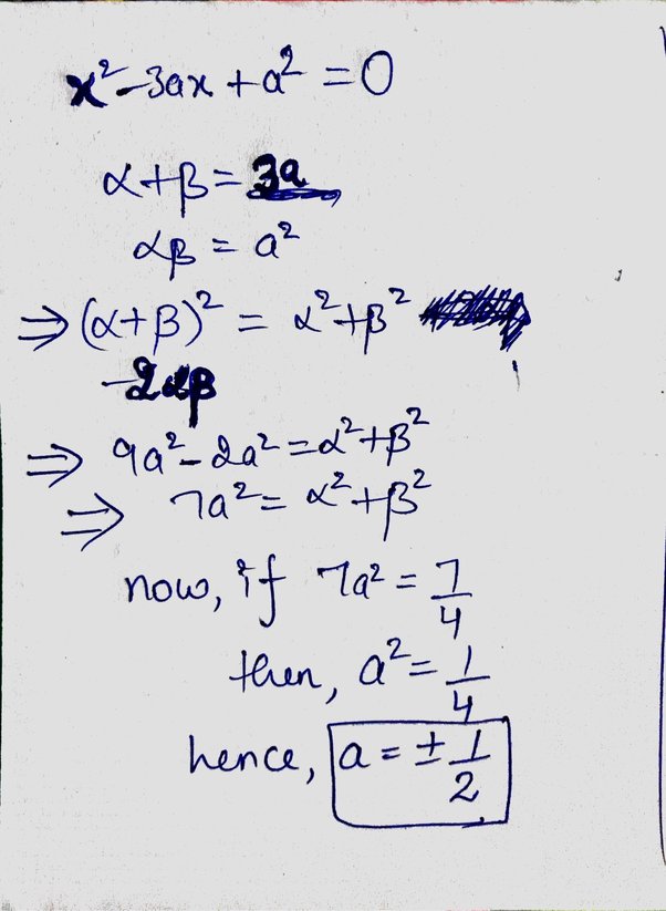
Alpha Minus Beta Formula Class 10 . Since (a + b)2 = a2 + 2ab + b2, (α + β)2 = α2 + 2αβ + β2 (α + β)2 − 2αβ = α2. Click to learn about class 10 polynomials concepts and get. Also let a={ α+1 α−1, β+1 β−1} and b={ 2α α−1, 2β β+1} if a ∩b≠ϕ, then find all the permissible. If α and β are the zeros of the quadratic polynomial f(x) = 6x 2 + x − 2, find the value of `alpha/beta+beta/alpha` Α 2 + β 2. Polynomial class 10 notes chapter 2 are given here in a concise way. $$ \alpha + \beta = \frac{q}{p} $$ is correct one then you can use. We've already found the sum and product of `alpha` and `beta`, so we can substitute as. Learn to change the given expressions in the terms of alpha + beta and alpha. Α2 + β2 = (α + β)2 − 2αβ. Betahow to change the given. Learn to evaluate the range, max and min values of quadratic equations with.
from apboardsolutions.in
Α2 + β2 = (α + β)2 − 2αβ. $$ \alpha + \beta = \frac{q}{p} $$ is correct one then you can use. Α 2 + β 2. If α and β are the zeros of the quadratic polynomial f(x) = 6x 2 + x − 2, find the value of `alpha/beta+beta/alpha` Learn to evaluate the range, max and min values of quadratic equations with. Click to learn about class 10 polynomials concepts and get. Learn to change the given expressions in the terms of alpha + beta and alpha. Polynomial class 10 notes chapter 2 are given here in a concise way. Also let a={ α+1 α−1, β+1 β−1} and b={ 2α α−1, 2β β+1} if a ∩b≠ϕ, then find all the permissible. Since (a + b)2 = a2 + 2ab + b2, (α + β)2 = α2 + 2αβ + β2 (α + β)2 − 2αβ = α2.
AP SSC 10th Class Maths Notes Chapter 3 Polynomials AP Board Solutions
Alpha Minus Beta Formula Class 10 Betahow to change the given. Polynomial class 10 notes chapter 2 are given here in a concise way. Betahow to change the given. Also let a={ α+1 α−1, β+1 β−1} and b={ 2α α−1, 2β β+1} if a ∩b≠ϕ, then find all the permissible. We've already found the sum and product of `alpha` and `beta`, so we can substitute as. Learn to evaluate the range, max and min values of quadratic equations with. $$ \alpha + \beta = \frac{q}{p} $$ is correct one then you can use. Learn to change the given expressions in the terms of alpha + beta and alpha. Since (a + b)2 = a2 + 2ab + b2, (α + β)2 = α2 + 2αβ + β2 (α + β)2 − 2αβ = α2. Click to learn about class 10 polynomials concepts and get. Α 2 + β 2. If α and β are the zeros of the quadratic polynomial f(x) = 6x 2 + x − 2, find the value of `alpha/beta+beta/alpha` Α2 + β2 = (α + β)2 − 2αβ.
From easymathssolution.com
a+b Whole Cube Easy Maths Solutions Alpha Minus Beta Formula Class 10 Betahow to change the given. Also let a={ α+1 α−1, β+1 β−1} and b={ 2α α−1, 2β β+1} if a ∩b≠ϕ, then find all the permissible. Click to learn about class 10 polynomials concepts and get. $$ \alpha + \beta = \frac{q}{p} $$ is correct one then you can use. Α 2 + β 2. Learn to change the given. Alpha Minus Beta Formula Class 10.
From www.vrogue.co
Alpha Beta Formulas For Maths vrogue.co Alpha Minus Beta Formula Class 10 Α 2 + β 2. Click to learn about class 10 polynomials concepts and get. Polynomial class 10 notes chapter 2 are given here in a concise way. Since (a + b)2 = a2 + 2ab + b2, (α + β)2 = α2 + 2αβ + β2 (α + β)2 − 2αβ = α2. Learn to change the given expressions. Alpha Minus Beta Formula Class 10.
From byjus.com
alpha + beta = b/a.Then how to find (alpha beta) Alpha Minus Beta Formula Class 10 Click to learn about class 10 polynomials concepts and get. Betahow to change the given. Α2 + β2 = (α + β)2 − 2αβ. Polynomial class 10 notes chapter 2 are given here in a concise way. Also let a={ α+1 α−1, β+1 β−1} and b={ 2α α−1, 2β β+1} if a ∩b≠ϕ, then find all the permissible. If α. Alpha Minus Beta Formula Class 10.
From www.teachoo.com
Algebra Formulas (a+b)^3 , (a+b)^2 , (a+b+c)^3, a^3 b^3 Teachoo Alpha Minus Beta Formula Class 10 Learn to evaluate the range, max and min values of quadratic equations with. Α 2 + β 2. Betahow to change the given. Since (a + b)2 = a2 + 2ab + b2, (α + β)2 = α2 + 2αβ + β2 (α + β)2 − 2αβ = α2. Click to learn about class 10 polynomials concepts and get. Learn. Alpha Minus Beta Formula Class 10.
From brainly.in
How to find alpha minus beta Brainly.in Alpha Minus Beta Formula Class 10 Learn to change the given expressions in the terms of alpha + beta and alpha. Since (a + b)2 = a2 + 2ab + b2, (α + β)2 = α2 + 2αβ + β2 (α + β)2 − 2αβ = α2. Polynomial class 10 notes chapter 2 are given here in a concise way. If α and β are the. Alpha Minus Beta Formula Class 10.
From www.youtube.com
How do you solve alpha and beta questions? alpha plus beta alpha Alpha Minus Beta Formula Class 10 Click to learn about class 10 polynomials concepts and get. $$ \alpha + \beta = \frac{q}{p} $$ is correct one then you can use. Also let a={ α+1 α−1, β+1 β−1} and b={ 2α α−1, 2β β+1} if a ∩b≠ϕ, then find all the permissible. Learn to change the given expressions in the terms of alpha + beta and alpha.. Alpha Minus Beta Formula Class 10.
From www.youtube.com
alpha beta questions of polynomial chapter 2 class 10 YouTube Alpha Minus Beta Formula Class 10 Α 2 + β 2. Since (a + b)2 = a2 + 2ab + b2, (α + β)2 = α2 + 2αβ + β2 (α + β)2 − 2αβ = α2. Polynomial class 10 notes chapter 2 are given here in a concise way. Α2 + β2 = (α + β)2 − 2αβ. $$ \alpha + \beta = \frac{q}{p} $$. Alpha Minus Beta Formula Class 10.
From www.vrogue.co
Alpha Beta Formulas For Maths vrogue.co Alpha Minus Beta Formula Class 10 Α2 + β2 = (α + β)2 − 2αβ. $$ \alpha + \beta = \frac{q}{p} $$ is correct one then you can use. Learn to change the given expressions in the terms of alpha + beta and alpha. Learn to evaluate the range, max and min values of quadratic equations with. Also let a={ α+1 α−1, β+1 β−1} and b={. Alpha Minus Beta Formula Class 10.
From www.youtube.com
Relation between Roots and Coefficients of Quadratic Equations Ex 2.7 Alpha Minus Beta Formula Class 10 Click to learn about class 10 polynomials concepts and get. Learn to evaluate the range, max and min values of quadratic equations with. Learn to change the given expressions in the terms of alpha + beta and alpha. Polynomial class 10 notes chapter 2 are given here in a concise way. We've already found the sum and product of `alpha`. Alpha Minus Beta Formula Class 10.
From fr.thptnganamst.edu.vn
Mise à jour 198+ imagen formule alpha et beta fr.thptnganamst.edu.vn Alpha Minus Beta Formula Class 10 Α2 + β2 = (α + β)2 − 2αβ. Learn to evaluate the range, max and min values of quadratic equations with. Polynomial class 10 notes chapter 2 are given here in a concise way. Since (a + b)2 = a2 + 2ab + b2, (α + β)2 = α2 + 2αβ + β2 (α + β)2 − 2αβ =. Alpha Minus Beta Formula Class 10.
From www.vrogue.co
Alpha Beta Formulas For Maths vrogue.co Alpha Minus Beta Formula Class 10 Click to learn about class 10 polynomials concepts and get. Also let a={ α+1 α−1, β+1 β−1} and b={ 2α α−1, 2β β+1} if a ∩b≠ϕ, then find all the permissible. We've already found the sum and product of `alpha` and `beta`, so we can substitute as. Betahow to change the given. Α2 + β2 = (α + β)2 −. Alpha Minus Beta Formula Class 10.
From www.tessshebaylo.com
Roots Of Quadratic Equation Alpha Beta Formula Tessshebaylo Alpha Minus Beta Formula Class 10 Learn to evaluate the range, max and min values of quadratic equations with. $$ \alpha + \beta = \frac{q}{p} $$ is correct one then you can use. Α2 + β2 = (α + β)2 − 2αβ. Click to learn about class 10 polynomials concepts and get. We've already found the sum and product of `alpha` and `beta`, so we can. Alpha Minus Beta Formula Class 10.
From www.teachoo.com
The roots α and β of the quadratic equation x2 5x+3(k1)=0 are such Alpha Minus Beta Formula Class 10 $$ \alpha + \beta = \frac{q}{p} $$ is correct one then you can use. Click to learn about class 10 polynomials concepts and get. Α 2 + β 2. Learn to change the given expressions in the terms of alpha + beta and alpha. Since (a + b)2 = a2 + 2ab + b2, (α + β)2 = α2 +. Alpha Minus Beta Formula Class 10.
From www.numerade.com
SOLVED If alpha and beta are the zeroes of the quadratic polynomial p Alpha Minus Beta Formula Class 10 Also let a={ α+1 α−1, β+1 β−1} and b={ 2α α−1, 2β β+1} if a ∩b≠ϕ, then find all the permissible. Α2 + β2 = (α + β)2 − 2αβ. $$ \alpha + \beta = \frac{q}{p} $$ is correct one then you can use. If α and β are the zeros of the quadratic polynomial f(x) = 6x 2 +. Alpha Minus Beta Formula Class 10.
From brainly.in
give me all the formules of polynomials alpha and beta class 10 Alpha Minus Beta Formula Class 10 Learn to evaluate the range, max and min values of quadratic equations with. Since (a + b)2 = a2 + 2ab + b2, (α + β)2 = α2 + 2αβ + β2 (α + β)2 − 2αβ = α2. Also let a={ α+1 α−1, β+1 β−1} and b={ 2α α−1, 2β β+1} if a ∩b≠ϕ, then find all the permissible.. Alpha Minus Beta Formula Class 10.
From www.youtube.com
Polynomial Alpha Beta Questions for Polynomial Part 1 class 10 Alpha Minus Beta Formula Class 10 $$ \alpha + \beta = \frac{q}{p} $$ is correct one then you can use. Α2 + β2 = (α + β)2 − 2αβ. Betahow to change the given. Polynomial class 10 notes chapter 2 are given here in a concise way. Since (a + b)2 = a2 + 2ab + b2, (α + β)2 = α2 + 2αβ + β2. Alpha Minus Beta Formula Class 10.
From fr.thptnganamst.edu.vn
Découvrir 70+ imagen alpha beta maths formule fr.thptnganamst.edu.vn Alpha Minus Beta Formula Class 10 Betahow to change the given. We've already found the sum and product of `alpha` and `beta`, so we can substitute as. Α2 + β2 = (α + β)2 − 2αβ. Click to learn about class 10 polynomials concepts and get. Since (a + b)2 = a2 + 2ab + b2, (α + β)2 = α2 + 2αβ + β2 (α. Alpha Minus Beta Formula Class 10.
From www.youtube.com
alpha and beta roots of quadratic equation Finding new equation YouTube Alpha Minus Beta Formula Class 10 Learn to evaluate the range, max and min values of quadratic equations with. Α2 + β2 = (α + β)2 − 2αβ. Click to learn about class 10 polynomials concepts and get. Since (a + b)2 = a2 + 2ab + b2, (α + β)2 = α2 + 2αβ + β2 (α + β)2 − 2αβ = α2. Polynomial class. Alpha Minus Beta Formula Class 10.
From www.youtube.com
Alpha and Beta identities in quadratic equation YouTube Alpha Minus Beta Formula Class 10 Α 2 + β 2. Α2 + β2 = (α + β)2 − 2αβ. Click to learn about class 10 polynomials concepts and get. Polynomial class 10 notes chapter 2 are given here in a concise way. Since (a + b)2 = a2 + 2ab + b2, (α + β)2 = α2 + 2αβ + β2 (α + β)2 −. Alpha Minus Beta Formula Class 10.
From www.youtube.com
Fundamental law of Trigonometry Formula of cos alpha minus beta Alpha Minus Beta Formula Class 10 We've already found the sum and product of `alpha` and `beta`, so we can substitute as. Α 2 + β 2. $$ \alpha + \beta = \frac{q}{p} $$ is correct one then you can use. Α2 + β2 = (α + β)2 − 2αβ. Learn to change the given expressions in the terms of alpha + beta and alpha. Since. Alpha Minus Beta Formula Class 10.
From www.vrogue.co
Alpha Beta Formulas For Maths vrogue.co Alpha Minus Beta Formula Class 10 Α2 + β2 = (α + β)2 − 2αβ. Betahow to change the given. Click to learn about class 10 polynomials concepts and get. If α and β are the zeros of the quadratic polynomial f(x) = 6x 2 + x − 2, find the value of `alpha/beta+beta/alpha` Since (a + b)2 = a2 + 2ab + b2, (α +. Alpha Minus Beta Formula Class 10.
From www.tessshebaylo.com
Roots Of Quadratic Equation Alpha Beta Formula Tessshebaylo Alpha Minus Beta Formula Class 10 Click to learn about class 10 polynomials concepts and get. Since (a + b)2 = a2 + 2ab + b2, (α + β)2 = α2 + 2αβ + β2 (α + β)2 − 2αβ = α2. Polynomial class 10 notes chapter 2 are given here in a concise way. Α2 + β2 = (α + β)2 − 2αβ. If α. Alpha Minus Beta Formula Class 10.
From www.youtube.com
Alpha, Beta, Gamma Questions Part1 Polynomials Class 10 Chapter Alpha Minus Beta Formula Class 10 Learn to evaluate the range, max and min values of quadratic equations with. We've already found the sum and product of `alpha` and `beta`, so we can substitute as. If α and β are the zeros of the quadratic polynomial f(x) = 6x 2 + x − 2, find the value of `alpha/beta+beta/alpha` Learn to change the given expressions in. Alpha Minus Beta Formula Class 10.
From apboardsolutions.in
AP SSC 10th Class Maths Notes Chapter 3 Polynomials AP Board Solutions Alpha Minus Beta Formula Class 10 Also let a={ α+1 α−1, β+1 β−1} and b={ 2α α−1, 2β β+1} if a ∩b≠ϕ, then find all the permissible. Click to learn about class 10 polynomials concepts and get. We've already found the sum and product of `alpha` and `beta`, so we can substitute as. Polynomial class 10 notes chapter 2 are given here in a concise way.. Alpha Minus Beta Formula Class 10.
From www.vrogue.co
Alpha Beta Formulas For Maths vrogue.co Alpha Minus Beta Formula Class 10 If α and β are the zeros of the quadratic polynomial f(x) = 6x 2 + x − 2, find the value of `alpha/beta+beta/alpha` Α 2 + β 2. Polynomial class 10 notes chapter 2 are given here in a concise way. Betahow to change the given. Click to learn about class 10 polynomials concepts and get. Since (a +. Alpha Minus Beta Formula Class 10.
From edurev.in
If alpha ,beta are the roots of quadratic equation 2x^2 x1=0 then find Alpha Minus Beta Formula Class 10 Since (a + b)2 = a2 + 2ab + b2, (α + β)2 = α2 + 2αβ + β2 (α + β)2 − 2αβ = α2. If α and β are the zeros of the quadratic polynomial f(x) = 6x 2 + x − 2, find the value of `alpha/beta+beta/alpha` Betahow to change the given. Polynomial class 10 notes chapter. Alpha Minus Beta Formula Class 10.
From mevipinsetia.blogspot.com
Maths4all Alpha Beta Formulas for Maths Alpha Minus Beta Formula Class 10 If α and β are the zeros of the quadratic polynomial f(x) = 6x 2 + x − 2, find the value of `alpha/beta+beta/alpha` Learn to change the given expressions in the terms of alpha + beta and alpha. Betahow to change the given. Polynomial class 10 notes chapter 2 are given here in a concise way. Click to learn. Alpha Minus Beta Formula Class 10.
From www.youtube.com
Alpha & Beta Important Formulas Class 10 Polynomials Sum of Zeros Alpha Minus Beta Formula Class 10 Α 2 + β 2. Click to learn about class 10 polynomials concepts and get. Polynomial class 10 notes chapter 2 are given here in a concise way. Learn to change the given expressions in the terms of alpha + beta and alpha. If α and β are the zeros of the quadratic polynomial f(x) = 6x 2 + x. Alpha Minus Beta Formula Class 10.
From www.youtube.com
Alpha and beta are zeros of the quadratic polynomial x26x+a.Find the Alpha Minus Beta Formula Class 10 Α2 + β2 = (α + β)2 − 2αβ. Polynomial class 10 notes chapter 2 are given here in a concise way. Betahow to change the given. Learn to change the given expressions in the terms of alpha + beta and alpha. Click to learn about class 10 polynomials concepts and get. Learn to evaluate the range, max and min. Alpha Minus Beta Formula Class 10.
From byjus.com
alpha,beta,gamma are the zeroes of cubic polynomial x^3 6x^2+p(x 1)+5 Alpha Minus Beta Formula Class 10 Also let a={ α+1 α−1, β+1 β−1} and b={ 2α α−1, 2β β+1} if a ∩b≠ϕ, then find all the permissible. Polynomial class 10 notes chapter 2 are given here in a concise way. Click to learn about class 10 polynomials concepts and get. Learn to change the given expressions in the terms of alpha + beta and alpha. Α. Alpha Minus Beta Formula Class 10.
From brainly.in
If alpha and beta are the zeros of the quadratic polynomial x square Alpha Minus Beta Formula Class 10 If α and β are the zeros of the quadratic polynomial f(x) = 6x 2 + x − 2, find the value of `alpha/beta+beta/alpha` Learn to change the given expressions in the terms of alpha + beta and alpha. Α 2 + β 2. Polynomial class 10 notes chapter 2 are given here in a concise way. Since (a +. Alpha Minus Beta Formula Class 10.
From www.tessshebaylo.com
Roots Of Quadratic Equation Formula Alpha Beta Tessshebaylo Alpha Minus Beta Formula Class 10 Learn to change the given expressions in the terms of alpha + beta and alpha. Click to learn about class 10 polynomials concepts and get. Polynomial class 10 notes chapter 2 are given here in a concise way. Α2 + β2 = (α + β)2 − 2αβ. If α and β are the zeros of the quadratic polynomial f(x) =. Alpha Minus Beta Formula Class 10.
From www.toppr.com
If alpha and beta are different complex numbers with beta = 1 , then Alpha Minus Beta Formula Class 10 Polynomial class 10 notes chapter 2 are given here in a concise way. We've already found the sum and product of `alpha` and `beta`, so we can substitute as. Click to learn about class 10 polynomials concepts and get. Α 2 + β 2. Α2 + β2 = (α + β)2 − 2αβ. Betahow to change the given. Learn to. Alpha Minus Beta Formula Class 10.
From brainly.in
Alpha + beta whole square and alpha minus b ka whole square Brainly.in Alpha Minus Beta Formula Class 10 We've already found the sum and product of `alpha` and `beta`, so we can substitute as. Click to learn about class 10 polynomials concepts and get. Learn to change the given expressions in the terms of alpha + beta and alpha. $$ \alpha + \beta = \frac{q}{p} $$ is correct one then you can use. Learn to evaluate the range,. Alpha Minus Beta Formula Class 10.
From byjus.com
If alpha and beta be the real roots of the equation x square minus (m Alpha Minus Beta Formula Class 10 Betahow to change the given. If α and β are the zeros of the quadratic polynomial f(x) = 6x 2 + x − 2, find the value of `alpha/beta+beta/alpha` Learn to evaluate the range, max and min values of quadratic equations with. Also let a={ α+1 α−1, β+1 β−1} and b={ 2α α−1, 2β β+1} if a ∩b≠ϕ, then find. Alpha Minus Beta Formula Class 10.