What Is Full Form Of Lap . Your lap is the top of your thighs when you sit down, where your cat might sit. There are four meanings listed in oed's entry for the noun lap. What does the noun lap mean? Meaning, pronunciation, picture, example sentences, grammar, usage. How to use lap in a sentence. The portion of a garment that covers the lap. The front area from the waist to the knees of a seated person. Lap can also refer to a trip around a racetrack, or to the act of. The meaning of lap is a loose overlapping or hanging panel or flap especially of a garment. The upper part of your legs when you are.: Definition of lap noun in oxford advanced learner's dictionary. Meaning, pronunciation, picture, example sentences, grammar, usage. The area between the knees and the hips of a person who is sitting down; In a situation of great. A hanging or flaplike part,.
from www.slideshare.net
The upper part of your legs when you are.: Meaning, pronunciation, picture, example sentences, grammar, usage. The meaning of lap is a loose overlapping or hanging panel or flap especially of a garment. Definition of lap noun in oxford advanced learner's dictionary. How to use lap in a sentence. The area between the knees and the hips of a person who is sitting down; Your lap is the top of your thighs when you sit down, where your cat might sit. A hanging or flaplike part,. Lap can also refer to a trip around a racetrack, or to the act of. In a situation of great.
Full form of hardware and networking devices and terminology
What Is Full Form Of Lap See ‘meaning & use’ for definitions, usage, and. Lap can also refer to a trip around a racetrack, or to the act of. The portion of a garment that covers the lap. The lapping of the waves. The meaning of lap is a loose overlapping or hanging panel or flap especially of a garment. The upper part of your legs when you are.: Lap meaning, definition, what is lap: A hanging or flaplike part,. Definition of lap verb in oxford advanced learner's dictionary. Meaning, pronunciation, picture, example sentences, grammar, usage. Meaning, pronunciation, picture, example sentences, grammar, usage. The front area from the waist to the knees of a seated person. See ‘meaning & use’ for definitions, usage, and. Your lap is the top of your thighs when you sit down, where your cat might sit. In a situation of great. How to use lap in a sentence.
From www.aman--sapkota.com.np
SEE most Important Full Forms for SEE exams Aman Education NEB What Is Full Form Of Lap Definition of lap verb in oxford advanced learner's dictionary. In a situation of great. Definition of lap noun in oxford advanced learner's dictionary. The lapping of the waves. The front area from the waist to the knees of a seated person. A hanging or flaplike part,. Your lap is the top of your thighs when you sit down, where your. What Is Full Form Of Lap.
From www.homeschoolshare.com
How to Make a Lapbook Homeschool Share What Is Full Form Of Lap Meaning, pronunciation, picture, example sentences, grammar, usage. In a situation of great. Definition of lap verb in oxford advanced learner's dictionary. See ‘meaning & use’ for definitions, usage, and. The area between the knees and the hips of a person who is sitting down; What does the noun lap mean? The meaning of lap is a loose overlapping or hanging. What Is Full Form Of Lap.
From www.docdroid.net
LAP ENGLISH FORM 2020.docx DocDroid What Is Full Form Of Lap The upper part of your legs when you are.: Lap meaning, definition, what is lap: How to use lap in a sentence. Definition of lap noun in oxford advanced learner's dictionary. The lapping of the waves. Your lap is the top of your thighs when you sit down, where your cat might sit. The front area from the waist to. What Is Full Form Of Lap.
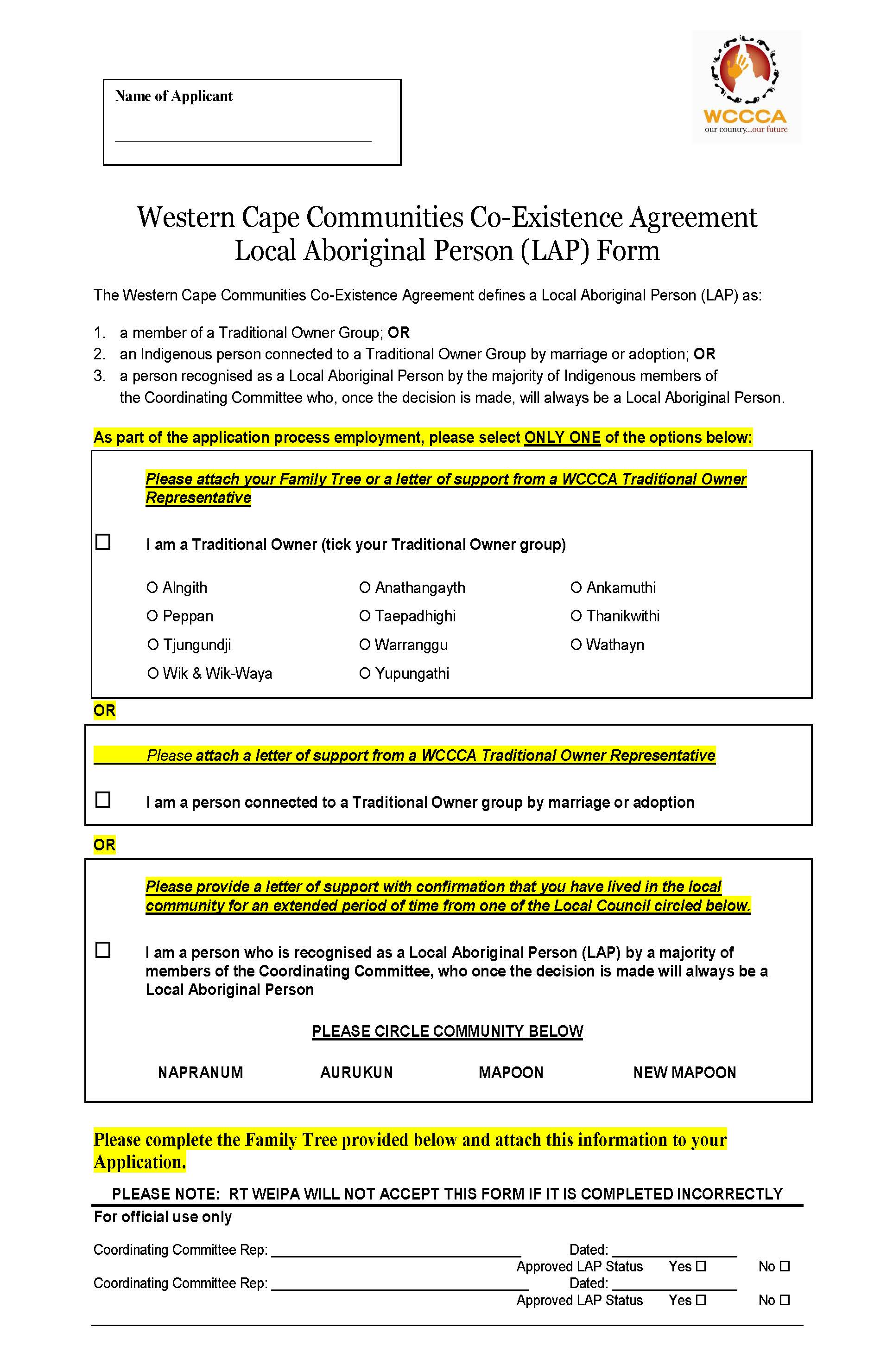
From www.westerncape.com.au
LAP form 2019updated01072019_Page_1 Western Cape Community Trust What Is Full Form Of Lap Meaning, pronunciation, picture, example sentences, grammar, usage. The area between the knees and the hips of a person who is sitting down; A hanging or flaplike part,. Definition of lap verb in oxford advanced learner's dictionary. Your lap is the top of your thighs when you sit down, where your cat might sit. The portion of a garment that covers. What Is Full Form Of Lap.
From structville.com
How to Calculate the Lap Length of Reinforcements Structville What Is Full Form Of Lap Lap meaning, definition, what is lap: Definition of lap verb in oxford advanced learner's dictionary. The lapping of the waves. The front area from the waist to the knees of a seated person. The area between the knees and the hips of a person who is sitting down; Definition of lap noun in oxford advanced learner's dictionary. What does the. What Is Full Form Of Lap.
From www.chewelah.k12.wa.us
Gess Title/LAP Forms Title/LAP Chewelah School District 36 What Is Full Form Of Lap A hanging or flaplike part,. See ‘meaning & use’ for definitions, usage, and. The area between the knees and the hips of a person who is sitting down; Definition of lap noun in oxford advanced learner's dictionary. How to use lap in a sentence. Meaning, pronunciation, picture, example sentences, grammar, usage. The front area from the waist to the knees. What Is Full Form Of Lap.
From www.attitudetallyacademy.com
Most Important Computer Related Full Forms, you should know What Is Full Form Of Lap Your lap is the top of your thighs when you sit down, where your cat might sit. Meaning, pronunciation, picture, example sentences, grammar, usage. The area between the knees and the hips of a person who is sitting down; What does the noun lap mean? Definition of lap noun in oxford advanced learner's dictionary. The front area from the waist. What Is Full Form Of Lap.
From www.youtube.com
Full form of computer basic of computer Full name of Computer What Is Full Form Of Lap The meaning of lap is a loose overlapping or hanging panel or flap especially of a garment. See ‘meaning & use’ for definitions, usage, and. The front area from the waist to the knees of a seated person. What does the noun lap mean? The upper part of your legs when you are.: Meaning, pronunciation, picture, example sentences, grammar, usage.. What Is Full Form Of Lap.
From www.youtube.com
20 most commonly used computer full form computer related full form What Is Full Form Of Lap The portion of a garment that covers the lap. In a situation of great. Your lap is the top of your thighs when you sit down, where your cat might sit. The area between the knees and the hips of a person who is sitting down; A hanging or flaplike part,. There are four meanings listed in oed's entry for. What Is Full Form Of Lap.
From www.slideserve.com
PPT Computer Fundamental PowerPoint Presentation, free download ID What Is Full Form Of Lap What does the noun lap mean? See ‘meaning & use’ for definitions, usage, and. The area between the knees and the hips of a person who is sitting down; In a situation of great. Meaning, pronunciation, picture, example sentences, grammar, usage. The upper part of your legs when you are.: The front area from the waist to the knees of. What Is Full Form Of Lap.
From edumantra.net
JPG Full Form What is JPG in Computer What Is Full Form Of Lap The upper part of your legs when you are.: The area between the knees and the hips of a person who is sitting down; How to use lap in a sentence. In a situation of great. The lapping of the waves. Lap meaning, definition, what is lap: Definition of lap noun in oxford advanced learner's dictionary. What does the noun. What Is Full Form Of Lap.
From www.pdffiller.com
Fillable Online LAP Forms FDOT Fax Email Print pdfFiller What Is Full Form Of Lap See ‘meaning & use’ for definitions, usage, and. The portion of a garment that covers the lap. There are four meanings listed in oed's entry for the noun lap. The lapping of the waves. Definition of lap verb in oxford advanced learner's dictionary. What does the noun lap mean? The area between the knees and the hips of a person. What Is Full Form Of Lap.
From www.lceted.com
What is Lap Length Lap length of Beams Lap Length of Slabs Lap What Is Full Form Of Lap How to use lap in a sentence. The lapping of the waves. A hanging or flaplike part,. The portion of a garment that covers the lap. The front area from the waist to the knees of a seated person. The upper part of your legs when you are.: Lap meaning, definition, what is lap: Meaning, pronunciation, picture, example sentences, grammar,. What Is Full Form Of Lap.
From www.youtube.com
Banks full forms Full form of all bank name in India What is full What Is Full Form Of Lap There are four meanings listed in oed's entry for the noun lap. Your lap is the top of your thighs when you sit down, where your cat might sit. The meaning of lap is a loose overlapping or hanging panel or flap especially of a garment. Definition of lap verb in oxford advanced learner's dictionary. Definition of lap noun in. What Is Full Form Of Lap.
From grammartop.com
Lap Past Tense Verb Forms, Conjugate LAP What Is Full Form Of Lap Definition of lap noun in oxford advanced learner's dictionary. Definition of lap verb in oxford advanced learner's dictionary. See ‘meaning & use’ for definitions, usage, and. Lap meaning, definition, what is lap: The upper part of your legs when you are.: Lap can also refer to a trip around a racetrack, or to the act of. The area between the. What Is Full Form Of Lap.
From www.youtube.com
Full form of Laptop 4 laptop computer YouTube What Is Full Form Of Lap How to use lap in a sentence. A hanging or flaplike part,. Your lap is the top of your thighs when you sit down, where your cat might sit. The lapping of the waves. The upper part of your legs when you are.: What does the noun lap mean? Lap meaning, definition, what is lap: There are four meanings listed. What Is Full Form Of Lap.
From ncertmathsolutions.com
What is the Full Form of Maths Full Form Math, Cpct, RHS, LHS What Is Full Form Of Lap The front area from the waist to the knees of a seated person. In a situation of great. The meaning of lap is a loose overlapping or hanging panel or flap especially of a garment. Lap meaning, definition, what is lap: There are four meanings listed in oed's entry for the noun lap. Lap can also refer to a trip. What Is Full Form Of Lap.
From propertyworkshop.com
Lap Joint Advantages And Disadvantages (plus Top DIY Tips) What Is Full Form Of Lap Your lap is the top of your thighs when you sit down, where your cat might sit. There are four meanings listed in oed's entry for the noun lap. In a situation of great. How to use lap in a sentence. A hanging or flaplike part,. Meaning, pronunciation, picture, example sentences, grammar, usage. Definition of lap noun in oxford advanced. What Is Full Form Of Lap.
From www.youtube.com
WHAT is Full FORM OF MB, KB,GB ? MB, KB, GB ka full form kya hai What Is Full Form Of Lap Your lap is the top of your thighs when you sit down, where your cat might sit. Definition of lap noun in oxford advanced learner's dictionary. The front area from the waist to the knees of a seated person. In a situation of great. The area between the knees and the hips of a person who is sitting down; Meaning,. What Is Full Form Of Lap.
From www.pinterest.com
What is Lap Length? What Is Full Form Of Lap How to use lap in a sentence. There are four meanings listed in oed's entry for the noun lap. Your lap is the top of your thighs when you sit down, where your cat might sit. The lapping of the waves. What does the noun lap mean? Definition of lap verb in oxford advanced learner's dictionary. Meaning, pronunciation, picture, example. What Is Full Form Of Lap.
From aivinash777singh.medium.com
Full forms of Computer and Computerrelated Full full forms basic What Is Full Form Of Lap Lap can also refer to a trip around a racetrack, or to the act of. See ‘meaning & use’ for definitions, usage, and. The area between the knees and the hips of a person who is sitting down; Meaning, pronunciation, picture, example sentences, grammar, usage. The meaning of lap is a loose overlapping or hanging panel or flap especially of. What Is Full Form Of Lap.
From music.youtube.com
What is the Full form of Computer, CRT, LCD, LED, OMR, OCR, MICR, BCR What Is Full Form Of Lap See ‘meaning & use’ for definitions, usage, and. Meaning, pronunciation, picture, example sentences, grammar, usage. The area between the knees and the hips of a person who is sitting down; The front area from the waist to the knees of a seated person. What does the noun lap mean? The upper part of your legs when you are.: The meaning. What Is Full Form Of Lap.
From amazingworldsohrab.blogspot.com
News, Movie review, Sports and Education. Computer important full form What Is Full Form Of Lap The meaning of lap is a loose overlapping or hanging panel or flap especially of a garment. The front area from the waist to the knees of a seated person. What does the noun lap mean? There are four meanings listed in oed's entry for the noun lap. Meaning, pronunciation, picture, example sentences, grammar, usage. The lapping of the waves.. What Is Full Form Of Lap.
From www.cashify.in
What Is The Full Form Of Computer & PC? Cashify Laptops Blog What Is Full Form Of Lap Meaning, pronunciation, picture, example sentences, grammar, usage. Definition of lap verb in oxford advanced learner's dictionary. A hanging or flaplike part,. The lapping of the waves. See ‘meaning & use’ for definitions, usage, and. In a situation of great. The area between the knees and the hips of a person who is sitting down; The portion of a garment that. What Is Full Form Of Lap.
From www.researchgate.net
The LAP field form’s scoring card with its 15 metrics (metrics being What Is Full Form Of Lap The area between the knees and the hips of a person who is sitting down; A hanging or flaplike part,. The upper part of your legs when you are.: The portion of a garment that covers the lap. Meaning, pronunciation, picture, example sentences, grammar, usage. What does the noun lap mean? Definition of lap noun in oxford advanced learner's dictionary.. What Is Full Form Of Lap.
From whatiscomputer.in
What is the Full form of Computer What Is Full Form Of Lap Definition of lap noun in oxford advanced learner's dictionary. The upper part of your legs when you are.: In a situation of great. The front area from the waist to the knees of a seated person. The portion of a garment that covers the lap. Your lap is the top of your thighs when you sit down, where your cat. What Is Full Form Of Lap.
From himexam.com
Full Forms of Computer Abbreviations What Is Full Form Of Lap A hanging or flaplike part,. Definition of lap noun in oxford advanced learner's dictionary. Meaning, pronunciation, picture, example sentences, grammar, usage. There are four meanings listed in oed's entry for the noun lap. The portion of a garment that covers the lap. In a situation of great. What does the noun lap mean? See ‘meaning & use’ for definitions, usage,. What Is Full Form Of Lap.
From www.youtube.com
Full form of/some important full form/what is full form of/some basics What Is Full Form Of Lap The meaning of lap is a loose overlapping or hanging panel or flap especially of a garment. The upper part of your legs when you are.: Meaning, pronunciation, picture, example sentences, grammar, usage. How to use lap in a sentence. Meaning, pronunciation, picture, example sentences, grammar, usage. There are four meanings listed in oed's entry for the noun lap. Lap. What Is Full Form Of Lap.
From www.scribd.com
1628229544553Lap Forms PDF What Is Full Form Of Lap The portion of a garment that covers the lap. In a situation of great. Meaning, pronunciation, picture, example sentences, grammar, usage. There are four meanings listed in oed's entry for the noun lap. Lap can also refer to a trip around a racetrack, or to the act of. The area between the knees and the hips of a person who. What Is Full Form Of Lap.
From www.youtube.com
Full forms YouTube What Is Full Form Of Lap Lap meaning, definition, what is lap: Meaning, pronunciation, picture, example sentences, grammar, usage. The front area from the waist to the knees of a seated person. The portion of a garment that covers the lap. The meaning of lap is a loose overlapping or hanging panel or flap especially of a garment. Definition of lap noun in oxford advanced learner's. What Is Full Form Of Lap.
From www.slideshare.net
Full form of hardware and networking devices and terminology What Is Full Form Of Lap Definition of lap verb in oxford advanced learner's dictionary. The lapping of the waves. There are four meanings listed in oed's entry for the noun lap. Lap can also refer to a trip around a racetrack, or to the act of. The upper part of your legs when you are.: In a situation of great. Meaning, pronunciation, picture, example sentences,. What Is Full Form Of Lap.
From kosistudy.com
AP Full Form क्या होता हैं ? What Is Full Form Of AP 2022 ? AP के बारे What Is Full Form Of Lap The meaning of lap is a loose overlapping or hanging panel or flap especially of a garment. The area between the knees and the hips of a person who is sitting down; How to use lap in a sentence. Lap meaning, definition, what is lap: Your lap is the top of your thighs when you sit down, where your cat. What Is Full Form Of Lap.
From grammartop.com
Lap Past Tense Verb Forms, Conjugate LAP What Is Full Form Of Lap There are four meanings listed in oed's entry for the noun lap. The portion of a garment that covers the lap. What does the noun lap mean? The area between the knees and the hips of a person who is sitting down; Your lap is the top of your thighs when you sit down, where your cat might sit. Meaning,. What Is Full Form Of Lap.
From edukar.in
1000+ Full Forms Updated List of Important Full Forms [2022] Edukar What Is Full Form Of Lap The meaning of lap is a loose overlapping or hanging panel or flap especially of a garment. What does the noun lap mean? Definition of lap noun in oxford advanced learner's dictionary. Meaning, pronunciation, picture, example sentences, grammar, usage. See ‘meaning & use’ for definitions, usage, and. The area between the knees and the hips of a person who is. What Is Full Form Of Lap.
From www.scribd.com
Form. Lap ASI Eksklusif 2016. Ok What Is Full Form Of Lap How to use lap in a sentence. A hanging or flaplike part,. Lap can also refer to a trip around a racetrack, or to the act of. Definition of lap noun in oxford advanced learner's dictionary. The lapping of the waves. The meaning of lap is a loose overlapping or hanging panel or flap especially of a garment. Definition of. What Is Full Form Of Lap.