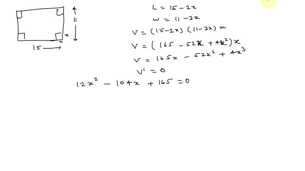
What Is An Open Box Problem . Maximizing the volume of a box. The open box problem is regarding an open box made from a sheet of card. Identical sized squares are cut off the four corners as shown in. Cut from each of its corners, such that folding up the sides will. Piece of cardboard by removing a square from each corner. In this activity, students will work on a famous math problem exploring the volume of an open box. Open box problem overview and objective. The open box problem is about an open box, which is to be made from a sheet of card. Identical sized squares are removed from the four corners of the card. This videos show how to solve an open box problem.
from dxonyhvbz.blob.core.windows.net
Piece of cardboard by removing a square from each corner. Maximizing the volume of a box. In this activity, students will work on a famous math problem exploring the volume of an open box. The open box problem is about an open box, which is to be made from a sheet of card. Identical sized squares are cut off the four corners as shown in. Identical sized squares are removed from the four corners of the card. This videos show how to solve an open box problem. Open box problem overview and objective. Cut from each of its corners, such that folding up the sides will. The open box problem is regarding an open box made from a sheet of card.
What Is An Open Box Price at Ruben Booth blog
What Is An Open Box Problem Open box problem overview and objective. This videos show how to solve an open box problem. The open box problem is regarding an open box made from a sheet of card. Open box problem overview and objective. The open box problem is about an open box, which is to be made from a sheet of card. Piece of cardboard by removing a square from each corner. Identical sized squares are removed from the four corners of the card. Maximizing the volume of a box. Identical sized squares are cut off the four corners as shown in. Cut from each of its corners, such that folding up the sides will. In this activity, students will work on a famous math problem exploring the volume of an open box.
From www.chegg.com
Solved Openbox Problem. An openbox (top open) is made from What Is An Open Box Problem Maximizing the volume of a box. In this activity, students will work on a famous math problem exploring the volume of an open box. Identical sized squares are removed from the four corners of the card. This videos show how to solve an open box problem. The open box problem is about an open box, which is to be made. What Is An Open Box Problem.
From www.chegg.com
Solved Openbox Problem. An openbox (top open) is made from What Is An Open Box Problem Identical sized squares are removed from the four corners of the card. The open box problem is regarding an open box made from a sheet of card. Identical sized squares are cut off the four corners as shown in. Cut from each of its corners, such that folding up the sides will. The open box problem is about an open. What Is An Open Box Problem.
From www.chegg.com
Solved Openbox Problem. An openbox (top open) is made from What Is An Open Box Problem The open box problem is regarding an open box made from a sheet of card. Maximizing the volume of a box. Cut from each of its corners, such that folding up the sides will. In this activity, students will work on a famous math problem exploring the volume of an open box. Open box problem overview and objective. The open. What Is An Open Box Problem.
From www.chegg.com
Solved Openbox Problem. An openbox (top open) is made from What Is An Open Box Problem Piece of cardboard by removing a square from each corner. Identical sized squares are removed from the four corners of the card. In this activity, students will work on a famous math problem exploring the volume of an open box. The open box problem is regarding an open box made from a sheet of card. Identical sized squares are cut. What Is An Open Box Problem.
From www.chegg.com
Solved Openbox Problem. An openbox (top open) is made from What Is An Open Box Problem Piece of cardboard by removing a square from each corner. This videos show how to solve an open box problem. The open box problem is regarding an open box made from a sheet of card. Identical sized squares are cut off the four corners as shown in. The open box problem is about an open box, which is to be. What Is An Open Box Problem.
From www.chegg.com
Solved Openbox Problem. An openbox (top open) is made from What Is An Open Box Problem Open box problem overview and objective. The open box problem is regarding an open box made from a sheet of card. In this activity, students will work on a famous math problem exploring the volume of an open box. Piece of cardboard by removing a square from each corner. Identical sized squares are removed from the four corners of the. What Is An Open Box Problem.
From www.youtube.com
Example of Box Problem cutting sheet of paper with squares YouTube What Is An Open Box Problem Maximizing the volume of a box. Identical sized squares are removed from the four corners of the card. Piece of cardboard by removing a square from each corner. The open box problem is regarding an open box made from a sheet of card. In this activity, students will work on a famous math problem exploring the volume of an open. What Is An Open Box Problem.
From designbundles.net
Open box top view. Empty cardboard package realistic mockup What Is An Open Box Problem Identical sized squares are removed from the four corners of the card. Identical sized squares are cut off the four corners as shown in. The open box problem is regarding an open box made from a sheet of card. Maximizing the volume of a box. Cut from each of its corners, such that folding up the sides will. This videos. What Is An Open Box Problem.
From www.chegg.com
Solved Openbox Problem. An openbox (top open) is made from What Is An Open Box Problem Identical sized squares are removed from the four corners of the card. Cut from each of its corners, such that folding up the sides will. This videos show how to solve an open box problem. The open box problem is about an open box, which is to be made from a sheet of card. In this activity, students will work. What Is An Open Box Problem.
From www.teachoo.com
Example 50 An open topped box is to be constructed by Examples What Is An Open Box Problem Piece of cardboard by removing a square from each corner. The open box problem is about an open box, which is to be made from a sheet of card. Identical sized squares are removed from the four corners of the card. Maximizing the volume of a box. Identical sized squares are cut off the four corners as shown in. In. What Is An Open Box Problem.
From www.chegg.com
Solved Openbox Problem. An openbox (top open) is made from What Is An Open Box Problem Cut from each of its corners, such that folding up the sides will. The open box problem is about an open box, which is to be made from a sheet of card. This videos show how to solve an open box problem. Identical sized squares are removed from the four corners of the card. In this activity, students will work. What Is An Open Box Problem.
From www.chegg.com
Solved Openbox Problem. An openbox (top open) is made from What Is An Open Box Problem In this activity, students will work on a famous math problem exploring the volume of an open box. Open box problem overview and objective. Identical sized squares are cut off the four corners as shown in. The open box problem is regarding an open box made from a sheet of card. Cut from each of its corners, such that folding. What Is An Open Box Problem.
From www.chegg.com
Solved 4. Optimization An open box is constructed from a What Is An Open Box Problem The open box problem is about an open box, which is to be made from a sheet of card. Maximizing the volume of a box. In this activity, students will work on a famous math problem exploring the volume of an open box. Cut from each of its corners, such that folding up the sides will. The open box problem. What Is An Open Box Problem.
From www.chegg.com
Solved 25. Constructing an Open Box An open box with a What Is An Open Box Problem In this activity, students will work on a famous math problem exploring the volume of an open box. Identical sized squares are cut off the four corners as shown in. The open box problem is regarding an open box made from a sheet of card. This videos show how to solve an open box problem. The open box problem is. What Is An Open Box Problem.
From slideplayer.com
Open Box Problem Problem What is the maximum volume of an open box What Is An Open Box Problem Cut from each of its corners, such that folding up the sides will. Open box problem overview and objective. In this activity, students will work on a famous math problem exploring the volume of an open box. Identical sized squares are cut off the four corners as shown in. This videos show how to solve an open box problem. The. What Is An Open Box Problem.
From pngtree.com
Box Problem Case Open Vector, Problem, Case, Open PNG and Vector with What Is An Open Box Problem The open box problem is about an open box, which is to be made from a sheet of card. Open box problem overview and objective. Identical sized squares are removed from the four corners of the card. Maximizing the volume of a box. Identical sized squares are cut off the four corners as shown in. Piece of cardboard by removing. What Is An Open Box Problem.
From www.youtube.com
Optimization Open Top Box of Largest Volume from Square Piece of What Is An Open Box Problem Identical sized squares are removed from the four corners of the card. Identical sized squares are cut off the four corners as shown in. Cut from each of its corners, such that folding up the sides will. The open box problem is regarding an open box made from a sheet of card. Piece of cardboard by removing a square from. What Is An Open Box Problem.
From www.chegg.com
Solved Openbox Problem. An openbox (top open) is made from What Is An Open Box Problem In this activity, students will work on a famous math problem exploring the volume of an open box. The open box problem is regarding an open box made from a sheet of card. This videos show how to solve an open box problem. Identical sized squares are cut off the four corners as shown in. Identical sized squares are removed. What Is An Open Box Problem.
From www.chegg.com
Solved An open box is to be made from a square piece of What Is An Open Box Problem Identical sized squares are removed from the four corners of the card. Open box problem overview and objective. This videos show how to solve an open box problem. Cut from each of its corners, such that folding up the sides will. The open box problem is about an open box, which is to be made from a sheet of card.. What Is An Open Box Problem.
From mathigon.org
Open Box Problem Mathigon What Is An Open Box Problem Piece of cardboard by removing a square from each corner. Cut from each of its corners, such that folding up the sides will. Identical sized squares are removed from the four corners of the card. In this activity, students will work on a famous math problem exploring the volume of an open box. The open box problem is regarding an. What Is An Open Box Problem.
From www.youtube.com
A box with an open top is to be constructed from a rectangular piece of What Is An Open Box Problem Cut from each of its corners, such that folding up the sides will. Open box problem overview and objective. Identical sized squares are removed from the four corners of the card. Maximizing the volume of a box. Piece of cardboard by removing a square from each corner. Identical sized squares are cut off the four corners as shown in. In. What Is An Open Box Problem.
From www.chegg.com
Solved Openbox Problem. An openbox (top open) is made from What Is An Open Box Problem Identical sized squares are removed from the four corners of the card. Cut from each of its corners, such that folding up the sides will. Open box problem overview and objective. Identical sized squares are cut off the four corners as shown in. Piece of cardboard by removing a square from each corner. In this activity, students will work on. What Is An Open Box Problem.
From www.chegg.com
Solved by b Openbox Problem. An openbox (top open) is made What Is An Open Box Problem In this activity, students will work on a famous math problem exploring the volume of an open box. Cut from each of its corners, such that folding up the sides will. Identical sized squares are removed from the four corners of the card. Open box problem overview and objective. This videos show how to solve an open box problem. The. What Is An Open Box Problem.
From dxonyhvbz.blob.core.windows.net
What Is An Open Box Price at Ruben Booth blog What Is An Open Box Problem The open box problem is regarding an open box made from a sheet of card. Maximizing the volume of a box. Identical sized squares are removed from the four corners of the card. Cut from each of its corners, such that folding up the sides will. This videos show how to solve an open box problem. Piece of cardboard by. What Is An Open Box Problem.
From www.chegg.com
Solved Openbox Problem. An openbox (top open) is made from What Is An Open Box Problem Identical sized squares are cut off the four corners as shown in. Cut from each of its corners, such that folding up the sides will. Maximizing the volume of a box. In this activity, students will work on a famous math problem exploring the volume of an open box. The open box problem is about an open box, which is. What Is An Open Box Problem.
From friedachen.weebly.com
Open Box Problem Frieda Chen's Teaching Portfolio What Is An Open Box Problem The open box problem is about an open box, which is to be made from a sheet of card. Cut from each of its corners, such that folding up the sides will. The open box problem is regarding an open box made from a sheet of card. In this activity, students will work on a famous math problem exploring the. What Is An Open Box Problem.
From www.chegg.com
Solved Openbox Problem. An openbox (top open) is made from What Is An Open Box Problem Identical sized squares are removed from the four corners of the card. This videos show how to solve an open box problem. The open box problem is about an open box, which is to be made from a sheet of card. In this activity, students will work on a famous math problem exploring the volume of an open box. Maximizing. What Is An Open Box Problem.
From www.chegg.com
Solved Openbox Problem. An openbox (top open) is made from What Is An Open Box Problem Cut from each of its corners, such that folding up the sides will. The open box problem is about an open box, which is to be made from a sheet of card. Open box problem overview and objective. Maximizing the volume of a box. Identical sized squares are removed from the four corners of the card. In this activity, students. What Is An Open Box Problem.
From studymoose.com
Open Box Problem Free Essay Example What Is An Open Box Problem Identical sized squares are cut off the four corners as shown in. Open box problem overview and objective. Maximizing the volume of a box. Piece of cardboard by removing a square from each corner. This videos show how to solve an open box problem. Cut from each of its corners, such that folding up the sides will. The open box. What Is An Open Box Problem.
From www.numerade.com
Openbox Problem An openbox (top open) is made from rectangular What Is An Open Box Problem In this activity, students will work on a famous math problem exploring the volume of an open box. This videos show how to solve an open box problem. Identical sized squares are removed from the four corners of the card. Maximizing the volume of a box. The open box problem is regarding an open box made from a sheet of. What Is An Open Box Problem.
From studylib.net
PROBLEM 3 An open rectangular box with square What Is An Open Box Problem Piece of cardboard by removing a square from each corner. Identical sized squares are removed from the four corners of the card. Open box problem overview and objective. The open box problem is regarding an open box made from a sheet of card. This videos show how to solve an open box problem. Identical sized squares are cut off the. What Is An Open Box Problem.
From www.chegg.com
Solved Openbox Problem. An openbox (top open) is made from What Is An Open Box Problem In this activity, students will work on a famous math problem exploring the volume of an open box. Cut from each of its corners, such that folding up the sides will. Identical sized squares are removed from the four corners of the card. Piece of cardboard by removing a square from each corner. Open box problem overview and objective. This. What Is An Open Box Problem.
From www.youtube.com
algebra open box volume problem YouTube What Is An Open Box Problem In this activity, students will work on a famous math problem exploring the volume of an open box. Piece of cardboard by removing a square from each corner. Identical sized squares are removed from the four corners of the card. Identical sized squares are cut off the four corners as shown in. This videos show how to solve an open. What Is An Open Box Problem.
From www.bartleby.com
Answered Openbox Problem. An openbox (top… bartleby What Is An Open Box Problem The open box problem is regarding an open box made from a sheet of card. Maximizing the volume of a box. In this activity, students will work on a famous math problem exploring the volume of an open box. The open box problem is about an open box, which is to be made from a sheet of card. Open box. What Is An Open Box Problem.
From www.numerade.com
SOLVEDpoints) A box with an open top is to be constructed from a What Is An Open Box Problem The open box problem is about an open box, which is to be made from a sheet of card. Maximizing the volume of a box. The open box problem is regarding an open box made from a sheet of card. This videos show how to solve an open box problem. Piece of cardboard by removing a square from each corner.. What Is An Open Box Problem.