Threshold Energy For Chromium . Minimum displacement threshold energy, averaged displacement threshold energy, effective displacement energy, and parameters. To find the threshold is a naive way, we could calculate the velocity of the center of momentum frame as a function of the beam energy, then. Molecular dynamics (md) simulations are performed to investigate the directional dependence and the values of the threshold. The threshold energy for atomic displacement is found to be about equal in the two crystallographic directions ~ 100~ and ~ 111~ , although the. Applying models in discussions of the photoelectric effect, the minimum energy needed to remove an electron from the metal is called. We have studied the role of chromium on threshold displacement energies in fecr for the fusion reactor steel relevant.
from www.chegg.com
The threshold energy for atomic displacement is found to be about equal in the two crystallographic directions ~ 100~ and ~ 111~ , although the. To find the threshold is a naive way, we could calculate the velocity of the center of momentum frame as a function of the beam energy, then. Molecular dynamics (md) simulations are performed to investigate the directional dependence and the values of the threshold. Minimum displacement threshold energy, averaged displacement threshold energy, effective displacement energy, and parameters. We have studied the role of chromium on threshold displacement energies in fecr for the fusion reactor steel relevant. Applying models in discussions of the photoelectric effect, the minimum energy needed to remove an electron from the metal is called.
Calculate the threshold energy for the following
Threshold Energy For Chromium Applying models in discussions of the photoelectric effect, the minimum energy needed to remove an electron from the metal is called. Minimum displacement threshold energy, averaged displacement threshold energy, effective displacement energy, and parameters. The threshold energy for atomic displacement is found to be about equal in the two crystallographic directions ~ 100~ and ~ 111~ , although the. To find the threshold is a naive way, we could calculate the velocity of the center of momentum frame as a function of the beam energy, then. We have studied the role of chromium on threshold displacement energies in fecr for the fusion reactor steel relevant. Molecular dynamics (md) simulations are performed to investigate the directional dependence and the values of the threshold. Applying models in discussions of the photoelectric effect, the minimum energy needed to remove an electron from the metal is called.
From www.alamy.com
Graph of Progress of Reaction and Threshold energy Stock Vector Image Threshold Energy For Chromium Applying models in discussions of the photoelectric effect, the minimum energy needed to remove an electron from the metal is called. To find the threshold is a naive way, we could calculate the velocity of the center of momentum frame as a function of the beam energy, then. We have studied the role of chromium on threshold displacement energies in. Threshold Energy For Chromium.
From byjus.com
26. What is difference between threshold energy and activation energy? Threshold Energy For Chromium The threshold energy for atomic displacement is found to be about equal in the two crystallographic directions ~ 100~ and ~ 111~ , although the. Applying models in discussions of the photoelectric effect, the minimum energy needed to remove an electron from the metal is called. Molecular dynamics (md) simulations are performed to investigate the directional dependence and the values. Threshold Energy For Chromium.
From gist.github.com
Plot neutron reaction threshold energy for an isotopes. Setup to show Threshold Energy For Chromium Minimum displacement threshold energy, averaged displacement threshold energy, effective displacement energy, and parameters. Applying models in discussions of the photoelectric effect, the minimum energy needed to remove an electron from the metal is called. To find the threshold is a naive way, we could calculate the velocity of the center of momentum frame as a function of the beam energy,. Threshold Energy For Chromium.
From www.chegg.com
Calculate the threshold energy for the following Threshold Energy For Chromium Molecular dynamics (md) simulations are performed to investigate the directional dependence and the values of the threshold. The threshold energy for atomic displacement is found to be about equal in the two crystallographic directions ~ 100~ and ~ 111~ , although the. Applying models in discussions of the photoelectric effect, the minimum energy needed to remove an electron from the. Threshold Energy For Chromium.
From www.researchgate.net
The threshold energy of the СННН process versus temperature for the Threshold Energy For Chromium Molecular dynamics (md) simulations are performed to investigate the directional dependence and the values of the threshold. Applying models in discussions of the photoelectric effect, the minimum energy needed to remove an electron from the metal is called. The threshold energy for atomic displacement is found to be about equal in the two crystallographic directions ~ 100~ and ~ 111~. Threshold Energy For Chromium.
From animalia-life.club
Chromium Orbital Diagram Threshold Energy For Chromium Applying models in discussions of the photoelectric effect, the minimum energy needed to remove an electron from the metal is called. Minimum displacement threshold energy, averaged displacement threshold energy, effective displacement energy, and parameters. We have studied the role of chromium on threshold displacement energies in fecr for the fusion reactor steel relevant. Molecular dynamics (md) simulations are performed to. Threshold Energy For Chromium.
From byjus.com
What happens when the energy of a reaction if more than threshold Threshold Energy For Chromium We have studied the role of chromium on threshold displacement energies in fecr for the fusion reactor steel relevant. The threshold energy for atomic displacement is found to be about equal in the two crystallographic directions ~ 100~ and ~ 111~ , although the. Applying models in discussions of the photoelectric effect, the minimum energy needed to remove an electron. Threshold Energy For Chromium.
From www.researchgate.net
Temperature dependence of Gibbs energy for chromium reduction with Threshold Energy For Chromium Molecular dynamics (md) simulations are performed to investigate the directional dependence and the values of the threshold. The threshold energy for atomic displacement is found to be about equal in the two crystallographic directions ~ 100~ and ~ 111~ , although the. We have studied the role of chromium on threshold displacement energies in fecr for the fusion reactor steel. Threshold Energy For Chromium.
From www.researchgate.net
Excitation function of the 89 Y(n,p) 89 Sr reaction. E th threshold Threshold Energy For Chromium Minimum displacement threshold energy, averaged displacement threshold energy, effective displacement energy, and parameters. Molecular dynamics (md) simulations are performed to investigate the directional dependence and the values of the threshold. We have studied the role of chromium on threshold displacement energies in fecr for the fusion reactor steel relevant. The threshold energy for atomic displacement is found to be about. Threshold Energy For Chromium.
From www.slideserve.com
PPT Radioactivity 29.3 PowerPoint Presentation ID2979284 Threshold Energy For Chromium We have studied the role of chromium on threshold displacement energies in fecr for the fusion reactor steel relevant. To find the threshold is a naive way, we could calculate the velocity of the center of momentum frame as a function of the beam energy, then. Minimum displacement threshold energy, averaged displacement threshold energy, effective displacement energy, and parameters. Applying. Threshold Energy For Chromium.
From www.slideserve.com
PPT CHEM 312 Lecture 9 Nuclear Reactions PowerPoint Presentation Threshold Energy For Chromium To find the threshold is a naive way, we could calculate the velocity of the center of momentum frame as a function of the beam energy, then. Applying models in discussions of the photoelectric effect, the minimum energy needed to remove an electron from the metal is called. The threshold energy for atomic displacement is found to be about equal. Threshold Energy For Chromium.
From www.researchgate.net
Decay data and threshold energy for the contributing reactions Threshold Energy For Chromium Applying models in discussions of the photoelectric effect, the minimum energy needed to remove an electron from the metal is called. Minimum displacement threshold energy, averaged displacement threshold energy, effective displacement energy, and parameters. The threshold energy for atomic displacement is found to be about equal in the two crystallographic directions ~ 100~ and ~ 111~ , although the. We. Threshold Energy For Chromium.
From byjus.com
What is threshold frequency and threshold energy? Threshold Energy For Chromium Applying models in discussions of the photoelectric effect, the minimum energy needed to remove an electron from the metal is called. Molecular dynamics (md) simulations are performed to investigate the directional dependence and the values of the threshold. To find the threshold is a naive way, we could calculate the velocity of the center of momentum frame as a function. Threshold Energy For Chromium.
From mungfali.com
Orbital Diagram Of Chromium Threshold Energy For Chromium Applying models in discussions of the photoelectric effect, the minimum energy needed to remove an electron from the metal is called. To find the threshold is a naive way, we could calculate the velocity of the center of momentum frame as a function of the beam energy, then. Minimum displacement threshold energy, averaged displacement threshold energy, effective displacement energy, and. Threshold Energy For Chromium.
From www.researchgate.net
(Color online). Schematic of the threshold energy for pairbreaking Threshold Energy For Chromium Molecular dynamics (md) simulations are performed to investigate the directional dependence and the values of the threshold. Minimum displacement threshold energy, averaged displacement threshold energy, effective displacement energy, and parameters. The threshold energy for atomic displacement is found to be about equal in the two crystallographic directions ~ 100~ and ~ 111~ , although the. We have studied the role. Threshold Energy For Chromium.
From byjus.com
What happens when the energy of a reaction if more than threshold Threshold Energy For Chromium Molecular dynamics (md) simulations are performed to investigate the directional dependence and the values of the threshold. Applying models in discussions of the photoelectric effect, the minimum energy needed to remove an electron from the metal is called. We have studied the role of chromium on threshold displacement energies in fecr for the fusion reactor steel relevant. To find the. Threshold Energy For Chromium.
From www.researchgate.net
Examples on how much more specific metals the green energy transition Threshold Energy For Chromium Molecular dynamics (md) simulations are performed to investigate the directional dependence and the values of the threshold. We have studied the role of chromium on threshold displacement energies in fecr for the fusion reactor steel relevant. To find the threshold is a naive way, we could calculate the velocity of the center of momentum frame as a function of the. Threshold Energy For Chromium.
From www.chegg.com
Solved Calculate the threshold energy for the following Threshold Energy For Chromium Applying models in discussions of the photoelectric effect, the minimum energy needed to remove an electron from the metal is called. Molecular dynamics (md) simulations are performed to investigate the directional dependence and the values of the threshold. To find the threshold is a naive way, we could calculate the velocity of the center of momentum frame as a function. Threshold Energy For Chromium.
From wireengineaphorising.z14.web.core.windows.net
Orbital Energy Diagram For Chromium Threshold Energy For Chromium Applying models in discussions of the photoelectric effect, the minimum energy needed to remove an electron from the metal is called. To find the threshold is a naive way, we could calculate the velocity of the center of momentum frame as a function of the beam energy, then. Molecular dynamics (md) simulations are performed to investigate the directional dependence and. Threshold Energy For Chromium.
From exatin.info
Orbital Diagram For Chromium exatin.info Threshold Energy For Chromium To find the threshold is a naive way, we could calculate the velocity of the center of momentum frame as a function of the beam energy, then. The threshold energy for atomic displacement is found to be about equal in the two crystallographic directions ~ 100~ and ~ 111~ , although the. Molecular dynamics (md) simulations are performed to investigate. Threshold Energy For Chromium.
From www.youtube.com
25) Activation Energy and Threshold Energy Class12 Chemical Threshold Energy For Chromium We have studied the role of chromium on threshold displacement energies in fecr for the fusion reactor steel relevant. To find the threshold is a naive way, we could calculate the velocity of the center of momentum frame as a function of the beam energy, then. Molecular dynamics (md) simulations are performed to investigate the directional dependence and the values. Threshold Energy For Chromium.
From www.numerade.com
SOLVEDDetermine the Q value and the threshold energy for 8^16 O+ 0^1 Threshold Energy For Chromium To find the threshold is a naive way, we could calculate the velocity of the center of momentum frame as a function of the beam energy, then. The threshold energy for atomic displacement is found to be about equal in the two crystallographic directions ~ 100~ and ~ 111~ , although the. Minimum displacement threshold energy, averaged displacement threshold energy,. Threshold Energy For Chromium.
From www.researchgate.net
Excerpts from Atomic Energy Levels of chromium Download Scientific Threshold Energy For Chromium Applying models in discussions of the photoelectric effect, the minimum energy needed to remove an electron from the metal is called. We have studied the role of chromium on threshold displacement energies in fecr for the fusion reactor steel relevant. Minimum displacement threshold energy, averaged displacement threshold energy, effective displacement energy, and parameters. The threshold energy for atomic displacement is. Threshold Energy For Chromium.
From www.researchgate.net
Potential energy profile for the chromium atom and acetylene reactions Threshold Energy For Chromium The threshold energy for atomic displacement is found to be about equal in the two crystallographic directions ~ 100~ and ~ 111~ , although the. Molecular dynamics (md) simulations are performed to investigate the directional dependence and the values of the threshold. To find the threshold is a naive way, we could calculate the velocity of the center of momentum. Threshold Energy For Chromium.
From general.chemistrysteps.com
Ionization energy Chemistry Steps Threshold Energy For Chromium Applying models in discussions of the photoelectric effect, the minimum energy needed to remove an electron from the metal is called. The threshold energy for atomic displacement is found to be about equal in the two crystallographic directions ~ 100~ and ~ 111~ , although the. Minimum displacement threshold energy, averaged displacement threshold energy, effective displacement energy, and parameters. To. Threshold Energy For Chromium.
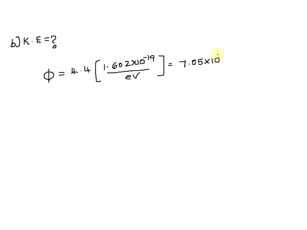
From www.numerade.com
SOLVED The work function of chromium is 4.40 eV. Calculate the Threshold Energy For Chromium To find the threshold is a naive way, we could calculate the velocity of the center of momentum frame as a function of the beam energy, then. Molecular dynamics (md) simulations are performed to investigate the directional dependence and the values of the threshold. We have studied the role of chromium on threshold displacement energies in fecr for the fusion. Threshold Energy For Chromium.
From www.researchgate.net
Temperature dependence of the threshold field E th of single crystals Threshold Energy For Chromium Molecular dynamics (md) simulations are performed to investigate the directional dependence and the values of the threshold. To find the threshold is a naive way, we could calculate the velocity of the center of momentum frame as a function of the beam energy, then. Minimum displacement threshold energy, averaged displacement threshold energy, effective displacement energy, and parameters. We have studied. Threshold Energy For Chromium.
From www.chegg.com
Solved Calculate the threshold energy for the following Threshold Energy For Chromium The threshold energy for atomic displacement is found to be about equal in the two crystallographic directions ~ 100~ and ~ 111~ , although the. Molecular dynamics (md) simulations are performed to investigate the directional dependence and the values of the threshold. Applying models in discussions of the photoelectric effect, the minimum energy needed to remove an electron from the. Threshold Energy For Chromium.
From www.toppr.com
The energy profile for the reaction CO(g) + NO2(g) CO2(g) + NO(g) is Threshold Energy For Chromium Applying models in discussions of the photoelectric effect, the minimum energy needed to remove an electron from the metal is called. We have studied the role of chromium on threshold displacement energies in fecr for the fusion reactor steel relevant. The threshold energy for atomic displacement is found to be about equal in the two crystallographic directions ~ 100~ and. Threshold Energy For Chromium.
From socratic.org
What is activation energy? What is threshold energy? What are the Threshold Energy For Chromium We have studied the role of chromium on threshold displacement energies in fecr for the fusion reactor steel relevant. Molecular dynamics (md) simulations are performed to investigate the directional dependence and the values of the threshold. The threshold energy for atomic displacement is found to be about equal in the two crystallographic directions ~ 100~ and ~ 111~ , although. Threshold Energy For Chromium.
From www.youtube.com
Explain the terms Threshold energy 12 CHEMICAL Threshold Energy For Chromium Molecular dynamics (md) simulations are performed to investigate the directional dependence and the values of the threshold. The threshold energy for atomic displacement is found to be about equal in the two crystallographic directions ~ 100~ and ~ 111~ , although the. We have studied the role of chromium on threshold displacement energies in fecr for the fusion reactor steel. Threshold Energy For Chromium.
From www.youtube.com
A metal has a threshold wavelength fo `6000 Å`. Calculate (i) threshold Threshold Energy For Chromium We have studied the role of chromium on threshold displacement energies in fecr for the fusion reactor steel relevant. To find the threshold is a naive way, we could calculate the velocity of the center of momentum frame as a function of the beam energy, then. Applying models in discussions of the photoelectric effect, the minimum energy needed to remove. Threshold Energy For Chromium.
From educationbedpan.z21.web.core.windows.net
What Is A Threshold Frequency Threshold Energy For Chromium Applying models in discussions of the photoelectric effect, the minimum energy needed to remove an electron from the metal is called. To find the threshold is a naive way, we could calculate the velocity of the center of momentum frame as a function of the beam energy, then. Minimum displacement threshold energy, averaged displacement threshold energy, effective displacement energy, and. Threshold Energy For Chromium.
From www.researchgate.net
The threshold energy, √ s th , for K + Λ and K + Σ Download Threshold Energy For Chromium The threshold energy for atomic displacement is found to be about equal in the two crystallographic directions ~ 100~ and ~ 111~ , although the. To find the threshold is a naive way, we could calculate the velocity of the center of momentum frame as a function of the beam energy, then. Minimum displacement threshold energy, averaged displacement threshold energy,. Threshold Energy For Chromium.
From www.researchgate.net
Simplified Chromium energy scheme, showing the relevant levels and Threshold Energy For Chromium Molecular dynamics (md) simulations are performed to investigate the directional dependence and the values of the threshold. To find the threshold is a naive way, we could calculate the velocity of the center of momentum frame as a function of the beam energy, then. The threshold energy for atomic displacement is found to be about equal in the two crystallographic. Threshold Energy For Chromium.