Hiv Test False Positive Probability . Because it is upsetting and disturbing to receive a false positive. when a person is not infected with hiv but receives a positive test result, that result is considered a false positive. what if your hiv test result is positive? Learn more about the reasons for the result and. If you use any type of antibody test and. hiv tests are highly sensitive and may result in a false positive. a false positive is a test result that says a person has hiv when, in fact, they do not have it. Most hiv tests are antibody tests.
from www.chegg.com
hiv tests are highly sensitive and may result in a false positive. when a person is not infected with hiv but receives a positive test result, that result is considered a false positive. a false positive is a test result that says a person has hiv when, in fact, they do not have it. what if your hiv test result is positive? Learn more about the reasons for the result and. If you use any type of antibody test and. Because it is upsetting and disturbing to receive a false positive. Most hiv tests are antibody tests.
Solved Suppose that an HIV1 test has a false positive rate
Hiv Test False Positive Probability Most hiv tests are antibody tests. Learn more about the reasons for the result and. If you use any type of antibody test and. a false positive is a test result that says a person has hiv when, in fact, they do not have it. what if your hiv test result is positive? Most hiv tests are antibody tests. hiv tests are highly sensitive and may result in a false positive. when a person is not infected with hiv but receives a positive test result, that result is considered a false positive. Because it is upsetting and disturbing to receive a false positive.
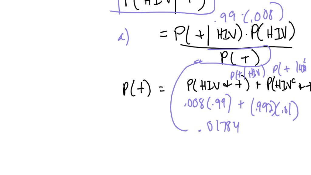
From www.teachoo.com
Example 18 Suppose reliability of a HIV test is people Hiv Test False Positive Probability when a person is not infected with hiv but receives a positive test result, that result is considered a false positive. Most hiv tests are antibody tests. hiv tests are highly sensitive and may result in a false positive. what if your hiv test result is positive? Learn more about the reasons for the result and. If. Hiv Test False Positive Probability.
From www.researchgate.net
(PDF) Potential for falsepositive HIV test results using rapid HIV testing algorithms Hiv Test False Positive Probability a false positive is a test result that says a person has hiv when, in fact, they do not have it. what if your hiv test result is positive? Because it is upsetting and disturbing to receive a false positive. If you use any type of antibody test and. Most hiv tests are antibody tests. hiv tests. Hiv Test False Positive Probability.
From www.mdpi.com
Viruses Free FullText FalsePositive Screening and Confirmatory HIV Diagnostic Test in a Hiv Test False Positive Probability a false positive is a test result that says a person has hiv when, in fact, they do not have it. If you use any type of antibody test and. what if your hiv test result is positive? Most hiv tests are antibody tests. Learn more about the reasons for the result and. Because it is upsetting and. Hiv Test False Positive Probability.
From kenyatopsecret.blogspot.com
HOW A FALSE HIVPOSITIVE TEST CHANGED MY LIFE FOR HOURS, BY DR.MOKAYA ONSASE Hiv Test False Positive Probability Most hiv tests are antibody tests. a false positive is a test result that says a person has hiv when, in fact, they do not have it. hiv tests are highly sensitive and may result in a false positive. Because it is upsetting and disturbing to receive a false positive. what if your hiv test result is. Hiv Test False Positive Probability.
From nccc.ucsf.edu
Case of the Month False Positive HIV Viral Loads National Clinician Consultation Center Hiv Test False Positive Probability Learn more about the reasons for the result and. If you use any type of antibody test and. a false positive is a test result that says a person has hiv when, in fact, they do not have it. Because it is upsetting and disturbing to receive a false positive. Most hiv tests are antibody tests. what if. Hiv Test False Positive Probability.
From exoapenql.blob.core.windows.net
What Makes An Hiv Test False Positive at Clarence Ellsworth blog Hiv Test False Positive Probability a false positive is a test result that says a person has hiv when, in fact, they do not have it. hiv tests are highly sensitive and may result in a false positive. what if your hiv test result is positive? when a person is not infected with hiv but receives a positive test result, that. Hiv Test False Positive Probability.
From hivisasa.com
Reasons behind false positive results on HIV tests Hiv Test False Positive Probability If you use any type of antibody test and. when a person is not infected with hiv but receives a positive test result, that result is considered a false positive. a false positive is a test result that says a person has hiv when, in fact, they do not have it. Learn more about the reasons for the. Hiv Test False Positive Probability.
From www.chegg.com
Solved Suppose that an HIV1 test has a false positive rate Hiv Test False Positive Probability Learn more about the reasons for the result and. when a person is not infected with hiv but receives a positive test result, that result is considered a false positive. what if your hiv test result is positive? a false positive is a test result that says a person has hiv when, in fact, they do not. Hiv Test False Positive Probability.
From www.semanticscholar.org
Figure 3 from Probability of a falsenegative HIV antibody test result during the window period Hiv Test False Positive Probability If you use any type of antibody test and. when a person is not infected with hiv but receives a positive test result, that result is considered a false positive. Most hiv tests are antibody tests. hiv tests are highly sensitive and may result in a false positive. Learn more about the reasons for the result and. Because. Hiv Test False Positive Probability.
From www.slideserve.com
PPT Routine HIV Screening in Health Care Settings PowerPoint Presentation ID528025 Hiv Test False Positive Probability Most hiv tests are antibody tests. a false positive is a test result that says a person has hiv when, in fact, they do not have it. Learn more about the reasons for the result and. what if your hiv test result is positive? Because it is upsetting and disturbing to receive a false positive. If you use. Hiv Test False Positive Probability.
From www.semanticscholar.org
Probability of a falsenegative HIV antibody test result during the window period a tool for Hiv Test False Positive Probability a false positive is a test result that says a person has hiv when, in fact, they do not have it. what if your hiv test result is positive? Learn more about the reasons for the result and. Because it is upsetting and disturbing to receive a false positive. If you use any type of antibody test and.. Hiv Test False Positive Probability.
From stacks.cdc.gov
CDC Stacks Investigation of false positive results with an oral fluid rapid HIV1/2 antibody Hiv Test False Positive Probability If you use any type of antibody test and. Learn more about the reasons for the result and. what if your hiv test result is positive? Because it is upsetting and disturbing to receive a false positive. a false positive is a test result that says a person has hiv when, in fact, they do not have it.. Hiv Test False Positive Probability.
From jama.ama-assn.org
FalsePositive HIV1 Test Results in a LowRisk Screening Setting of Voluntary Blood Donation Hiv Test False Positive Probability what if your hiv test result is positive? If you use any type of antibody test and. hiv tests are highly sensitive and may result in a false positive. Most hiv tests are antibody tests. Learn more about the reasons for the result and. a false positive is a test result that says a person has hiv. Hiv Test False Positive Probability.
From www.researchgate.net
(PDF) FalsePositive HIV1 Test Results in a LowRisk Screening Setting of Voluntary Blood Donation Hiv Test False Positive Probability what if your hiv test result is positive? Most hiv tests are antibody tests. a false positive is a test result that says a person has hiv when, in fact, they do not have it. If you use any type of antibody test and. hiv tests are highly sensitive and may result in a false positive. Because. Hiv Test False Positive Probability.
From www.semanticscholar.org
Table 1 from Probability of a falsenegative HIV antibody test result during the window period Hiv Test False Positive Probability what if your hiv test result is positive? hiv tests are highly sensitive and may result in a false positive. Learn more about the reasons for the result and. Because it is upsetting and disturbing to receive a false positive. Most hiv tests are antibody tests. when a person is not infected with hiv but receives a. Hiv Test False Positive Probability.
From www.cambridge.org
A Patient with AIDS and a False Negative HIV Western Blot Infection Control & Hospital Hiv Test False Positive Probability what if your hiv test result is positive? Because it is upsetting and disturbing to receive a false positive. a false positive is a test result that says a person has hiv when, in fact, they do not have it. Most hiv tests are antibody tests. If you use any type of antibody test and. when a. Hiv Test False Positive Probability.
From familyclinic.netlify.app
False positive hiv test Hiv Test False Positive Probability what if your hiv test result is positive? a false positive is a test result that says a person has hiv when, in fact, they do not have it. Because it is upsetting and disturbing to receive a false positive. If you use any type of antibody test and. when a person is not infected with hiv. Hiv Test False Positive Probability.
From exovcvsdo.blob.core.windows.net
Hiv Nat Test False Positive at Nathan Knutson blog Hiv Test False Positive Probability Learn more about the reasons for the result and. when a person is not infected with hiv but receives a positive test result, that result is considered a false positive. Because it is upsetting and disturbing to receive a false positive. hiv tests are highly sensitive and may result in a false positive. If you use any type. Hiv Test False Positive Probability.
From atcmeetingabstracts.com
Using Donors with False Positive HIV Tests An Unexpected Benefit of the HOPE Act. ATC Abstracts Hiv Test False Positive Probability hiv tests are highly sensitive and may result in a false positive. If you use any type of antibody test and. Most hiv tests are antibody tests. a false positive is a test result that says a person has hiv when, in fact, they do not have it. what if your hiv test result is positive? Learn. Hiv Test False Positive Probability.
From www.researchgate.net
The blue line shows how the posttest probability of HIV rises as more... Download Scientific Hiv Test False Positive Probability Most hiv tests are antibody tests. what if your hiv test result is positive? a false positive is a test result that says a person has hiv when, in fact, they do not have it. Because it is upsetting and disturbing to receive a false positive. hiv tests are highly sensitive and may result in a false. Hiv Test False Positive Probability.
From fcep.org
False Positive HIV due to p24 Antigen and CD4 Lymphocytopenia FCEP Hiv Test False Positive Probability a false positive is a test result that says a person has hiv when, in fact, they do not have it. hiv tests are highly sensitive and may result in a false positive. when a person is not infected with hiv but receives a positive test result, that result is considered a false positive. If you use. Hiv Test False Positive Probability.
From www.numerade.com
SOLVED HIV testing and false positives. Bayes's rule was applied to the problem of HIV testing Hiv Test False Positive Probability when a person is not infected with hiv but receives a positive test result, that result is considered a false positive. what if your hiv test result is positive? a false positive is a test result that says a person has hiv when, in fact, they do not have it. Because it is upsetting and disturbing to. Hiv Test False Positive Probability.
From www.teachoo.com
Example 18 Suppose reliability of a HIV test is people Hiv Test False Positive Probability Learn more about the reasons for the result and. Most hiv tests are antibody tests. what if your hiv test result is positive? a false positive is a test result that says a person has hiv when, in fact, they do not have it. Because it is upsetting and disturbing to receive a false positive. hiv tests. Hiv Test False Positive Probability.
From www.medicalnewstoday.com
False positive HIV results Causes, risks, and best practices Hiv Test False Positive Probability Most hiv tests are antibody tests. a false positive is a test result that says a person has hiv when, in fact, they do not have it. when a person is not infected with hiv but receives a positive test result, that result is considered a false positive. If you use any type of antibody test and. . Hiv Test False Positive Probability.
From www.scribd.com
Potential For False Positive HIV Test Results With The Serial Rapid HIV Testing Algorithm PDF Hiv Test False Positive Probability what if your hiv test result is positive? hiv tests are highly sensitive and may result in a false positive. a false positive is a test result that says a person has hiv when, in fact, they do not have it. Because it is upsetting and disturbing to receive a false positive. If you use any type. Hiv Test False Positive Probability.
From www.aidsmap.com
False positive results on HIV tests aidsmap Hiv Test False Positive Probability Learn more about the reasons for the result and. Most hiv tests are antibody tests. hiv tests are highly sensitive and may result in a false positive. what if your hiv test result is positive? when a person is not infected with hiv but receives a positive test result, that result is considered a false positive. If. Hiv Test False Positive Probability.
From exovcvsdo.blob.core.windows.net
Hiv Nat Test False Positive at Nathan Knutson blog Hiv Test False Positive Probability Because it is upsetting and disturbing to receive a false positive. what if your hiv test result is positive? Learn more about the reasons for the result and. hiv tests are highly sensitive and may result in a false positive. Most hiv tests are antibody tests. a false positive is a test result that says a person. Hiv Test False Positive Probability.
From www.shimclinic.com
Combining Rapid HIV Tests to Avoid False Positives Hiv Test False Positive Probability a false positive is a test result that says a person has hiv when, in fact, they do not have it. when a person is not infected with hiv but receives a positive test result, that result is considered a false positive. Because it is upsetting and disturbing to receive a false positive. hiv tests are highly. Hiv Test False Positive Probability.
From www.chegg.com
Solved 3. An HIV test is not entirely accurate. The test Hiv Test False Positive Probability Learn more about the reasons for the result and. what if your hiv test result is positive? a false positive is a test result that says a person has hiv when, in fact, they do not have it. If you use any type of antibody test and. hiv tests are highly sensitive and may result in a. Hiv Test False Positive Probability.
From www.chegg.com
Solved Suppose that an HIV1 test has a false positive rate Hiv Test False Positive Probability If you use any type of antibody test and. Most hiv tests are antibody tests. a false positive is a test result that says a person has hiv when, in fact, they do not have it. Because it is upsetting and disturbing to receive a false positive. Learn more about the reasons for the result and. what if. Hiv Test False Positive Probability.
From www.slideserve.com
PPT HIV Testing PowerPoint Presentation, free download ID3574877 Hiv Test False Positive Probability If you use any type of antibody test and. what if your hiv test result is positive? when a person is not infected with hiv but receives a positive test result, that result is considered a false positive. a false positive is a test result that says a person has hiv when, in fact, they do not. Hiv Test False Positive Probability.
From kenyatopsecret.blogspot.com
HOW A FALSE HIVPOSITIVE TEST CHANGED MY LIFE FOR HOURS, BY DR.MOKAYA ONSASE Hiv Test False Positive Probability hiv tests are highly sensitive and may result in a false positive. If you use any type of antibody test and. Most hiv tests are antibody tests. Learn more about the reasons for the result and. when a person is not infected with hiv but receives a positive test result, that result is considered a false positive. . Hiv Test False Positive Probability.
From www.youtube.com
What causes false positive HIV test results? YouTube Hiv Test False Positive Probability a false positive is a test result that says a person has hiv when, in fact, they do not have it. what if your hiv test result is positive? If you use any type of antibody test and. Most hiv tests are antibody tests. Learn more about the reasons for the result and. when a person is. Hiv Test False Positive Probability.
From exovcvsdo.blob.core.windows.net
Hiv Nat Test False Positive at Nathan Knutson blog Hiv Test False Positive Probability hiv tests are highly sensitive and may result in a false positive. Learn more about the reasons for the result and. a false positive is a test result that says a person has hiv when, in fact, they do not have it. If you use any type of antibody test and. when a person is not infected. Hiv Test False Positive Probability.
From www.youtube.com
4th generation hiv test false positive YouTube Hiv Test False Positive Probability a false positive is a test result that says a person has hiv when, in fact, they do not have it. Learn more about the reasons for the result and. what if your hiv test result is positive? hiv tests are highly sensitive and may result in a false positive. If you use any type of antibody. Hiv Test False Positive Probability.