Mccauley Propeller Governor Overhaul Times . Every aircraft propeller manufacturer, including hartzell propeller, has a list of overhaul times for their props based on calendar time (months or years) and flight hours. The following pages show mccauley’s mandatory specified time between overhaul for propellers, governors, and accumulators. Time between propeller overhaul a. The following pages show mccauley’s mandatory specified time between overhaul for affected propellers. The following pages show mccauley’s mandatory specified time between overhaul for propellers.
from baspartsales.com
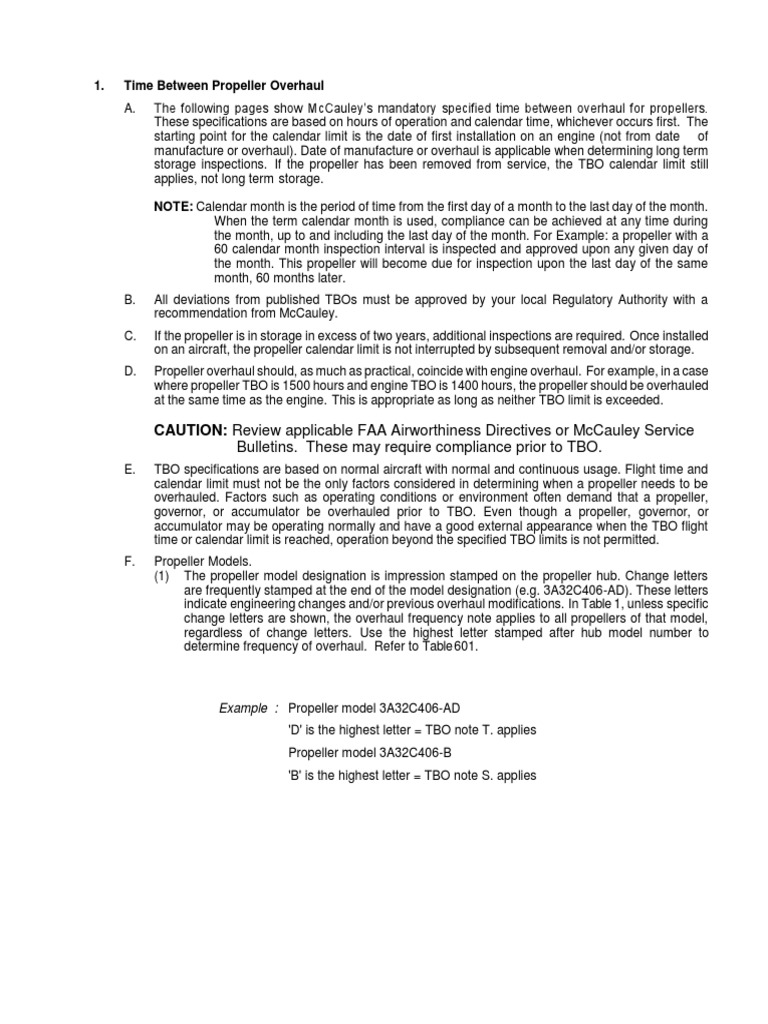
Time between propeller overhaul a. The following pages show mccauley’s mandatory specified time between overhaul for propellers, governors, and accumulators. The following pages show mccauley’s mandatory specified time between overhaul for affected propellers. Every aircraft propeller manufacturer, including hartzell propeller, has a list of overhaul times for their props based on calendar time (months or years) and flight hours. The following pages show mccauley’s mandatory specified time between overhaul for propellers.
DC290018 / T34 Piper PA24250 McCauley Propeller Governor Assembly
Mccauley Propeller Governor Overhaul Times Time between propeller overhaul a. The following pages show mccauley’s mandatory specified time between overhaul for affected propellers. The following pages show mccauley’s mandatory specified time between overhaul for propellers. Every aircraft propeller manufacturer, including hartzell propeller, has a list of overhaul times for their props based on calendar time (months or years) and flight hours. Time between propeller overhaul a. The following pages show mccauley’s mandatory specified time between overhaul for propellers, governors, and accumulators.
From baspartsales.com
C290D3A/T1 (USE D203091) Cessna 182 P/Q McCauley Propeller Governor Mccauley Propeller Governor Overhaul Times The following pages show mccauley’s mandatory specified time between overhaul for propellers. Every aircraft propeller manufacturer, including hartzell propeller, has a list of overhaul times for their props based on calendar time (months or years) and flight hours. The following pages show mccauley’s mandatory specified time between overhaul for affected propellers. The following pages show mccauley’s mandatory specified time between. Mccauley Propeller Governor Overhaul Times.
From www.esscoaircraft.com
McCauley Propellers C290D Governors & Accumulators Overhaul/Parts Mccauley Propeller Governor Overhaul Times Every aircraft propeller manufacturer, including hartzell propeller, has a list of overhaul times for their props based on calendar time (months or years) and flight hours. The following pages show mccauley’s mandatory specified time between overhaul for affected propellers. Time between propeller overhaul a. The following pages show mccauley’s mandatory specified time between overhaul for propellers, governors, and accumulators. The. Mccauley Propeller Governor Overhaul Times.
From www.qaa.com
McCauley Aircraft Prop/Propeller Governor DCFUS290D13/T2 QAA Mccauley Propeller Governor Overhaul Times The following pages show mccauley’s mandatory specified time between overhaul for affected propellers. The following pages show mccauley’s mandatory specified time between overhaul for propellers, governors, and accumulators. Every aircraft propeller manufacturer, including hartzell propeller, has a list of overhaul times for their props based on calendar time (months or years) and flight hours. Time between propeller overhaul a. The. Mccauley Propeller Governor Overhaul Times.
From baspartsales.com
C290D3F/T19 Continental IO550D3B McCauley Propeller Governor Assembly Mccauley Propeller Governor Overhaul Times The following pages show mccauley’s mandatory specified time between overhaul for propellers, governors, and accumulators. Every aircraft propeller manufacturer, including hartzell propeller, has a list of overhaul times for their props based on calendar time (months or years) and flight hours. Time between propeller overhaul a. The following pages show mccauley’s mandatory specified time between overhaul for affected propellers. The. Mccauley Propeller Governor Overhaul Times.
From baspartsales.com
C290D3J/T18 O360F1A6 McCauley Propeller Governor Assembly Mccauley Propeller Governor Overhaul Times Every aircraft propeller manufacturer, including hartzell propeller, has a list of overhaul times for their props based on calendar time (months or years) and flight hours. Time between propeller overhaul a. The following pages show mccauley’s mandatory specified time between overhaul for propellers. The following pages show mccauley’s mandatory specified time between overhaul for propellers, governors, and accumulators. The following. Mccauley Propeller Governor Overhaul Times.
From baspartsales.com
DCF290D7/T3 Cessna 402C McCauley Propeller Governor (PROP STRUCK) Mccauley Propeller Governor Overhaul Times The following pages show mccauley’s mandatory specified time between overhaul for affected propellers. The following pages show mccauley’s mandatory specified time between overhaul for propellers. Every aircraft propeller manufacturer, including hartzell propeller, has a list of overhaul times for their props based on calendar time (months or years) and flight hours. The following pages show mccauley’s mandatory specified time between. Mccauley Propeller Governor Overhaul Times.
From baspartsales.com
DCFS290D7A/T3 McCauley Propeller Governor (NEW OLD STOCK) (SA) Mccauley Propeller Governor Overhaul Times The following pages show mccauley’s mandatory specified time between overhaul for propellers. The following pages show mccauley’s mandatory specified time between overhaul for propellers, governors, and accumulators. Every aircraft propeller manufacturer, including hartzell propeller, has a list of overhaul times for their props based on calendar time (months or years) and flight hours. Time between propeller overhaul a. The following. Mccauley Propeller Governor Overhaul Times.
From www.scribd.com
McCauley Time Between Propeller Overhaul PDF Propeller Mechanical Mccauley Propeller Governor Overhaul Times The following pages show mccauley’s mandatory specified time between overhaul for propellers, governors, and accumulators. The following pages show mccauley’s mandatory specified time between overhaul for propellers. The following pages show mccauley’s mandatory specified time between overhaul for affected propellers. Every aircraft propeller manufacturer, including hartzell propeller, has a list of overhaul times for their props based on calendar time. Mccauley Propeller Governor Overhaul Times.
From www.qaa.com
McCauley Aircraft Prop/Propeller Governor DCFUS290D8/T3 QAA Mccauley Propeller Governor Overhaul Times The following pages show mccauley’s mandatory specified time between overhaul for affected propellers. The following pages show mccauley’s mandatory specified time between overhaul for propellers, governors, and accumulators. The following pages show mccauley’s mandatory specified time between overhaul for propellers. Time between propeller overhaul a. Every aircraft propeller manufacturer, including hartzell propeller, has a list of overhaul times for their. Mccauley Propeller Governor Overhaul Times.
From baspartsales.com
DCF290D7/T3 Cessna 402C McCauley Propeller Governor (PROP STRUCK) Mccauley Propeller Governor Overhaul Times The following pages show mccauley’s mandatory specified time between overhaul for propellers, governors, and accumulators. The following pages show mccauley’s mandatory specified time between overhaul for propellers. The following pages show mccauley’s mandatory specified time between overhaul for affected propellers. Time between propeller overhaul a. Every aircraft propeller manufacturer, including hartzell propeller, has a list of overhaul times for their. Mccauley Propeller Governor Overhaul Times.
From reclaimedaeroparts.com
PROPELLER GOVERNOR (McCAULEY) Reclaimed Aero Parts Mccauley Propeller Governor Overhaul Times Time between propeller overhaul a. The following pages show mccauley’s mandatory specified time between overhaul for affected propellers. Every aircraft propeller manufacturer, including hartzell propeller, has a list of overhaul times for their props based on calendar time (months or years) and flight hours. The following pages show mccauley’s mandatory specified time between overhaul for propellers, governors, and accumulators. The. Mccauley Propeller Governor Overhaul Times.
From baspartsales.com
C290D3A/T1 (USE D203091) Cessna 182 P/Q McCauley Propeller Governor Mccauley Propeller Governor Overhaul Times The following pages show mccauley’s mandatory specified time between overhaul for propellers. The following pages show mccauley’s mandatory specified time between overhaul for affected propellers. Every aircraft propeller manufacturer, including hartzell propeller, has a list of overhaul times for their props based on calendar time (months or years) and flight hours. Time between propeller overhaul a. The following pages show. Mccauley Propeller Governor Overhaul Times.
From baspartsales.com
DC290018 / T34 Piper PA24250 McCauley Propeller Governor Assembly Mccauley Propeller Governor Overhaul Times The following pages show mccauley’s mandatory specified time between overhaul for propellers, governors, and accumulators. The following pages show mccauley’s mandatory specified time between overhaul for propellers. The following pages show mccauley’s mandatory specified time between overhaul for affected propellers. Time between propeller overhaul a. Every aircraft propeller manufacturer, including hartzell propeller, has a list of overhaul times for their. Mccauley Propeller Governor Overhaul Times.
From baspartsales.com
C290D3F/T19 Continental IO550D3B McCauley Propeller Governor Assembly Mccauley Propeller Governor Overhaul Times The following pages show mccauley’s mandatory specified time between overhaul for affected propellers. The following pages show mccauley’s mandatory specified time between overhaul for propellers, governors, and accumulators. The following pages show mccauley’s mandatory specified time between overhaul for propellers. Time between propeller overhaul a. Every aircraft propeller manufacturer, including hartzell propeller, has a list of overhaul times for their. Mccauley Propeller Governor Overhaul Times.
From baspartsales.com
DCF290D7/T3 Cessna 402C McCauley Propeller Governor (PROP STRUCK) Mccauley Propeller Governor Overhaul Times The following pages show mccauley’s mandatory specified time between overhaul for propellers, governors, and accumulators. The following pages show mccauley’s mandatory specified time between overhaul for propellers. The following pages show mccauley’s mandatory specified time between overhaul for affected propellers. Time between propeller overhaul a. Every aircraft propeller manufacturer, including hartzell propeller, has a list of overhaul times for their. Mccauley Propeller Governor Overhaul Times.
From baspartsales.com
C290D4J/T2 Continental TSIO520R9 McCauley Propeller Governor (Prop Mccauley Propeller Governor Overhaul Times Every aircraft propeller manufacturer, including hartzell propeller, has a list of overhaul times for their props based on calendar time (months or years) and flight hours. The following pages show mccauley’s mandatory specified time between overhaul for affected propellers. The following pages show mccauley’s mandatory specified time between overhaul for propellers. The following pages show mccauley’s mandatory specified time between. Mccauley Propeller Governor Overhaul Times.
From baspartsales.com
C290D3A/T1 (USE D203091) Cessna 182 P/Q McCauley Propeller Governor Mccauley Propeller Governor Overhaul Times The following pages show mccauley’s mandatory specified time between overhaul for affected propellers. The following pages show mccauley’s mandatory specified time between overhaul for propellers. The following pages show mccauley’s mandatory specified time between overhaul for propellers, governors, and accumulators. Every aircraft propeller manufacturer, including hartzell propeller, has a list of overhaul times for their props based on calendar time. Mccauley Propeller Governor Overhaul Times.
From baspartsales.com
DC290018 / T34 Piper PA24250 McCauley Propeller Governor Assembly Mccauley Propeller Governor Overhaul Times Time between propeller overhaul a. The following pages show mccauley’s mandatory specified time between overhaul for propellers, governors, and accumulators. The following pages show mccauley’s mandatory specified time between overhaul for affected propellers. Every aircraft propeller manufacturer, including hartzell propeller, has a list of overhaul times for their props based on calendar time (months or years) and flight hours. The. Mccauley Propeller Governor Overhaul Times.
From www.aircraftpropellerworks.com
Governor Overhaul — Aircraft Propeller Works, Inc. Mccauley Propeller Governor Overhaul Times Every aircraft propeller manufacturer, including hartzell propeller, has a list of overhaul times for their props based on calendar time (months or years) and flight hours. Time between propeller overhaul a. The following pages show mccauley’s mandatory specified time between overhaul for propellers. The following pages show mccauley’s mandatory specified time between overhaul for affected propellers. The following pages show. Mccauley Propeller Governor Overhaul Times.
From baspartsales.com
DC290D1F/T37 IO540D4B5 McCauley Propeller Governor (Prop Mccauley Propeller Governor Overhaul Times The following pages show mccauley’s mandatory specified time between overhaul for propellers. The following pages show mccauley’s mandatory specified time between overhaul for affected propellers. The following pages show mccauley’s mandatory specified time between overhaul for propellers, governors, and accumulators. Every aircraft propeller manufacturer, including hartzell propeller, has a list of overhaul times for their props based on calendar time. Mccauley Propeller Governor Overhaul Times.
From baspartsales.com
DC290018 / T34 Piper PA24250 McCauley Propeller Governor Assembly Mccauley Propeller Governor Overhaul Times Every aircraft propeller manufacturer, including hartzell propeller, has a list of overhaul times for their props based on calendar time (months or years) and flight hours. Time between propeller overhaul a. The following pages show mccauley’s mandatory specified time between overhaul for propellers. The following pages show mccauley’s mandatory specified time between overhaul for affected propellers. The following pages show. Mccauley Propeller Governor Overhaul Times.
From baspartsales.com
DCF290D7/T3 Cessna 402C McCauley Propeller Governor (PROP STRUCK) Mccauley Propeller Governor Overhaul Times The following pages show mccauley’s mandatory specified time between overhaul for affected propellers. The following pages show mccauley’s mandatory specified time between overhaul for propellers, governors, and accumulators. Every aircraft propeller manufacturer, including hartzell propeller, has a list of overhaul times for their props based on calendar time (months or years) and flight hours. The following pages show mccauley’s mandatory. Mccauley Propeller Governor Overhaul Times.
From baspartsales.com
DCF290D7/T3 Cessna 402C McCauley Propeller Governor (PROP STRUCK) Mccauley Propeller Governor Overhaul Times Every aircraft propeller manufacturer, including hartzell propeller, has a list of overhaul times for their props based on calendar time (months or years) and flight hours. Time between propeller overhaul a. The following pages show mccauley’s mandatory specified time between overhaul for propellers, governors, and accumulators. The following pages show mccauley’s mandatory specified time between overhaul for propellers. The following. Mccauley Propeller Governor Overhaul Times.
From baspartsales.com
C290D3R/T23 Continental IO550N42 McCauley Propeller Governor (Prop Mccauley Propeller Governor Overhaul Times The following pages show mccauley’s mandatory specified time between overhaul for affected propellers. Time between propeller overhaul a. The following pages show mccauley’s mandatory specified time between overhaul for propellers. Every aircraft propeller manufacturer, including hartzell propeller, has a list of overhaul times for their props based on calendar time (months or years) and flight hours. The following pages show. Mccauley Propeller Governor Overhaul Times.
From reclaimedaeroparts.com
PROPELLER GOVERNOR (MCCAULEY) Reclaimed Aero Parts Mccauley Propeller Governor Overhaul Times The following pages show mccauley’s mandatory specified time between overhaul for propellers, governors, and accumulators. Every aircraft propeller manufacturer, including hartzell propeller, has a list of overhaul times for their props based on calendar time (months or years) and flight hours. The following pages show mccauley’s mandatory specified time between overhaul for propellers. The following pages show mccauley’s mandatory specified. Mccauley Propeller Governor Overhaul Times.
From reclaimedaeroparts.com
PROPELLER GOVERNOR (McCAULEY) Reclaimed Aero Parts Mccauley Propeller Governor Overhaul Times Time between propeller overhaul a. The following pages show mccauley’s mandatory specified time between overhaul for propellers, governors, and accumulators. Every aircraft propeller manufacturer, including hartzell propeller, has a list of overhaul times for their props based on calendar time (months or years) and flight hours. The following pages show mccauley’s mandatory specified time between overhaul for affected propellers. The. Mccauley Propeller Governor Overhaul Times.
From baspartsales.com
DCF290D7/T3 Cessna 402C McCauley Propeller Governor (PROP STRUCK) Mccauley Propeller Governor Overhaul Times The following pages show mccauley’s mandatory specified time between overhaul for affected propellers. The following pages show mccauley’s mandatory specified time between overhaul for propellers. Every aircraft propeller manufacturer, including hartzell propeller, has a list of overhaul times for their props based on calendar time (months or years) and flight hours. Time between propeller overhaul a. The following pages show. Mccauley Propeller Governor Overhaul Times.
From reclaimedaeroparts.com
PROPELLER GOVERNOR (MCCAULEY) Reclaimed Aero Parts Mccauley Propeller Governor Overhaul Times The following pages show mccauley’s mandatory specified time between overhaul for affected propellers. The following pages show mccauley’s mandatory specified time between overhaul for propellers, governors, and accumulators. The following pages show mccauley’s mandatory specified time between overhaul for propellers. Every aircraft propeller manufacturer, including hartzell propeller, has a list of overhaul times for their props based on calendar time. Mccauley Propeller Governor Overhaul Times.
From baspartsales.com
C290D3A/T1 (USE D203091) Cessna 182 P/Q McCauley Propeller Governor Mccauley Propeller Governor Overhaul Times The following pages show mccauley’s mandatory specified time between overhaul for affected propellers. The following pages show mccauley’s mandatory specified time between overhaul for propellers, governors, and accumulators. The following pages show mccauley’s mandatory specified time between overhaul for propellers. Time between propeller overhaul a. Every aircraft propeller manufacturer, including hartzell propeller, has a list of overhaul times for their. Mccauley Propeller Governor Overhaul Times.
From baspartsales.com
C290D3F/T19 Continental IO550D3B McCauley Propeller Governor Assembly Mccauley Propeller Governor Overhaul Times The following pages show mccauley’s mandatory specified time between overhaul for propellers. Time between propeller overhaul a. The following pages show mccauley’s mandatory specified time between overhaul for affected propellers. The following pages show mccauley’s mandatory specified time between overhaul for propellers, governors, and accumulators. Every aircraft propeller manufacturer, including hartzell propeller, has a list of overhaul times for their. Mccauley Propeller Governor Overhaul Times.
From alaskaslist.com
Alaska's List McCauley C290 Prop Governor For Sale Mccauley Propeller Governor Overhaul Times The following pages show mccauley’s mandatory specified time between overhaul for propellers. Every aircraft propeller manufacturer, including hartzell propeller, has a list of overhaul times for their props based on calendar time (months or years) and flight hours. The following pages show mccauley’s mandatory specified time between overhaul for affected propellers. Time between propeller overhaul a. The following pages show. Mccauley Propeller Governor Overhaul Times.
From offerup.com
McCauley Propeller Governor DC290D1 for Sale in Miami Beach, FL OfferUp Mccauley Propeller Governor Overhaul Times Time between propeller overhaul a. Every aircraft propeller manufacturer, including hartzell propeller, has a list of overhaul times for their props based on calendar time (months or years) and flight hours. The following pages show mccauley’s mandatory specified time between overhaul for affected propellers. The following pages show mccauley’s mandatory specified time between overhaul for propellers, governors, and accumulators. The. Mccauley Propeller Governor Overhaul Times.
From baspartsales.com
C290D3A/T1 (USE D203091) Cessna 182 P/Q McCauley Propeller Governor Mccauley Propeller Governor Overhaul Times The following pages show mccauley’s mandatory specified time between overhaul for propellers. Every aircraft propeller manufacturer, including hartzell propeller, has a list of overhaul times for their props based on calendar time (months or years) and flight hours. The following pages show mccauley’s mandatory specified time between overhaul for affected propellers. Time between propeller overhaul a. The following pages show. Mccauley Propeller Governor Overhaul Times.
From baspartsales.com
C290D4J/T2 Continental TSIO520R9 McCauley Propeller Governor (Prop Mccauley Propeller Governor Overhaul Times Every aircraft propeller manufacturer, including hartzell propeller, has a list of overhaul times for their props based on calendar time (months or years) and flight hours. The following pages show mccauley’s mandatory specified time between overhaul for propellers. The following pages show mccauley’s mandatory specified time between overhaul for propellers, governors, and accumulators. The following pages show mccauley’s mandatory specified. Mccauley Propeller Governor Overhaul Times.
From baspartsales.com
C290D3J/T9 Continental IO520FCD McCauley Propeller Governor (Prop Mccauley Propeller Governor Overhaul Times Every aircraft propeller manufacturer, including hartzell propeller, has a list of overhaul times for their props based on calendar time (months or years) and flight hours. The following pages show mccauley’s mandatory specified time between overhaul for propellers. The following pages show mccauley’s mandatory specified time between overhaul for affected propellers. Time between propeller overhaul a. The following pages show. Mccauley Propeller Governor Overhaul Times.