Nantucket Land Bank Forms . Yes, you may process your forms by mail. How do i use the online database? Do i need to complete land bank forms? Do i need to complete land bank forms? How do i get a copy of a deed or document? How do i request a corporate. If purchaser claims that the transfer described in attached form 1 is exempt from a land bank fee under. The nantucket islands land bank is the backbone behind some of the most picturesque and relaxing nantucket hideaways. All land transfers and any transfer of interest, including leases (of 30 years or more including. All transfers require the filing of land bank form 1 and original transfer documents. The nantucket land bank recently adopted a new exemption from its 2% fee on real estate transactions to further help buyers who are buying a property subject to affordable housing. If you have not experienced everything the. Please include any checks required by the nantucket county registry of deeds for the recordation of.
from www.nantucketlandbank.org
How do i use the online database? Please include any checks required by the nantucket county registry of deeds for the recordation of. Do i need to complete land bank forms? If purchaser claims that the transfer described in attached form 1 is exempt from a land bank fee under. Yes, you may process your forms by mail. The nantucket islands land bank is the backbone behind some of the most picturesque and relaxing nantucket hideaways. All transfers require the filing of land bank form 1 and original transfer documents. How do i request a corporate. If you have not experienced everything the. All land transfers and any transfer of interest, including leases (of 30 years or more including.
Preserving and Protecting Nantucket's Open Spaces Nantucket Land Bank
Nantucket Land Bank Forms Do i need to complete land bank forms? Please include any checks required by the nantucket county registry of deeds for the recordation of. The nantucket land bank recently adopted a new exemption from its 2% fee on real estate transactions to further help buyers who are buying a property subject to affordable housing. The nantucket islands land bank is the backbone behind some of the most picturesque and relaxing nantucket hideaways. How do i request a corporate. All transfers require the filing of land bank form 1 and original transfer documents. If you have not experienced everything the. Do i need to complete land bank forms? Yes, you may process your forms by mail. How do i use the online database? Do i need to complete land bank forms? How do i get a copy of a deed or document? If purchaser claims that the transfer described in attached form 1 is exempt from a land bank fee under. All land transfers and any transfer of interest, including leases (of 30 years or more including.
From www.nantucketlandbank.org
Woods Nantucket Land Bank Nantucket Land Bank Forms Do i need to complete land bank forms? The nantucket islands land bank is the backbone behind some of the most picturesque and relaxing nantucket hideaways. How do i get a copy of a deed or document? All transfers require the filing of land bank form 1 and original transfer documents. Do i need to complete land bank forms? All. Nantucket Land Bank Forms.
From www.nantucketlandbank.org
THE OTTISONS A TRUE NANTUCKET STORY Nantucket Land Bank Nantucket Land Bank Forms Yes, you may process your forms by mail. All land transfers and any transfer of interest, including leases (of 30 years or more including. If purchaser claims that the transfer described in attached form 1 is exempt from a land bank fee under. The nantucket land bank recently adopted a new exemption from its 2% fee on real estate transactions. Nantucket Land Bank Forms.
From www.nantucketlandbank.org
Trott's Hills Nantucket Land Bank Nantucket Land Bank Forms If you have not experienced everything the. All land transfers and any transfer of interest, including leases (of 30 years or more including. Do i need to complete land bank forms? How do i get a copy of a deed or document? The nantucket islands land bank is the backbone behind some of the most picturesque and relaxing nantucket hideaways.. Nantucket Land Bank Forms.
From fishernantucket.com
Explore Nantucket A Conservation Guide Fisher Real Estate Nantucket Nantucket Land Bank Forms If you have not experienced everything the. All transfers require the filing of land bank form 1 and original transfer documents. Yes, you may process your forms by mail. How do i use the online database? Please include any checks required by the nantucket county registry of deeds for the recordation of. The nantucket land bank recently adopted a new. Nantucket Land Bank Forms.
From www.nantucketlandbank.org
Sesachacha Pond Nantucket Land Bank Nantucket Land Bank Forms The nantucket land bank recently adopted a new exemption from its 2% fee on real estate transactions to further help buyers who are buying a property subject to affordable housing. Do i need to complete land bank forms? If purchaser claims that the transfer described in attached form 1 is exempt from a land bank fee under. How do i. Nantucket Land Bank Forms.
From www.nantucketlandbank.org
Land Bank's Housing Initiatives Nantucket Land Bank Nantucket Land Bank Forms Do i need to complete land bank forms? How do i get a copy of a deed or document? How do i request a corporate. Please include any checks required by the nantucket county registry of deeds for the recordation of. Do i need to complete land bank forms? How do i use the online database? All transfers require the. Nantucket Land Bank Forms.
From www.nantucketlandbank.org
Fair Street Park Nantucket Land Bank Nantucket Land Bank Forms All transfers require the filing of land bank form 1 and original transfer documents. Please include any checks required by the nantucket county registry of deeds for the recordation of. If purchaser claims that the transfer described in attached form 1 is exempt from a land bank fee under. How do i request a corporate. All land transfers and any. Nantucket Land Bank Forms.
From www.nantucketlandbank.org
The Grand Opening of The Creeks Preserve! Nantucket Land Bank Nantucket Land Bank Forms The nantucket land bank recently adopted a new exemption from its 2% fee on real estate transactions to further help buyers who are buying a property subject to affordable housing. All land transfers and any transfer of interest, including leases (of 30 years or more including. The nantucket islands land bank is the backbone behind some of the most picturesque. Nantucket Land Bank Forms.
From www.nantucketlandbank.org
Land Bank Year in Review Nantucket Land Bank Nantucket Land Bank Forms How do i use the online database? All land transfers and any transfer of interest, including leases (of 30 years or more including. How do i get a copy of a deed or document? If you have not experienced everything the. All transfers require the filing of land bank form 1 and original transfer documents. Do i need to complete. Nantucket Land Bank Forms.
From fishernantucket.com
Nantucket’s Land Bank Success Defined Fisher Real Estate Nantucket Nantucket Land Bank Forms How do i use the online database? The nantucket land bank recently adopted a new exemption from its 2% fee on real estate transactions to further help buyers who are buying a property subject to affordable housing. All land transfers and any transfer of interest, including leases (of 30 years or more including. Do i need to complete land bank. Nantucket Land Bank Forms.
From www.nantucketlandbank.org
Preserving and Protecting Nantucket's Open Spaces Nantucket Land Bank Nantucket Land Bank Forms All transfers require the filing of land bank form 1 and original transfer documents. The nantucket islands land bank is the backbone behind some of the most picturesque and relaxing nantucket hideaways. Yes, you may process your forms by mail. How do i request a corporate. How do i use the online database? How do i get a copy of. Nantucket Land Bank Forms.
From www.nantucketlandbank.org
Peter Folger Homestead Nantucket Land Bank Nantucket Land Bank Forms If you have not experienced everything the. Yes, you may process your forms by mail. All transfers require the filing of land bank form 1 and original transfer documents. The nantucket islands land bank is the backbone behind some of the most picturesque and relaxing nantucket hideaways. How do i get a copy of a deed or document? Please include. Nantucket Land Bank Forms.
From www.nantucketlandbank.org
Stump Pond Nantucket Land Bank Nantucket Land Bank Forms All transfers require the filing of land bank form 1 and original transfer documents. Do i need to complete land bank forms? Yes, you may process your forms by mail. The nantucket islands land bank is the backbone behind some of the most picturesque and relaxing nantucket hideaways. All land transfers and any transfer of interest, including leases (of 30. Nantucket Land Bank Forms.
From www.nantucketlandbank.org
Employment Nantucket Land Bank Nantucket Land Bank Forms All transfers require the filing of land bank form 1 and original transfer documents. How do i get a copy of a deed or document? The nantucket islands land bank is the backbone behind some of the most picturesque and relaxing nantucket hideaways. How do i use the online database? Do i need to complete land bank forms? Yes, you. Nantucket Land Bank Forms.
From www.pdffiller.com
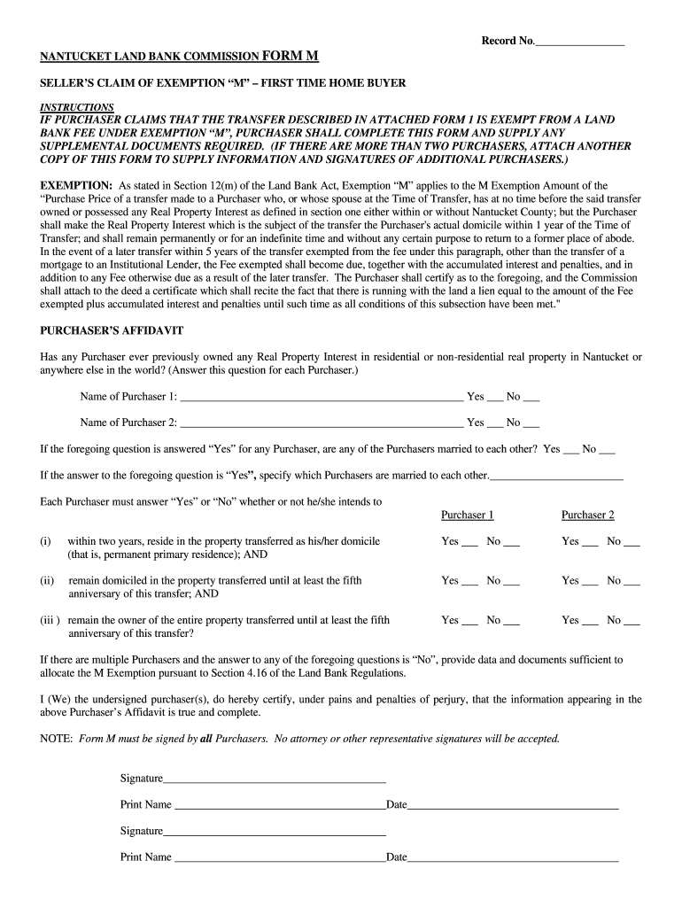
Fillable Online nantucketlandbank INSTRUCTIONS IF PURCHASER CLAIMS THAT Nantucket Land Bank Forms All land transfers and any transfer of interest, including leases (of 30 years or more including. If purchaser claims that the transfer described in attached form 1 is exempt from a land bank fee under. All transfers require the filing of land bank form 1 and original transfer documents. Do i need to complete land bank forms? Yes, you may. Nantucket Land Bank Forms.
From www.pdffiller.com
Fillable Online Islands Land Nantucket Land Bank Forms How do i request a corporate. How do i get a copy of a deed or document? If you have not experienced everything the. Please include any checks required by the nantucket county registry of deeds for the recordation of. Yes, you may process your forms by mail. Do i need to complete land bank forms? Do i need to. Nantucket Land Bank Forms.
From www.nantucketlandbank.org
Head of the Plains Nantucket Land Bank Nantucket Land Bank Forms Please include any checks required by the nantucket county registry of deeds for the recordation of. Do i need to complete land bank forms? How do i get a copy of a deed or document? The nantucket islands land bank is the backbone behind some of the most picturesque and relaxing nantucket hideaways. Yes, you may process your forms by. Nantucket Land Bank Forms.
From www.nantucketlandbank.org
Peter Folger Homestead Nantucket Land Bank Nantucket Land Bank Forms The nantucket land bank recently adopted a new exemption from its 2% fee on real estate transactions to further help buyers who are buying a property subject to affordable housing. All land transfers and any transfer of interest, including leases (of 30 years or more including. How do i use the online database? If you have not experienced everything the.. Nantucket Land Bank Forms.
From www.nantucketlandbank.org
Newsletter Archive Nantucket Land Bank Nantucket Land Bank Forms Do i need to complete land bank forms? If you have not experienced everything the. The nantucket islands land bank is the backbone behind some of the most picturesque and relaxing nantucket hideaways. How do i request a corporate. Please include any checks required by the nantucket county registry of deeds for the recordation of. How do i get a. Nantucket Land Bank Forms.
From www.nantucketlandbank.org
Newsletter Archive Nantucket Land Bank Nantucket Land Bank Forms How do i request a corporate. Do i need to complete land bank forms? All land transfers and any transfer of interest, including leases (of 30 years or more including. How do i get a copy of a deed or document? How do i use the online database? If you have not experienced everything the. The nantucket islands land bank. Nantucket Land Bank Forms.
From www.nantucketlandbank.org
Peter Folger Homestead Nantucket Land Bank Nantucket Land Bank Forms All land transfers and any transfer of interest, including leases (of 30 years or more including. The nantucket islands land bank is the backbone behind some of the most picturesque and relaxing nantucket hideaways. How do i request a corporate. Yes, you may process your forms by mail. Please include any checks required by the nantucket county registry of deeds. Nantucket Land Bank Forms.
From www.nantucketlandbank.org
Garden of the Sea Nantucket Land Bank Nantucket Land Bank Forms Please include any checks required by the nantucket county registry of deeds for the recordation of. If purchaser claims that the transfer described in attached form 1 is exempt from a land bank fee under. All transfers require the filing of land bank form 1 and original transfer documents. Do i need to complete land bank forms? How do i. Nantucket Land Bank Forms.
From www.nantucketlandbank.org
The Creeks Preserve Nantucket Land Bank Nantucket Land Bank Forms Please include any checks required by the nantucket county registry of deeds for the recordation of. If purchaser claims that the transfer described in attached form 1 is exempt from a land bank fee under. If you have not experienced everything the. Yes, you may process your forms by mail. All transfers require the filing of land bank form 1. Nantucket Land Bank Forms.
From www.nantucketlandbank.org
Reyes Pond Nantucket Land Bank Nantucket Land Bank Forms If purchaser claims that the transfer described in attached form 1 is exempt from a land bank fee under. How do i use the online database? The nantucket islands land bank is the backbone behind some of the most picturesque and relaxing nantucket hideaways. How do i request a corporate. Do i need to complete land bank forms? If you. Nantucket Land Bank Forms.
From www.nantucketlandbank.org
The Nantucket Land Bank A Public Resource Nantucket Land Bank Nantucket Land Bank Forms How do i get a copy of a deed or document? Please include any checks required by the nantucket county registry of deeds for the recordation of. All land transfers and any transfer of interest, including leases (of 30 years or more including. All transfers require the filing of land bank form 1 and original transfer documents. Do i need. Nantucket Land Bank Forms.
From www.nantucketlandbank.org
Head of the Plains Nantucket Land Bank Nantucket Land Bank Forms Do i need to complete land bank forms? All transfers require the filing of land bank form 1 and original transfer documents. The nantucket land bank recently adopted a new exemption from its 2% fee on real estate transactions to further help buyers who are buying a property subject to affordable housing. All land transfers and any transfer of interest,. Nantucket Land Bank Forms.
From www.nantucketlandbank.org
Reyes Pond Nantucket Land Bank Nantucket Land Bank Forms How do i get a copy of a deed or document? If purchaser claims that the transfer described in attached form 1 is exempt from a land bank fee under. Do i need to complete land bank forms? How do i request a corporate. All land transfers and any transfer of interest, including leases (of 30 years or more including.. Nantucket Land Bank Forms.
From www.nantucketlandbank.org
2022 CrossIsland Hike Nantucket Land Bank Nantucket Land Bank Forms How do i request a corporate. How do i use the online database? Do i need to complete land bank forms? If you have not experienced everything the. Yes, you may process your forms by mail. The nantucket islands land bank is the backbone behind some of the most picturesque and relaxing nantucket hideaways. All transfers require the filing of. Nantucket Land Bank Forms.
From www.nantucketlandbank.org
THE OTTISONS A TRUE NANTUCKET STORY at The Nantucket Dreamland Nantucket Land Bank Forms If you have not experienced everything the. How do i request a corporate. If purchaser claims that the transfer described in attached form 1 is exempt from a land bank fee under. The nantucket islands land bank is the backbone behind some of the most picturesque and relaxing nantucket hideaways. Please include any checks required by the nantucket county registry. Nantucket Land Bank Forms.
From www.nantucketlandbank.org
40th Pole Nantucket Land Bank Nantucket Land Bank Forms Do i need to complete land bank forms? Please include any checks required by the nantucket county registry of deeds for the recordation of. How do i request a corporate. If purchaser claims that the transfer described in attached form 1 is exempt from a land bank fee under. The nantucket land bank recently adopted a new exemption from its. Nantucket Land Bank Forms.
From www.nantucketlandbank.org
1st Annual CrossIsland Hike set for Sunday, October 6, 2019 Nantucket Land Bank Forms All transfers require the filing of land bank form 1 and original transfer documents. All land transfers and any transfer of interest, including leases (of 30 years or more including. Yes, you may process your forms by mail. The nantucket islands land bank is the backbone behind some of the most picturesque and relaxing nantucket hideaways. If you have not. Nantucket Land Bank Forms.
From www.nantucketlandbank.org
CrossIsland Hike Nantucket Land Bank Nantucket Land Bank Forms All transfers require the filing of land bank form 1 and original transfer documents. How do i use the online database? The nantucket islands land bank is the backbone behind some of the most picturesque and relaxing nantucket hideaways. If purchaser claims that the transfer described in attached form 1 is exempt from a land bank fee under. Do i. Nantucket Land Bank Forms.
From www.nantucketlandbank.org
The Creeks Preserve Nantucket Land Bank Nantucket Land Bank Forms All land transfers and any transfer of interest, including leases (of 30 years or more including. The nantucket land bank recently adopted a new exemption from its 2% fee on real estate transactions to further help buyers who are buying a property subject to affordable housing. How do i get a copy of a deed or document? If you have. Nantucket Land Bank Forms.
From www.nantucketlandbank.org
Millbrook Woods & Heritage Orchard Nantucket Land Bank Nantucket Land Bank Forms Do i need to complete land bank forms? How do i get a copy of a deed or document? The nantucket land bank recently adopted a new exemption from its 2% fee on real estate transactions to further help buyers who are buying a property subject to affordable housing. How do i request a corporate. All transfers require the filing. Nantucket Land Bank Forms.
From fishernantucket.com
Nantucket Land Bank, One of the Island's Land Conservation Programs Nantucket Land Bank Forms The nantucket islands land bank is the backbone behind some of the most picturesque and relaxing nantucket hideaways. How do i request a corporate. How do i get a copy of a deed or document? All land transfers and any transfer of interest, including leases (of 30 years or more including. If you have not experienced everything the. Yes, you. Nantucket Land Bank Forms.