What Happens When Ice At 0 Deg C Melts To Water At 0 Deg C . Assume that the soda is kept in a foam container so that heat loss can be ignored. The melting point of water is 0 °c, 32 °f, or 273 k. The ice is at \(0^{\circ} \mathrm{c}\) and each ice cube has a mass of 6.0 g. The melting point of water is the temperature where solid ice changes into liquid water, which is 0 °c, 32 °f, or 273 k. 0.95 g ˣ cm −3). So the thermal radiation from the heater passes through the glass and heats the ice that is next to the glass. Much more fog will be produced from the cup with hot water. The ice is at \(0^oc\) and each ice cube has a mass of 6.0 g. Assume that the soda is kept in a foam container so that heat loss can be ignored. One such ice is ice 0 (see below), a tetragonal structure (unit cell 12 molecules; Tell students that more fog is. 90º, 90º, 90º, 5.93 å, 5.93 å, 10.74 å; Point out that when water freezes, the water molecules have slowed down enough that their attractions.
from physics.stackexchange.com
Point out that when water freezes, the water molecules have slowed down enough that their attractions. The ice is at \(0^{\circ} \mathrm{c}\) and each ice cube has a mass of 6.0 g. The ice is at \(0^oc\) and each ice cube has a mass of 6.0 g. So the thermal radiation from the heater passes through the glass and heats the ice that is next to the glass. Assume that the soda is kept in a foam container so that heat loss can be ignored. 0.95 g ˣ cm −3). Assume that the soda is kept in a foam container so that heat loss can be ignored. 90º, 90º, 90º, 5.93 å, 5.93 å, 10.74 å; Tell students that more fog is. The melting point of water is 0 °c, 32 °f, or 273 k.
thermodynamics Why does ice melts, waits for 100 degrees and THEN
What Happens When Ice At 0 Deg C Melts To Water At 0 Deg C Tell students that more fog is. Point out that when water freezes, the water molecules have slowed down enough that their attractions. Much more fog will be produced from the cup with hot water. The ice is at \(0^{\circ} \mathrm{c}\) and each ice cube has a mass of 6.0 g. One such ice is ice 0 (see below), a tetragonal structure (unit cell 12 molecules; The melting point of water is the temperature where solid ice changes into liquid water, which is 0 °c, 32 °f, or 273 k. The ice is at \(0^oc\) and each ice cube has a mass of 6.0 g. Tell students that more fog is. Assume that the soda is kept in a foam container so that heat loss can be ignored. So the thermal radiation from the heater passes through the glass and heats the ice that is next to the glass. 0.95 g ˣ cm −3). Assume that the soda is kept in a foam container so that heat loss can be ignored. The melting point of water is 0 °c, 32 °f, or 273 k. 90º, 90º, 90º, 5.93 å, 5.93 å, 10.74 å;
From www.youtube.com
Steam at 100°C is added to ice at 0°C. (a) Find the amount of ice What Happens When Ice At 0 Deg C Melts To Water At 0 Deg C So the thermal radiation from the heater passes through the glass and heats the ice that is next to the glass. Assume that the soda is kept in a foam container so that heat loss can be ignored. 0.95 g ˣ cm −3). Tell students that more fog is. Much more fog will be produced from the cup with hot. What Happens When Ice At 0 Deg C Melts To Water At 0 Deg C.
From www.scientificamerican.com
Salt Doesn't Melt Ice—Here's How It Makes Winter Streets Safer What Happens When Ice At 0 Deg C Melts To Water At 0 Deg C The ice is at \(0^oc\) and each ice cube has a mass of 6.0 g. The melting point of water is 0 °c, 32 °f, or 273 k. 0.95 g ˣ cm −3). Point out that when water freezes, the water molecules have slowed down enough that their attractions. 90º, 90º, 90º, 5.93 å, 5.93 å, 10.74 å; Assume that. What Happens When Ice At 0 Deg C Melts To Water At 0 Deg C.
From brainly.com
A 200 g sample of water at 60.0 degrees Celsius is heated to water What Happens When Ice At 0 Deg C Melts To Water At 0 Deg C The melting point of water is the temperature where solid ice changes into liquid water, which is 0 °c, 32 °f, or 273 k. Assume that the soda is kept in a foam container so that heat loss can be ignored. Tell students that more fog is. Assume that the soda is kept in a foam container so that heat. What Happens When Ice At 0 Deg C Melts To Water At 0 Deg C.
From sealevel.nasa.gov
Melting Ocean Ice Affects Sea Level Unlike Ice Cubes in a Glass What Happens When Ice At 0 Deg C Melts To Water At 0 Deg C Assume that the soda is kept in a foam container so that heat loss can be ignored. Point out that when water freezes, the water molecules have slowed down enough that their attractions. Much more fog will be produced from the cup with hot water. 90º, 90º, 90º, 5.93 å, 5.93 å, 10.74 å; The ice is at \(0^{\circ} \mathrm{c}\). What Happens When Ice At 0 Deg C Melts To Water At 0 Deg C.
From www.pinterest.com
Celsius Scale Easy Science Celsius scale, Easy science, Dimensional What Happens When Ice At 0 Deg C Melts To Water At 0 Deg C Assume that the soda is kept in a foam container so that heat loss can be ignored. Much more fog will be produced from the cup with hot water. Point out that when water freezes, the water molecules have slowed down enough that their attractions. The ice is at \(0^oc\) and each ice cube has a mass of 6.0 g.. What Happens When Ice At 0 Deg C Melts To Water At 0 Deg C.
From lilahminschroeder.blogspot.com
What Happens When Ice Melts Into Water LilahminSchroeder What Happens When Ice At 0 Deg C Melts To Water At 0 Deg C The ice is at \(0^{\circ} \mathrm{c}\) and each ice cube has a mass of 6.0 g. One such ice is ice 0 (see below), a tetragonal structure (unit cell 12 molecules; Tell students that more fog is. 0.95 g ˣ cm −3). Point out that when water freezes, the water molecules have slowed down enough that their attractions. Assume that. What Happens When Ice At 0 Deg C Melts To Water At 0 Deg C.
From fphoto.photoshelter.com
science chemistry experiment states of matter Fundamental Photographs What Happens When Ice At 0 Deg C Melts To Water At 0 Deg C One such ice is ice 0 (see below), a tetragonal structure (unit cell 12 molecules; The ice is at \(0^oc\) and each ice cube has a mass of 6.0 g. Much more fog will be produced from the cup with hot water. The melting point of water is 0 °c, 32 °f, or 273 k. 90º, 90º, 90º, 5.93 å,. What Happens When Ice At 0 Deg C Melts To Water At 0 Deg C.
From studylib.net
Water = 0°C What Happens When Ice At 0 Deg C Melts To Water At 0 Deg C Point out that when water freezes, the water molecules have slowed down enough that their attractions. The melting point of water is the temperature where solid ice changes into liquid water, which is 0 °c, 32 °f, or 273 k. One such ice is ice 0 (see below), a tetragonal structure (unit cell 12 molecules; So the thermal radiation from. What Happens When Ice At 0 Deg C Melts To Water At 0 Deg C.
From sciencing.com
Ice Cubes Melting Process Sciencing What Happens When Ice At 0 Deg C Melts To Water At 0 Deg C Point out that when water freezes, the water molecules have slowed down enough that their attractions. The melting point of water is the temperature where solid ice changes into liquid water, which is 0 °c, 32 °f, or 273 k. 0.95 g ˣ cm −3). One such ice is ice 0 (see below), a tetragonal structure (unit cell 12 molecules;. What Happens When Ice At 0 Deg C Melts To Water At 0 Deg C.
From www.chegg.com
Solved 1. Given that a 10.0 g sample of ice at 0.0 °C melts What Happens When Ice At 0 Deg C Melts To Water At 0 Deg C Assume that the soda is kept in a foam container so that heat loss can be ignored. So the thermal radiation from the heater passes through the glass and heats the ice that is next to the glass. The melting point of water is 0 °c, 32 °f, or 273 k. 90º, 90º, 90º, 5.93 å, 5.93 å, 10.74 å;. What Happens When Ice At 0 Deg C Melts To Water At 0 Deg C.
From answerfullbunkers.z14.web.core.windows.net
What Makes Ice Melt The Fastest Experiment What Happens When Ice At 0 Deg C Melts To Water At 0 Deg C Much more fog will be produced from the cup with hot water. 0.95 g ˣ cm −3). So the thermal radiation from the heater passes through the glass and heats the ice that is next to the glass. Point out that when water freezes, the water molecules have slowed down enough that their attractions. Tell students that more fog is.. What Happens When Ice At 0 Deg C Melts To Water At 0 Deg C.
From www.numerade.com
SOLVEDCalculate the heat change at 0^∘ C for each of the following What Happens When Ice At 0 Deg C Melts To Water At 0 Deg C Point out that when water freezes, the water molecules have slowed down enough that their attractions. Much more fog will be produced from the cup with hot water. One such ice is ice 0 (see below), a tetragonal structure (unit cell 12 molecules; The melting point of water is the temperature where solid ice changes into liquid water, which is. What Happens When Ice At 0 Deg C Melts To Water At 0 Deg C.
From lefafrankmackenzie.blogspot.com
Specific Heat Capacity of Ice Frank Mackenzie What Happens When Ice At 0 Deg C Melts To Water At 0 Deg C The ice is at \(0^{\circ} \mathrm{c}\) and each ice cube has a mass of 6.0 g. 0.95 g ˣ cm −3). The ice is at \(0^oc\) and each ice cube has a mass of 6.0 g. The melting point of water is the temperature where solid ice changes into liquid water, which is 0 °c, 32 °f, or 273 k.. What Happens When Ice At 0 Deg C Melts To Water At 0 Deg C.
From www.slideserve.com
PPT Pascal’s Principle PowerPoint Presentation, free download ID What Happens When Ice At 0 Deg C Melts To Water At 0 Deg C The ice is at \(0^{\circ} \mathrm{c}\) and each ice cube has a mass of 6.0 g. Point out that when water freezes, the water molecules have slowed down enough that their attractions. The melting point of water is the temperature where solid ice changes into liquid water, which is 0 °c, 32 °f, or 273 k. So the thermal radiation. What Happens When Ice At 0 Deg C Melts To Water At 0 Deg C.
From studiousguy.com
10 Melting Point Examples in Everyday Life StudiousGuy What Happens When Ice At 0 Deg C Melts To Water At 0 Deg C 0.95 g ˣ cm −3). Point out that when water freezes, the water molecules have slowed down enough that their attractions. The melting point of water is the temperature where solid ice changes into liquid water, which is 0 °c, 32 °f, or 273 k. The melting point of water is 0 °c, 32 °f, or 273 k. The ice. What Happens When Ice At 0 Deg C Melts To Water At 0 Deg C.
From www.sciencefacts.net
Water Expansion When Freezing What Happens When Ice At 0 Deg C Melts To Water At 0 Deg C So the thermal radiation from the heater passes through the glass and heats the ice that is next to the glass. Much more fog will be produced from the cup with hot water. The melting point of water is 0 °c, 32 °f, or 273 k. The melting point of water is the temperature where solid ice changes into liquid. What Happens When Ice At 0 Deg C Melts To Water At 0 Deg C.
From www.quora.com
How to calculate the entropy change in the melting of 1kg of ice of 0°C What Happens When Ice At 0 Deg C Melts To Water At 0 Deg C Assume that the soda is kept in a foam container so that heat loss can be ignored. 0.95 g ˣ cm −3). 90º, 90º, 90º, 5.93 å, 5.93 å, 10.74 å; The melting point of water is 0 °c, 32 °f, or 273 k. Point out that when water freezes, the water molecules have slowed down enough that their attractions.. What Happens When Ice At 0 Deg C Melts To Water At 0 Deg C.
From www.chegg.com
Solved Twenty grams of ice at 0 deg C melts to water at 0 What Happens When Ice At 0 Deg C Melts To Water At 0 Deg C 90º, 90º, 90º, 5.93 å, 5.93 å, 10.74 å; Much more fog will be produced from the cup with hot water. So the thermal radiation from the heater passes through the glass and heats the ice that is next to the glass. The ice is at \(0^oc\) and each ice cube has a mass of 6.0 g. Assume that the. What Happens When Ice At 0 Deg C Melts To Water At 0 Deg C.
From www.sciencekiddo.com
Why Salt Melts Ice Easy Science for Kids Science Kiddo What Happens When Ice At 0 Deg C Melts To Water At 0 Deg C 90º, 90º, 90º, 5.93 å, 5.93 å, 10.74 å; The ice is at \(0^oc\) and each ice cube has a mass of 6.0 g. Much more fog will be produced from the cup with hot water. Assume that the soda is kept in a foam container so that heat loss can be ignored. The ice is at \(0^{\circ} \mathrm{c}\) and. What Happens When Ice At 0 Deg C Melts To Water At 0 Deg C.
From www.teachoo.com
Effect of Temperature to Change State of Matter Teachoo Science What Happens When Ice At 0 Deg C Melts To Water At 0 Deg C The ice is at \(0^{\circ} \mathrm{c}\) and each ice cube has a mass of 6.0 g. So the thermal radiation from the heater passes through the glass and heats the ice that is next to the glass. Much more fog will be produced from the cup with hot water. Tell students that more fog is. The melting point of water. What Happens When Ice At 0 Deg C Melts To Water At 0 Deg C.
From www.numerade.com
SOLVED Using the values for the heat of fusion, specific heat of water What Happens When Ice At 0 Deg C Melts To Water At 0 Deg C One such ice is ice 0 (see below), a tetragonal structure (unit cell 12 molecules; So the thermal radiation from the heater passes through the glass and heats the ice that is next to the glass. The melting point of water is the temperature where solid ice changes into liquid water, which is 0 °c, 32 °f, or 273 k.. What Happens When Ice At 0 Deg C Melts To Water At 0 Deg C.
From www.slideserve.com
PPT Atoms and Molecules PowerPoint Presentation, free download ID What Happens When Ice At 0 Deg C Melts To Water At 0 Deg C Much more fog will be produced from the cup with hot water. Tell students that more fog is. The ice is at \(0^oc\) and each ice cube has a mass of 6.0 g. The ice is at \(0^{\circ} \mathrm{c}\) and each ice cube has a mass of 6.0 g. One such ice is ice 0 (see below), a tetragonal structure. What Happens When Ice At 0 Deg C Melts To Water At 0 Deg C.
From www.numerade.com
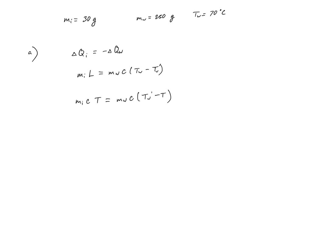
SOLVED You put 30g of ice (at 0 deg C) into 250g of hot water at 70 What Happens When Ice At 0 Deg C Melts To Water At 0 Deg C 90º, 90º, 90º, 5.93 å, 5.93 å, 10.74 å; The melting point of water is 0 °c, 32 °f, or 273 k. So the thermal radiation from the heater passes through the glass and heats the ice that is next to the glass. Much more fog will be produced from the cup with hot water. Tell students that more fog. What Happens When Ice At 0 Deg C Melts To Water At 0 Deg C.
From punchlistzero.com
Specific Heat of Ice In Various Units, vs. Water, What Happens When Ice At 0 Deg C Melts To Water At 0 Deg C The melting point of water is 0 °c, 32 °f, or 273 k. Tell students that more fog is. 0.95 g ˣ cm −3). The melting point of water is the temperature where solid ice changes into liquid water, which is 0 °c, 32 °f, or 273 k. The ice is at \(0^oc\) and each ice cube has a mass. What Happens When Ice At 0 Deg C Melts To Water At 0 Deg C.
From brainly.in
A certain quantity of ice at 0°C melts into water at 0°C and in so What Happens When Ice At 0 Deg C Melts To Water At 0 Deg C 0.95 g ˣ cm −3). Much more fog will be produced from the cup with hot water. Assume that the soda is kept in a foam container so that heat loss can be ignored. So the thermal radiation from the heater passes through the glass and heats the ice that is next to the glass. The ice is at \(0^oc\). What Happens When Ice At 0 Deg C Melts To Water At 0 Deg C.
From physics.stackexchange.com
thermodynamics Why does ice melts, waits for 100 degrees and THEN What Happens When Ice At 0 Deg C Melts To Water At 0 Deg C Much more fog will be produced from the cup with hot water. The melting point of water is 0 °c, 32 °f, or 273 k. The melting point of water is the temperature where solid ice changes into liquid water, which is 0 °c, 32 °f, or 273 k. Tell students that more fog is. 0.95 g ˣ cm −3).. What Happens When Ice At 0 Deg C Melts To Water At 0 Deg C.
From courses.lumenlearning.com
Water Properties Chemistry Atoms First What Happens When Ice At 0 Deg C Melts To Water At 0 Deg C Assume that the soda is kept in a foam container so that heat loss can be ignored. Point out that when water freezes, the water molecules have slowed down enough that their attractions. The ice is at \(0^{\circ} \mathrm{c}\) and each ice cube has a mass of 6.0 g. 90º, 90º, 90º, 5.93 å, 5.93 å, 10.74 å; The ice. What Happens When Ice At 0 Deg C Melts To Water At 0 Deg C.
From www.expii.com
Heat Capacity of Water — Overview & Importance Expii What Happens When Ice At 0 Deg C Melts To Water At 0 Deg C The melting point of water is the temperature where solid ice changes into liquid water, which is 0 °c, 32 °f, or 273 k. Point out that when water freezes, the water molecules have slowed down enough that their attractions. One such ice is ice 0 (see below), a tetragonal structure (unit cell 12 molecules; So the thermal radiation from. What Happens When Ice At 0 Deg C Melts To Water At 0 Deg C.
From www.chegg.com
Solved 30.0 g of ice at 0 °C are dropped in 150 g of water What Happens When Ice At 0 Deg C Melts To Water At 0 Deg C The ice is at \(0^{\circ} \mathrm{c}\) and each ice cube has a mass of 6.0 g. Assume that the soda is kept in a foam container so that heat loss can be ignored. One such ice is ice 0 (see below), a tetragonal structure (unit cell 12 molecules; So the thermal radiation from the heater passes through the glass and. What Happens When Ice At 0 Deg C Melts To Water At 0 Deg C.
From www.youtube.com
Final Temperature of Ice and Water Mixture How Many Grams of Ice Will What Happens When Ice At 0 Deg C Melts To Water At 0 Deg C Assume that the soda is kept in a foam container so that heat loss can be ignored. The ice is at \(0^{\circ} \mathrm{c}\) and each ice cube has a mass of 6.0 g. Assume that the soda is kept in a foam container so that heat loss can be ignored. One such ice is ice 0 (see below), a tetragonal. What Happens When Ice At 0 Deg C Melts To Water At 0 Deg C.
From www.chegg.com
Solved Twenty grams of ice at 0 deg C melts to water at 0 What Happens When Ice At 0 Deg C Melts To Water At 0 Deg C The ice is at \(0^oc\) and each ice cube has a mass of 6.0 g. 0.95 g ˣ cm −3). The melting point of water is the temperature where solid ice changes into liquid water, which is 0 °c, 32 °f, or 273 k. Assume that the soda is kept in a foam container so that heat loss can be. What Happens When Ice At 0 Deg C Melts To Water At 0 Deg C.
From www.toppr.com
Heat required to convert 1 g of ice at 0^∘C into steam at 100^∘C is What Happens When Ice At 0 Deg C Melts To Water At 0 Deg C Much more fog will be produced from the cup with hot water. The ice is at \(0^oc\) and each ice cube has a mass of 6.0 g. One such ice is ice 0 (see below), a tetragonal structure (unit cell 12 molecules; 90º, 90º, 90º, 5.93 å, 5.93 å, 10.74 å; Assume that the soda is kept in a foam. What Happens When Ice At 0 Deg C Melts To Water At 0 Deg C.
From www.numerade.com
SOLVEDAn ice bag containing 275 g of ice at 0 ^∘ C was used to treat What Happens When Ice At 0 Deg C Melts To Water At 0 Deg C 0.95 g ˣ cm −3). One such ice is ice 0 (see below), a tetragonal structure (unit cell 12 molecules; The melting point of water is the temperature where solid ice changes into liquid water, which is 0 °c, 32 °f, or 273 k. Assume that the soda is kept in a foam container so that heat loss can be. What Happens When Ice At 0 Deg C Melts To Water At 0 Deg C.
From klaaikrop.blob.core.windows.net
Why Is Ice At 0 Degree Celsius More Effective In Cooling at Robert What Happens When Ice At 0 Deg C Melts To Water At 0 Deg C 90º, 90º, 90º, 5.93 å, 5.93 å, 10.74 å; One such ice is ice 0 (see below), a tetragonal structure (unit cell 12 molecules; Tell students that more fog is. The melting point of water is 0 °c, 32 °f, or 273 k. Assume that the soda is kept in a foam container so that heat loss can be ignored.. What Happens When Ice At 0 Deg C Melts To Water At 0 Deg C.
From schollz.com
Calculating how to cool coffee schollz What Happens When Ice At 0 Deg C Melts To Water At 0 Deg C 0.95 g ˣ cm −3). Much more fog will be produced from the cup with hot water. The ice is at \(0^oc\) and each ice cube has a mass of 6.0 g. Point out that when water freezes, the water molecules have slowed down enough that their attractions. One such ice is ice 0 (see below), a tetragonal structure (unit. What Happens When Ice At 0 Deg C Melts To Water At 0 Deg C.