Constant Velocity Of 100 Km Per Hour . You should use the average velocity formula if you can divide your route into few segments. From this, you know how far you will drive if you keep the speed constant. In this section we will look at time, speed, and velocity to expand our understanding of motion. Calculate rate of speed given distance and time. How far will you have traveled by the end of. It reads 100 kilometers per hour. Calculate velocity and speed given initial position,. A description of how fast or slow an object moves. Explain the relationships between instantaneous velocity, average velocity, instantaneous speed, average speed, displacement, and time. Find mph, miles per hour, km/hour. Imagine you are riding a bicycle at a constant speed of 10 meters per second (m/s) for 1 minute. You glance down at the speedometer of your car; When a body moves with constantly changing velocity then average velocity is used to give an idea of overall velocity. Velocity is speed with a direction. Speed is how fast something moves.
from www.tutoroot.com
Average velocity = (velocity₁ × time₁ + velocity₂ × time₂ +.) / total time. You glance down at the speedometer of your car; You should use the average velocity formula if you can divide your route into few segments. Find mph, miles per hour, km/hour. It reads 100 kilometers per hour. How far will you have traveled by the end of. It is possible that the. Explain the relationships between instantaneous velocity, average velocity, instantaneous speed, average speed, displacement, and time. When a body moves with constantly changing velocity then average velocity is used to give an idea of overall velocity. Imagine you are riding a bicycle at a constant speed of 10 meters per second (m/s) for 1 minute.
What is Velocity? Definition, Formula, Examples Tutoroot
Constant Velocity Of 100 Km Per Hour You glance down at the speedometer of your car; From this, you know how far you will drive if you keep the speed constant. Explain the relationships between instantaneous velocity, average velocity, instantaneous speed, average speed, displacement, and time. How far will you have traveled by the end of. You should use the average velocity formula if you can divide your route into few segments. It reads 100 kilometers per hour. It is possible that the. Calculate velocity and speed given initial position,. You glance down at the speedometer of your car; Imagine you are riding a bicycle at a constant speed of 10 meters per second (m/s) for 1 minute. When a body moves with constantly changing velocity then average velocity is used to give an idea of overall velocity. Calculate rate of speed given distance and time. Velocity is speed with a direction. Find mph, miles per hour, km/hour. Solve for speed, distance, time and rate with formulas s=d/t, d=st, d=rt, t=d/s. Average velocity = (velocity₁ × time₁ + velocity₂ × time₂ +.) / total time.
From www.numerade.com
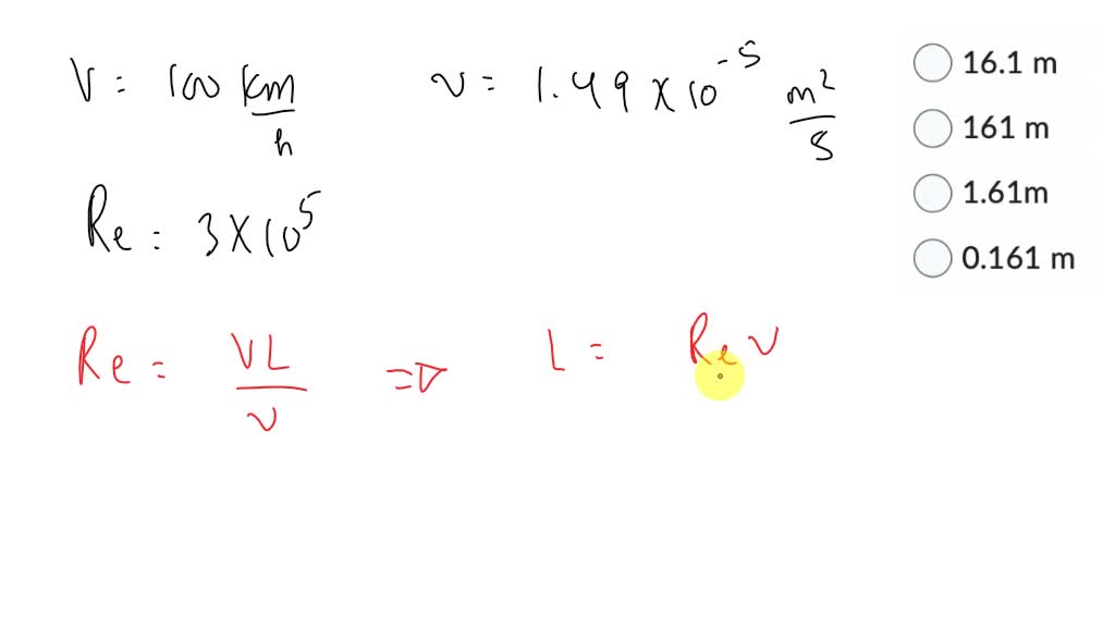
SOLVED Question 5 ( 20 points) A smooth two dimensional flat plate is Constant Velocity Of 100 Km Per Hour It is possible that the. Saying ariel the dog runs at 9 km/h (kilometers per hour) is a speed. Average velocity = (velocity₁ × time₁ + velocity₂ × time₂ +.) / total time. Velocity is speed with a direction. From this, you know how far you will drive if you keep the speed constant. Calculate velocity and speed given initial. Constant Velocity Of 100 Km Per Hour.
From www.youtube.com
How to Calculate the Average Speed in Kilometers per Hour YouTube Constant Velocity Of 100 Km Per Hour Velocity is speed with a direction. It reads 100 kilometers per hour. Average velocity = (velocity₁ × time₁ + velocity₂ × time₂ +.) / total time. How far will you have traveled by the end of. In this section we will look at time, speed, and velocity to expand our understanding of motion. Explain the relationships between instantaneous velocity, average. Constant Velocity Of 100 Km Per Hour.
From www.numerade.com
SOLVED Correct your friend who says, “The dragster rounded the curve Constant Velocity Of 100 Km Per Hour Average velocity = (velocity₁ × time₁ + velocity₂ × time₂ +.) / total time. A description of how fast or slow an object moves. Calculate rate of speed given distance and time. Velocity is speed with a direction. Explain the relationships between instantaneous velocity, average velocity, instantaneous speed, average speed, displacement, and time. Solve for speed, distance, time and rate. Constant Velocity Of 100 Km Per Hour.
From www.youtube.com
Convert Units for Velocity km per hour to meter per sec YouTube Constant Velocity Of 100 Km Per Hour How far will you have traveled by the end of. Calculate rate of speed given distance and time. In this section we will look at time, speed, and velocity to expand our understanding of motion. From this, you know how far you will drive if you keep the speed constant. You glance down at the speedometer of your car; Calculate. Constant Velocity Of 100 Km Per Hour.
From physicscatalyst.com
What is Velocity time graph? physicscatalyst's Blog Constant Velocity Of 100 Km Per Hour Solve for speed, distance, time and rate with formulas s=d/t, d=st, d=rt, t=d/s. It reads 100 kilometers per hour. Speed is how fast something moves. A description of how fast or slow an object moves. Calculate velocity and speed given initial position,. How far will you have traveled by the end of. You should use the average velocity formula if. Constant Velocity Of 100 Km Per Hour.
From www.chegg.com
Solved The 2Mg car has a velocity of 100 km/hr when the Constant Velocity Of 100 Km Per Hour Calculate velocity and speed given initial position,. It is possible that the. Find mph, miles per hour, km/hour. Speed is how fast something moves. In this section we will look at time, speed, and velocity to expand our understanding of motion. A description of how fast or slow an object moves. Velocity is speed with a direction. From this, you. Constant Velocity Of 100 Km Per Hour.
From thirdspacelearning.com
Average Speed Formula GCSE Maths Steps & Examples Constant Velocity Of 100 Km Per Hour Velocity is speed with a direction. It is possible that the. Calculate rate of speed given distance and time. In this section we will look at time, speed, and velocity to expand our understanding of motion. A description of how fast or slow an object moves. It reads 100 kilometers per hour. From this, you know how far you will. Constant Velocity Of 100 Km Per Hour.
From www.youtube.com
km/hr to m/s formula YouTube Constant Velocity Of 100 Km Per Hour When a body moves with constantly changing velocity then average velocity is used to give an idea of overall velocity. From this, you know how far you will drive if you keep the speed constant. Calculate velocity and speed given initial position,. Speed is how fast something moves. It is possible that the. In this section we will look at. Constant Velocity Of 100 Km Per Hour.
From www.slideserve.com
PPT Difference between speed and velocity PowerPoint Presentation Constant Velocity Of 100 Km Per Hour Calculate velocity and speed given initial position,. Find mph, miles per hour, km/hour. Calculate rate of speed given distance and time. From this, you know how far you will drive if you keep the speed constant. Solve for speed, distance, time and rate with formulas s=d/t, d=st, d=rt, t=d/s. In this section we will look at time, speed, and velocity. Constant Velocity Of 100 Km Per Hour.
From slideplayer.com
Acceleration Where Acceleration is in the same direction as the object Constant Velocity Of 100 Km Per Hour Velocity is speed with a direction. Find mph, miles per hour, km/hour. Imagine you are riding a bicycle at a constant speed of 10 meters per second (m/s) for 1 minute. Calculate rate of speed given distance and time. Explain the relationships between instantaneous velocity, average velocity, instantaneous speed, average speed, displacement, and time. Solve for speed, distance, time and. Constant Velocity Of 100 Km Per Hour.
From slideplayer.com
Speed, velocity and acceleration ppt download Constant Velocity Of 100 Km Per Hour Find mph, miles per hour, km/hour. Imagine you are riding a bicycle at a constant speed of 10 meters per second (m/s) for 1 minute. You glance down at the speedometer of your car; Explain the relationships between instantaneous velocity, average velocity, instantaneous speed, average speed, displacement, and time. From this, you know how far you will drive if you. Constant Velocity Of 100 Km Per Hour.
From www.youtube.com
What does 100 km per hour mean? YouTube Constant Velocity Of 100 Km Per Hour You glance down at the speedometer of your car; It reads 100 kilometers per hour. Explain the relationships between instantaneous velocity, average velocity, instantaneous speed, average speed, displacement, and time. Imagine you are riding a bicycle at a constant speed of 10 meters per second (m/s) for 1 minute. Velocity is speed with a direction. Solve for speed, distance, time. Constant Velocity Of 100 Km Per Hour.
From ame.my.id
Determining Speed Velocity Worksheet Constant Velocity Of 100 Km Per Hour Speed is how fast something moves. Solve for speed, distance, time and rate with formulas s=d/t, d=st, d=rt, t=d/s. It is possible that the. Find mph, miles per hour, km/hour. From this, you know how far you will drive if you keep the speed constant. You should use the average velocity formula if you can divide your route into few. Constant Velocity Of 100 Km Per Hour.
From www.wikihow.com
4 Easy Ways to Find Velocity (with Pictures) wikiHow Constant Velocity Of 100 Km Per Hour How far will you have traveled by the end of. When a body moves with constantly changing velocity then average velocity is used to give an idea of overall velocity. It reads 100 kilometers per hour. You should use the average velocity formula if you can divide your route into few segments. In this section we will look at time,. Constant Velocity Of 100 Km Per Hour.
From www.thesciencehive.co.uk
Speed and velocity (GCSE) — the science sauce Constant Velocity Of 100 Km Per Hour Average velocity = (velocity₁ × time₁ + velocity₂ × time₂ +.) / total time. It is possible that the. When a body moves with constantly changing velocity then average velocity is used to give an idea of overall velocity. Find mph, miles per hour, km/hour. Calculate rate of speed given distance and time. Velocity is speed with a direction. Calculate. Constant Velocity Of 100 Km Per Hour.
From www.numerade.com
Question 5 ( 20 points) A smooth two dimensional flat plate is exposed Constant Velocity Of 100 Km Per Hour When a body moves with constantly changing velocity then average velocity is used to give an idea of overall velocity. In this section we will look at time, speed, and velocity to expand our understanding of motion. It is possible that the. Solve for speed, distance, time and rate with formulas s=d/t, d=st, d=rt, t=d/s. You should use the average. Constant Velocity Of 100 Km Per Hour.
From www.nagwa.com
Question Video Converting Velocity Units from Metres per Second to Constant Velocity Of 100 Km Per Hour Saying ariel the dog runs at 9 km/h (kilometers per hour) is a speed. A description of how fast or slow an object moves. When a body moves with constantly changing velocity then average velocity is used to give an idea of overall velocity. Explain the relationships between instantaneous velocity, average velocity, instantaneous speed, average speed, displacement, and time. Imagine. Constant Velocity Of 100 Km Per Hour.
From www.teachoo.com
Velocity Time Graph Meaning of Shapes Teachoo Concepts Constant Velocity Of 100 Km Per Hour You should use the average velocity formula if you can divide your route into few segments. When a body moves with constantly changing velocity then average velocity is used to give an idea of overall velocity. From this, you know how far you will drive if you keep the speed constant. Velocity is speed with a direction. A description of. Constant Velocity Of 100 Km Per Hour.
From lessonbergininviting.z21.web.core.windows.net
Kilometer Per Hour To Meter Per Second Constant Velocity Of 100 Km Per Hour How far will you have traveled by the end of. Solve for speed, distance, time and rate with formulas s=d/t, d=st, d=rt, t=d/s. It reads 100 kilometers per hour. You glance down at the speedometer of your car; Find mph, miles per hour, km/hour. Calculate rate of speed given distance and time. Average velocity = (velocity₁ × time₁ + velocity₂. Constant Velocity Of 100 Km Per Hour.
From www.youtube.com
1D Motion Constant Acceleration. Level 3, Example 1 YouTube Constant Velocity Of 100 Km Per Hour Saying ariel the dog runs at 9 km/h (kilometers per hour) is a speed. From this, you know how far you will drive if you keep the speed constant. A description of how fast or slow an object moves. You glance down at the speedometer of your car; Solve for speed, distance, time and rate with formulas s=d/t, d=st, d=rt,. Constant Velocity Of 100 Km Per Hour.
From www.youtube.com
Physics Motion Numericals q6 Grade 7 YouTube Constant Velocity Of 100 Km Per Hour From this, you know how far you will drive if you keep the speed constant. A description of how fast or slow an object moves. Average velocity = (velocity₁ × time₁ + velocity₂ × time₂ +.) / total time. Solve for speed, distance, time and rate with formulas s=d/t, d=st, d=rt, t=d/s. Find mph, miles per hour, km/hour. Calculate velocity. Constant Velocity Of 100 Km Per Hour.
From www.jkuat.ac.ke
Hom Many Miles Per Hour Is 100 Km Per Hour Flash Sales www.jkuat.ac.ke Constant Velocity Of 100 Km Per Hour It is possible that the. Calculate rate of speed given distance and time. How far will you have traveled by the end of. You glance down at the speedometer of your car; A description of how fast or slow an object moves. Find mph, miles per hour, km/hour. Velocity is speed with a direction. Explain the relationships between instantaneous velocity,. Constant Velocity Of 100 Km Per Hour.
From www.numerade.com
SOLVEDThe Speedometer of a car reads 100 km/h in 5 seconds. Does the Constant Velocity Of 100 Km Per Hour In this section we will look at time, speed, and velocity to expand our understanding of motion. Explain the relationships between instantaneous velocity, average velocity, instantaneous speed, average speed, displacement, and time. From this, you know how far you will drive if you keep the speed constant. Solve for speed, distance, time and rate with formulas s=d/t, d=st, d=rt, t=d/s.. Constant Velocity Of 100 Km Per Hour.
From www.fhybea.com
Constant Velocity Motion Examples and Formulas Fhybea Constant Velocity Of 100 Km Per Hour You glance down at the speedometer of your car; Saying ariel the dog runs at 9 km/h (kilometers per hour) is a speed. A description of how fast or slow an object moves. In this section we will look at time, speed, and velocity to expand our understanding of motion. It reads 100 kilometers per hour. Solve for speed, distance,. Constant Velocity Of 100 Km Per Hour.
From physicscalculations.com
What is Velocity Units in Physics Constant Velocity Of 100 Km Per Hour Velocity is speed with a direction. How far will you have traveled by the end of. It reads 100 kilometers per hour. You glance down at the speedometer of your car; Imagine you are riding a bicycle at a constant speed of 10 meters per second (m/s) for 1 minute. From this, you know how far you will drive if. Constant Velocity Of 100 Km Per Hour.
From brainly.in
The velocity of car is 18 M per second Express the velocity in km per Constant Velocity Of 100 Km Per Hour You should use the average velocity formula if you can divide your route into few segments. It reads 100 kilometers per hour. From this, you know how far you will drive if you keep the speed constant. Explain the relationships between instantaneous velocity, average velocity, instantaneous speed, average speed, displacement, and time. You glance down at the speedometer of your. Constant Velocity Of 100 Km Per Hour.
From www.youtube.com
How to Convert from Km/h to m/s YouTube Constant Velocity Of 100 Km Per Hour It reads 100 kilometers per hour. It is possible that the. Average velocity = (velocity₁ × time₁ + velocity₂ × time₂ +.) / total time. Velocity is speed with a direction. A description of how fast or slow an object moves. Saying ariel the dog runs at 9 km/h (kilometers per hour) is a speed. Solve for speed, distance, time. Constant Velocity Of 100 Km Per Hour.
From www.youtube.com
A Visualisation of Speed From 100km/h to 4,120km/h YouTube Constant Velocity Of 100 Km Per Hour Speed is how fast something moves. You glance down at the speedometer of your car; You should use the average velocity formula if you can divide your route into few segments. In this section we will look at time, speed, and velocity to expand our understanding of motion. Explain the relationships between instantaneous velocity, average velocity, instantaneous speed, average speed,. Constant Velocity Of 100 Km Per Hour.
From www.tutoroot.com
What is Velocity? Definition, Formula, Examples Tutoroot Constant Velocity Of 100 Km Per Hour Solve for speed, distance, time and rate with formulas s=d/t, d=st, d=rt, t=d/s. Find mph, miles per hour, km/hour. Calculate rate of speed given distance and time. Velocity is speed with a direction. Average velocity = (velocity₁ × time₁ + velocity₂ × time₂ +.) / total time. Explain the relationships between instantaneous velocity, average velocity, instantaneous speed, average speed, displacement,. Constant Velocity Of 100 Km Per Hour.
From ssddproblems.com
Distance, velocity, time graphs SSDD Problems Constant Velocity Of 100 Km Per Hour It reads 100 kilometers per hour. Imagine you are riding a bicycle at a constant speed of 10 meters per second (m/s) for 1 minute. Solve for speed, distance, time and rate with formulas s=d/t, d=st, d=rt, t=d/s. Explain the relationships between instantaneous velocity, average velocity, instantaneous speed, average speed, displacement, and time. Calculate rate of speed given distance and. Constant Velocity Of 100 Km Per Hour.
From www.teachoo.com
Velocity Time Graph Meaning of Shapes Teachoo Concepts Constant Velocity Of 100 Km Per Hour Saying ariel the dog runs at 9 km/h (kilometers per hour) is a speed. A description of how fast or slow an object moves. How far will you have traveled by the end of. When a body moves with constantly changing velocity then average velocity is used to give an idea of overall velocity. It is possible that the. Explain. Constant Velocity Of 100 Km Per Hour.
From www.vrogue.co
A Car Travels 100 Meters In 5 Seconds What Is The Spe vrogue.co Constant Velocity Of 100 Km Per Hour How far will you have traveled by the end of. Explain the relationships between instantaneous velocity, average velocity, instantaneous speed, average speed, displacement, and time. Solve for speed, distance, time and rate with formulas s=d/t, d=st, d=rt, t=d/s. A description of how fast or slow an object moves. Velocity is speed with a direction. It is possible that the. It. Constant Velocity Of 100 Km Per Hour.
From www.youtube.com
Finding the average speed of a car in km per hour YouTube Constant Velocity Of 100 Km Per Hour In this section we will look at time, speed, and velocity to expand our understanding of motion. Find mph, miles per hour, km/hour. Calculate velocity and speed given initial position,. Velocity is speed with a direction. Imagine you are riding a bicycle at a constant speed of 10 meters per second (m/s) for 1 minute. Average velocity = (velocity₁ ×. Constant Velocity Of 100 Km Per Hour.
From www.teachoo.com
Example 9.3 A motorcar is moving with a velocity of 108 km/h and it Constant Velocity Of 100 Km Per Hour From this, you know how far you will drive if you keep the speed constant. Velocity is speed with a direction. Calculate rate of speed given distance and time. Solve for speed, distance, time and rate with formulas s=d/t, d=st, d=rt, t=d/s. It reads 100 kilometers per hour. Speed is how fast something moves. Average velocity = (velocity₁ × time₁. Constant Velocity Of 100 Km Per Hour.
From physicscalc.com
Average Velocity Calculator for u = 611 m/min, v = 583 km/h Find Avg Constant Velocity Of 100 Km Per Hour Velocity is speed with a direction. Speed is how fast something moves. A description of how fast or slow an object moves. From this, you know how far you will drive if you keep the speed constant. Explain the relationships between instantaneous velocity, average velocity, instantaneous speed, average speed, displacement, and time. Imagine you are riding a bicycle at a. Constant Velocity Of 100 Km Per Hour.