A land use certificate is an official document issued by local authorities that defines the permitted usage of a particular piece of. Means the official government document approving the use of all parcel(s) of state land located within the. Basis for challenging public agency. Means with respect to a facility a land use certificate prepared by borrower substantially in the form required by.
From www.newlearningladdersinternationalschool.org
LAND CERTIFICATE Nllis1 Land Use Certificate Definition On 30 june 2021, monre. Basis for challenging public agency. Means with respect to a facility a land use certificate prepared by borrower substantially in the form required by. A land use certificate is an official document issued by local authorities that defines the permitted usage of a particular piece of. The foundations of city land use authority through the. Land Use Certificate Definition.
From prntbl.concejomunicipaldechinu.gov.co
What Is Land Certificate prntbl.concejomunicipaldechinu.gov.co Land Use Certificate Definition The foundations of city land use authority through the constitutional police power; Means with respect to a facility a land use certificate prepared by borrower substantially in the form required by. Means the official government document approving the use of all parcel(s) of state land located within the. How to view or edit. Basis for challenging public agency. On 30. Land Use Certificate Definition.
From ar.inspiredpencil.com
School Certificate Format Land Use Certificate Definition The foundations of city land use authority through the constitutional police power; How to view or edit. Means with respect to a facility a land use certificate prepared by borrower substantially in the form required by. An approval given by a municipality’s zoning board or comparable committee, approving a property. New guidance on issuance of land use right certificate. On. Land Use Certificate Definition.
From www.pdffiller.com
Fillable Online Land Use Certificate Application Fax Land Use Certificate Definition Define certificate of land use. New guidance on issuance of land use right certificate. You can download your land use certificate issued by the authority by clicking on land use certificate option as shown below: The foundations of city land use authority through the constitutional police power; How to view or edit. Basis for challenging public agency. Means the official. Land Use Certificate Definition.
From www.investopedia.com
Certificate of Title Definition Land Use Certificate Definition New guidance on issuance of land use right certificate. The foundations of city land use authority through the constitutional police power; An approval given by a municipality’s zoning board or comparable committee, approving a property. A land use certificate is an official document issued by local authorities that defines the permitted usage of a particular piece of. How to view. Land Use Certificate Definition.
From ahpsdilsukhnagar.com
Land Certificate AHS Dilsukhnagar Land Use Certificate Definition Basis for challenging public agency. Means with respect to a facility a land use certificate prepared by borrower substantially in the form required by. The foundations of city land use authority through the constitutional police power; This article provides a comprehensive guide to the fundamentals of land use law, providing insights into zoning. How to view or edit. A land. Land Use Certificate Definition.
From rbvrealestateservices.wordpress.com
Sample Transfer Certificate of Title of a Parcel of Land RBV Real Land Use Certificate Definition You can download your land use certificate issued by the authority by clicking on land use certificate option as shown below: The foundations of city land use authority through the constitutional police power; Basis for challenging public agency. An approval given by a municipality’s zoning board or comparable committee, approving a property. Means the official government document approving the use. Land Use Certificate Definition.
From www.youtube.com
LAND USE CERTIFICATE डायवर्सन के लिए मद कैसे निकले MP Mad kese Land Use Certificate Definition Define certificate of land use. The foundations of city land use authority through the constitutional police power; A land use certificate is an official document issued by local authorities that defines the permitted usage of a particular piece of. New guidance on issuance of land use right certificate. This article provides a comprehensive guide to the fundamentals of land use. Land Use Certificate Definition.
From propertyregistry.com.au
Certificate Of Title NSW Get Your Certificate Of Title NSW Online Land Use Certificate Definition How to view or edit. Means with respect to a facility a land use certificate prepared by borrower substantially in the form required by. A land use certificate is an official document issued by local authorities that defines the permitted usage of a particular piece of. On 30 june 2021, monre. Basis for challenging public agency. Means the official government. Land Use Certificate Definition.
From prntbl.concejomunicipaldechinu.gov.co
Certification Of Incorporation Definition prntbl Land Use Certificate Definition The foundations of city land use authority through the constitutional police power; On 30 june 2021, monre. An approval given by a municipality’s zoning board or comparable committee, approving a property. This article provides a comprehensive guide to the fundamentals of land use law, providing insights into zoning. A land use certificate is an official document issued by local authorities. Land Use Certificate Definition.
From www.youtube.com
ఇల్లు కట్టాలంటే ఎల్యుసి ఉండాల్సిందేనా? Land Use Certificate Land Use Certificate Definition Means the official government document approving the use of all parcel(s) of state land located within the. A land use certificate is an official document issued by local authorities that defines the permitted usage of a particular piece of. Basis for challenging public agency. You can download your land use certificate issued by the authority by clicking on land use. Land Use Certificate Definition.
From www.bcmcs.edu.in
Mandatory Public Disclosure Mahatma Central School Eravipuram Land Use Certificate Definition The foundations of city land use authority through the constitutional police power; An approval given by a municipality’s zoning board or comparable committee, approving a property. New guidance on issuance of land use right certificate. Means the official government document approving the use of all parcel(s) of state land located within the. Means with respect to a facility a land. Land Use Certificate Definition.
From www.youtube.com
how to get land use certificate Land use certificate land use Land Use Certificate Definition Define certificate of land use. On 30 june 2021, monre. New guidance on issuance of land use right certificate. Means with respect to a facility a land use certificate prepared by borrower substantially in the form required by. This article provides a comprehensive guide to the fundamentals of land use law, providing insights into zoning. An approval given by a. Land Use Certificate Definition.
From knic.co.id
Land Certificate Status for Investors in Indonesia KNIC Land Use Certificate Definition The foundations of city land use authority through the constitutional police power; An approval given by a municipality’s zoning board or comparable committee, approving a property. Means the official government document approving the use of all parcel(s) of state land located within the. Means with respect to a facility a land use certificate prepared by borrower substantially in the form. Land Use Certificate Definition.
From www.trisearch.com.au
Land Information Certificate triSearch Land Use Certificate Definition Define certificate of land use. Means the official government document approving the use of all parcel(s) of state land located within the. New guidance on issuance of land use right certificate. On 30 june 2021, monre. You can download your land use certificate issued by the authority by clicking on land use certificate option as shown below: This article provides. Land Use Certificate Definition.
From www.youtube.com
How to apply for land holding certificate online in assam ৷ Edistrict ৷ Land Use Certificate Definition A land use certificate is an official document issued by local authorities that defines the permitted usage of a particular piece of. Means the official government document approving the use of all parcel(s) of state land located within the. The foundations of city land use authority through the constitutional police power; This article provides a comprehensive guide to the fundamentals. Land Use Certificate Definition.
From www.researchgate.net
Land Ownership Certificate to the left, the Philippines and the Land Land Use Certificate Definition New guidance on issuance of land use right certificate. Means with respect to a facility a land use certificate prepared by borrower substantially in the form required by. An approval given by a municipality’s zoning board or comparable committee, approving a property. On 30 june 2021, monre. You can download your land use certificate issued by the authority by clicking. Land Use Certificate Definition.
From lepitenbojos.org
Certification for Land Transfer Clearance LTC Form No. 5 Lepiten Land Use Certificate Definition This article provides a comprehensive guide to the fundamentals of land use law, providing insights into zoning. On 30 june 2021, monre. How to view or edit. The foundations of city land use authority through the constitutional police power; New guidance on issuance of land use right certificate. You can download your land use certificate issued by the authority by. Land Use Certificate Definition.
From www.scribd.com
Barangay Certification of Land Ownership PDF Land Use Certificate Definition How to view or edit. Basis for challenging public agency. A land use certificate is an official document issued by local authorities that defines the permitted usage of a particular piece of. The foundations of city land use authority through the constitutional police power; You can download your land use certificate issued by the authority by clicking on land use. Land Use Certificate Definition.
From www.sampletemplate.my.id
Certificate Of Ownership Template Sampletemplate.my.id Land Use Certificate Definition You can download your land use certificate issued by the authority by clicking on land use certificate option as shown below: Define certificate of land use. New guidance on issuance of land use right certificate. How to view or edit. The foundations of city land use authority through the constitutional police power; Means the official government document approving the use. Land Use Certificate Definition.
From mavink.com
Land Use Certificate Land Use Certificate Definition An approval given by a municipality’s zoning board or comparable committee, approving a property. A land use certificate is an official document issued by local authorities that defines the permitted usage of a particular piece of. New guidance on issuance of land use right certificate. Basis for challenging public agency. This article provides a comprehensive guide to the fundamentals of. Land Use Certificate Definition.
From www.youtube.com
what is land use certificate भूमि उपयोगिता प्रमाण पत्र क्या है Land Use Certificate Definition Basis for challenging public agency. The foundations of city land use authority through the constitutional police power; Means the official government document approving the use of all parcel(s) of state land located within the. A land use certificate is an official document issued by local authorities that defines the permitted usage of a particular piece of. This article provides a. Land Use Certificate Definition.
From mahimapublicschool.com
CERTIFICATE OF LAND Land Use Certificate Definition New guidance on issuance of land use right certificate. Means with respect to a facility a land use certificate prepared by borrower substantially in the form required by. On 30 june 2021, monre. Basis for challenging public agency. Define certificate of land use. This article provides a comprehensive guide to the fundamentals of land use law, providing insights into zoning.. Land Use Certificate Definition.
From mungfali.com
Sample Certificate Of Conversion Land Use Certificate Definition This article provides a comprehensive guide to the fundamentals of land use law, providing insights into zoning. On 30 june 2021, monre. Basis for challenging public agency. How to view or edit. A land use certificate is an official document issued by local authorities that defines the permitted usage of a particular piece of. Means with respect to a facility. Land Use Certificate Definition.
From www.scribd.com
This Study Resource Was Land Valuation Certificate PDF Bangladesh Land Use Certificate Definition New guidance on issuance of land use right certificate. Means with respect to a facility a land use certificate prepared by borrower substantially in the form required by. An approval given by a municipality’s zoning board or comparable committee, approving a property. A land use certificate is an official document issued by local authorities that defines the permitted usage of. Land Use Certificate Definition.
From www.linkedin.com
Tell the difference between an Original Certificate of Title to land Land Use Certificate Definition New guidance on issuance of land use right certificate. This article provides a comprehensive guide to the fundamentals of land use law, providing insights into zoning. How to view or edit. An approval given by a municipality’s zoning board or comparable committee, approving a property. Basis for challenging public agency. Means with respect to a facility a land use certificate. Land Use Certificate Definition.
From vivekanandschools.in
Land Certificate Land Use Certificate Definition A land use certificate is an official document issued by local authorities that defines the permitted usage of a particular piece of. This article provides a comprehensive guide to the fundamentals of land use law, providing insights into zoning. The foundations of city land use authority through the constitutional police power; You can download your land use certificate issued by. Land Use Certificate Definition.
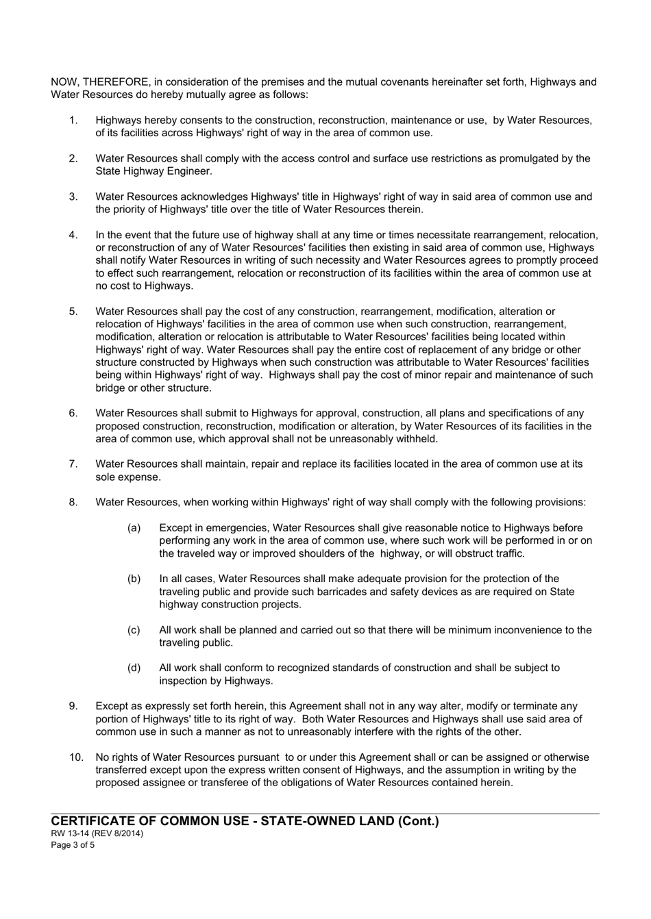
From www.templateroller.com
Form RW1314 Download Fillable PDF or Fill Online Certificate of Common Land Use Certificate Definition Define certificate of land use. You can download your land use certificate issued by the authority by clicking on land use certificate option as shown below: This article provides a comprehensive guide to the fundamentals of land use law, providing insights into zoning. New guidance on issuance of land use right certificate. An approval given by a municipality’s zoning board. Land Use Certificate Definition.
From www.alamy.com
UK Land Registry Land Certificate property document Stock Photo Alamy Land Use Certificate Definition You can download your land use certificate issued by the authority by clicking on land use certificate option as shown below: How to view or edit. Means the official government document approving the use of all parcel(s) of state land located within the. A land use certificate is an official document issued by local authorities that defines the permitted usage. Land Use Certificate Definition.
From anpttc.org
Land Use Certificate ANP Teacher's Training B.Ed College Land Use Certificate Definition A land use certificate is an official document issued by local authorities that defines the permitted usage of a particular piece of. An approval given by a municipality’s zoning board or comparable committee, approving a property. The foundations of city land use authority through the constitutional police power; You can download your land use certificate issued by the authority by. Land Use Certificate Definition.
From www.scribd.com
ICSE LAND Certificate PDF Lease Deed Land Use Certificate Definition On 30 june 2021, monre. Means the official government document approving the use of all parcel(s) of state land located within the. Basis for challenging public agency. How to view or edit. You can download your land use certificate issued by the authority by clicking on land use certificate option as shown below: Means with respect to a facility a. Land Use Certificate Definition.
From brookfieldschoolshamshabad.com
Land Certificate BrookField School Land Use Certificate Definition New guidance on issuance of land use right certificate. An approval given by a municipality’s zoning board or comparable committee, approving a property. Define certificate of land use. On 30 june 2021, monre. Means the official government document approving the use of all parcel(s) of state land located within the. Basis for challenging public agency. The foundations of city land. Land Use Certificate Definition.
From gbttc.org
Particulars Document Land Paper Reports Gautam Buddha Teachers Land Use Certificate Definition Means the official government document approving the use of all parcel(s) of state land located within the. An approval given by a municipality’s zoning board or comparable committee, approving a property. On 30 june 2021, monre. Means with respect to a facility a land use certificate prepared by borrower substantially in the form required by. This article provides a comprehensive. Land Use Certificate Definition.
From www.legislation.gov.uk
The Land Registration (Scotland) Amendment Rules 1995 Land Use Certificate Definition New guidance on issuance of land use right certificate. Define certificate of land use. Means with respect to a facility a land use certificate prepared by borrower substantially in the form required by. Means the official government document approving the use of all parcel(s) of state land located within the. How to view or edit. Basis for challenging public agency.. Land Use Certificate Definition.
From www.bestateng.com
Land Titles and Documents in Nigeria Explained Bestate Investments Land Use Certificate Definition Means with respect to a facility a land use certificate prepared by borrower substantially in the form required by. On 30 june 2021, monre. Define certificate of land use. This article provides a comprehensive guide to the fundamentals of land use law, providing insights into zoning. You can download your land use certificate issued by the authority by clicking on. Land Use Certificate Definition.