Bombarded Symbol . For example, if you bombard them with. bombard somebody/something (with something) to attack somebody with a lot of questions, criticisms, etc. To assail vigorously or persistently (as with questions) 3. if you bombard someone with something, you make them face a great deal of it. The troops bombarded the city,. See ‘meaning & use’ for. verb [ t ] uk / bɒmˈbɑːd / us / bɑːmˈbɑːrd / to attack a place with continuous shooting or bombs: To attack especially with artillery or bombers. The troops bombarded the city, killing and injuring hundreds. bombarded is a musical d&d podcast following the adventures of yashee, raz'ul, and randy, three students at strumlotts. to attack a place with continuous shooting or bombs: there are five meanings listed in oed's entry for the verb bombard, one of which is labelled obsolete.
from clipart-library.com
if you bombard someone with something, you make them face a great deal of it. there are five meanings listed in oed's entry for the verb bombard, one of which is labelled obsolete. To assail vigorously or persistently (as with questions) 3. For example, if you bombard them with. The troops bombarded the city,. verb [ t ] uk / bɒmˈbɑːd / us / bɑːmˈbɑːrd / to attack a place with continuous shooting or bombs: See ‘meaning & use’ for. bombard somebody/something (with something) to attack somebody with a lot of questions, criticisms, etc. to attack a place with continuous shooting or bombs: The troops bombarded the city, killing and injuring hundreds.
explosive Clip Art Library
Bombarded Symbol if you bombard someone with something, you make them face a great deal of it. The troops bombarded the city, killing and injuring hundreds. For example, if you bombard them with. if you bombard someone with something, you make them face a great deal of it. verb [ t ] uk / bɒmˈbɑːd / us / bɑːmˈbɑːrd / to attack a place with continuous shooting or bombs: To attack especially with artillery or bombers. The troops bombarded the city,. there are five meanings listed in oed's entry for the verb bombard, one of which is labelled obsolete. to attack a place with continuous shooting or bombs: bombard somebody/something (with something) to attack somebody with a lot of questions, criticisms, etc. bombarded is a musical d&d podcast following the adventures of yashee, raz'ul, and randy, three students at strumlotts. See ‘meaning & use’ for. To assail vigorously or persistently (as with questions) 3.
From www.dreamstime.com
The Globe Bombarded with Positive Reviews Stock Illustration Bombarded Symbol bombarded is a musical d&d podcast following the adventures of yashee, raz'ul, and randy, three students at strumlotts. bombard somebody/something (with something) to attack somebody with a lot of questions, criticisms, etc. For example, if you bombard them with. verb [ t ] uk / bɒmˈbɑːd / us / bɑːmˈbɑːrd / to attack a place with continuous. Bombarded Symbol.
From www.istockphoto.com
30+ Neutron Bombarded Stock Photos, Pictures & RoyaltyFree Images iStock Bombarded Symbol verb [ t ] uk / bɒmˈbɑːd / us / bɑːmˈbɑːrd / to attack a place with continuous shooting or bombs: The troops bombarded the city, killing and injuring hundreds. To attack especially with artillery or bombers. See ‘meaning & use’ for. For example, if you bombard them with. The troops bombarded the city,. if you bombard someone. Bombarded Symbol.
From www.shutterstock.com
Hazard Symbols Stock Vector 119940466 Shutterstock Bombarded Symbol there are five meanings listed in oed's entry for the verb bombard, one of which is labelled obsolete. bombard somebody/something (with something) to attack somebody with a lot of questions, criticisms, etc. For example, if you bombard them with. To assail vigorously or persistently (as with questions) 3. to attack a place with continuous shooting or bombs:. Bombarded Symbol.
From vnexplorer.net
Luton's Rob Edwards accidental sex symbol as he's bombarded Bombarded Symbol if you bombard someone with something, you make them face a great deal of it. bombarded is a musical d&d podcast following the adventures of yashee, raz'ul, and randy, three students at strumlotts. The troops bombarded the city, killing and injuring hundreds. to attack a place with continuous shooting or bombs: bombard somebody/something (with something) to. Bombarded Symbol.
From www.alamy.com
Bombed Stock Vector Images Alamy Bombarded Symbol to attack a place with continuous shooting or bombs: See ‘meaning & use’ for. The troops bombarded the city, killing and injuring hundreds. verb [ t ] uk / bɒmˈbɑːd / us / bɑːmˈbɑːrd / to attack a place with continuous shooting or bombs: if you bombard someone with something, you make them face a great deal. Bombarded Symbol.
From www.dreamstime.com
The Globe Bombarded with Reviews Stock Illustration Illustration of Bombarded Symbol if you bombard someone with something, you make them face a great deal of it. bombarded is a musical d&d podcast following the adventures of yashee, raz'ul, and randy, three students at strumlotts. For example, if you bombard them with. See ‘meaning & use’ for. The troops bombarded the city,. To attack especially with artillery or bombers. . Bombarded Symbol.
From dictionary.langeek.co
Definition & Meaning of "Bombard" LanGeek Bombarded Symbol bombarded is a musical d&d podcast following the adventures of yashee, raz'ul, and randy, three students at strumlotts. See ‘meaning & use’ for. to attack a place with continuous shooting or bombs: verb [ t ] uk / bɒmˈbɑːd / us / bɑːmˈbɑːrd / to attack a place with continuous shooting or bombs: The troops bombarded the. Bombarded Symbol.
From www.dreamstime.com
Bombardment Icon. Element of Terrorism Elements Illustration. Premium Bombarded Symbol there are five meanings listed in oed's entry for the verb bombard, one of which is labelled obsolete. To assail vigorously or persistently (as with questions) 3. to attack a place with continuous shooting or bombs: bombard somebody/something (with something) to attack somebody with a lot of questions, criticisms, etc. bombarded is a musical d&d podcast. Bombarded Symbol.
From clipart-library.com
fire hydrant Clip Art Library Bombarded Symbol bombarded is a musical d&d podcast following the adventures of yashee, raz'ul, and randy, three students at strumlotts. to attack a place with continuous shooting or bombs: To attack especially with artillery or bombers. if you bombard someone with something, you make them face a great deal of it. For example, if you bombard them with. The. Bombarded Symbol.
From renner.org
What To Do When You’re Being Bombarded Renner Ministries Bombarded Symbol if you bombard someone with something, you make them face a great deal of it. The troops bombarded the city, killing and injuring hundreds. bombarded is a musical d&d podcast following the adventures of yashee, raz'ul, and randy, three students at strumlotts. to attack a place with continuous shooting or bombs: For example, if you bombard them. Bombarded Symbol.
From www.redbubble.com
"bomBARDed Logo Text Outline" Sticker by bombardedcast Redbubble Bombarded Symbol See ‘meaning & use’ for. there are five meanings listed in oed's entry for the verb bombard, one of which is labelled obsolete. To attack especially with artillery or bombers. if you bombard someone with something, you make them face a great deal of it. verb [ t ] uk / bɒmˈbɑːd / us / bɑːmˈbɑːrd /. Bombarded Symbol.
From www.dreamstime.com
With Their Head in Their Hands a Social Media User is Bombarded by a Bombarded Symbol See ‘meaning & use’ for. To attack especially with artillery or bombers. bombarded is a musical d&d podcast following the adventures of yashee, raz'ul, and randy, three students at strumlotts. The troops bombarded the city,. For example, if you bombard them with. bombard somebody/something (with something) to attack somebody with a lot of questions, criticisms, etc. To assail. Bombarded Symbol.
From svgsilh.com
Tag Bombarded Symbol to attack a place with continuous shooting or bombs: To attack especially with artillery or bombers. See ‘meaning & use’ for. bombarded is a musical d&d podcast following the adventures of yashee, raz'ul, and randy, three students at strumlotts. verb [ t ] uk / bɒmˈbɑːd / us / bɑːmˈbɑːrd / to attack a place with continuous. Bombarded Symbol.
From www.dreamstime.com
Bombarded Battlefield Stock Illustrations 10 Bombarded Battlefield Bombarded Symbol To assail vigorously or persistently (as with questions) 3. The troops bombarded the city,. if you bombard someone with something, you make them face a great deal of it. to attack a place with continuous shooting or bombs: The troops bombarded the city, killing and injuring hundreds. bombarded is a musical d&d podcast following the adventures of. Bombarded Symbol.
From www.msn.com
23 Historical Monuments That Were Destroyed Because of What They Stood For Bombarded Symbol bombarded is a musical d&d podcast following the adventures of yashee, raz'ul, and randy, three students at strumlotts. See ‘meaning & use’ for. The troops bombarded the city,. For example, if you bombard them with. The troops bombarded the city, killing and injuring hundreds. if you bombard someone with something, you make them face a great deal of. Bombarded Symbol.
From www.alamyimages.fr
Radiation hazard sign Banque de photographies et d’images à haute Bombarded Symbol to attack a place with continuous shooting or bombs: bombard somebody/something (with something) to attack somebody with a lot of questions, criticisms, etc. To assail vigorously or persistently (as with questions) 3. See ‘meaning & use’ for. there are five meanings listed in oed's entry for the verb bombard, one of which is labelled obsolete. The troops. Bombarded Symbol.
From pixabay.com
10+ Free Bombarded & Military Images Pixabay Bombarded Symbol To attack especially with artillery or bombers. if you bombard someone with something, you make them face a great deal of it. The troops bombarded the city,. to attack a place with continuous shooting or bombs: See ‘meaning & use’ for. To assail vigorously or persistently (as with questions) 3. verb [ t ] uk / bɒmˈbɑːd. Bombarded Symbol.
From www.alamy.com
Disaster typhoon Stock Vector Images Alamy Bombarded Symbol verb [ t ] uk / bɒmˈbɑːd / us / bɑːmˈbɑːrd / to attack a place with continuous shooting or bombs: bombard somebody/something (with something) to attack somebody with a lot of questions, criticisms, etc. The troops bombarded the city, killing and injuring hundreds. bombarded is a musical d&d podcast following the adventures of yashee, raz'ul, and. Bombarded Symbol.
From www.dreamstime.com
Fighter Planes Drop Bombs In War Text Formation. Editable Clip Art Bombarded Symbol if you bombard someone with something, you make them face a great deal of it. The troops bombarded the city, killing and injuring hundreds. To attack especially with artillery or bombers. to attack a place with continuous shooting or bombs: For example, if you bombard them with. To assail vigorously or persistently (as with questions) 3. verb. Bombarded Symbol.
From www.istockphoto.com
30+ Neutron Bombarded Stock Photos, Pictures & RoyaltyFree Images iStock Bombarded Symbol To assail vigorously or persistently (as with questions) 3. See ‘meaning & use’ for. to attack a place with continuous shooting or bombs: The troops bombarded the city, killing and injuring hundreds. To attack especially with artillery or bombers. there are five meanings listed in oed's entry for the verb bombard, one of which is labelled obsolete. . Bombarded Symbol.
From www.gettyimages.com
Stonington Bombarded HighRes Vector Graphic Getty Images Bombarded Symbol bombard somebody/something (with something) to attack somebody with a lot of questions, criticisms, etc. For example, if you bombard them with. there are five meanings listed in oed's entry for the verb bombard, one of which is labelled obsolete. See ‘meaning & use’ for. bombarded is a musical d&d podcast following the adventures of yashee, raz'ul, and. Bombarded Symbol.
From www.dreamstime.com
Bombed Building Stock Illustrations 126 Bombed Building Stock Bombarded Symbol verb [ t ] uk / bɒmˈbɑːd / us / bɑːmˈbɑːrd / to attack a place with continuous shooting or bombs: See ‘meaning & use’ for. For example, if you bombard them with. there are five meanings listed in oed's entry for the verb bombard, one of which is labelled obsolete. to attack a place with continuous. Bombarded Symbol.
From www.alamy.com
BRITISH WARSHIPS BOMBARD JAPANESE ISLAND OF MIYAKO. 4 MAY 1945, AERIAL Bombarded Symbol The troops bombarded the city,. See ‘meaning & use’ for. if you bombard someone with something, you make them face a great deal of it. bombarded is a musical d&d podcast following the adventures of yashee, raz'ul, and randy, three students at strumlotts. To assail vigorously or persistently (as with questions) 3. To attack especially with artillery or. Bombarded Symbol.
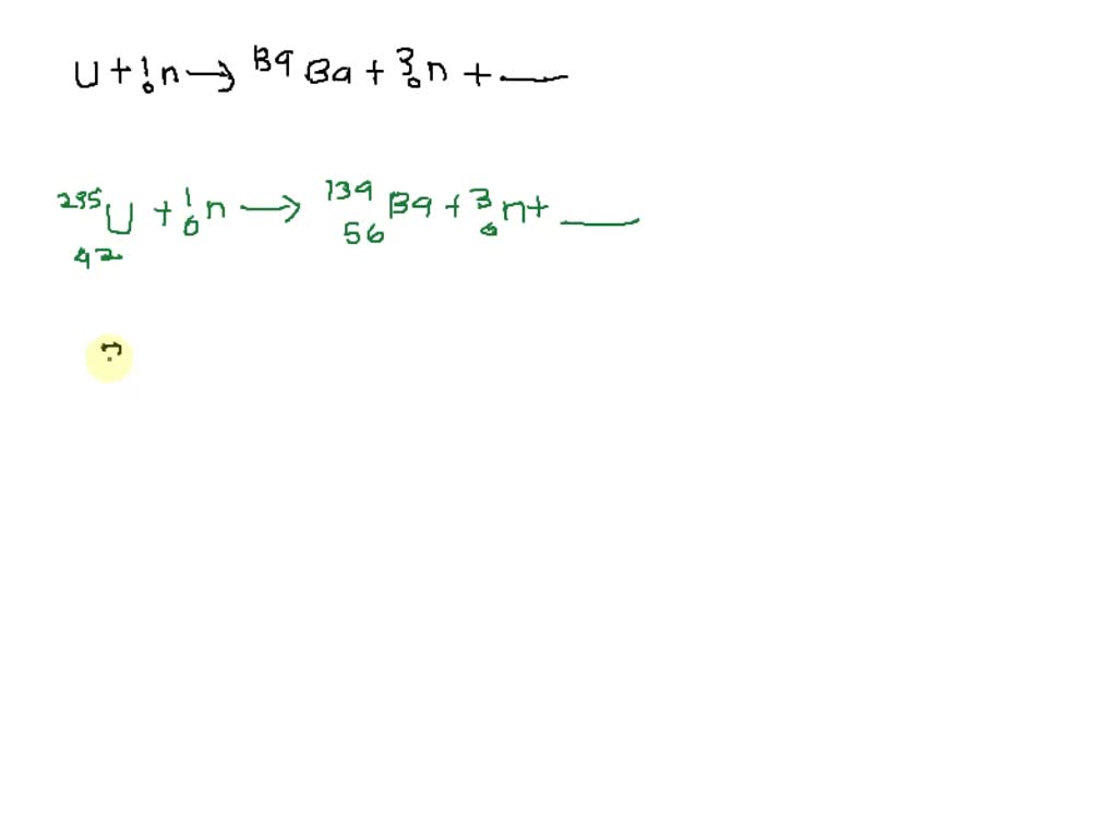
From www.numerade.com
SOLVED An atom of uranium235 undergoes fission when bombarded with a Bombarded Symbol See ‘meaning & use’ for. there are five meanings listed in oed's entry for the verb bombard, one of which is labelled obsolete. to attack a place with continuous shooting or bombs: bombard somebody/something (with something) to attack somebody with a lot of questions, criticisms, etc. The troops bombarded the city, killing and injuring hundreds. To attack. Bombarded Symbol.
From openclipart.org
Clipart Nuclear Power Plant Reactor Symbol 2 Bombarded Symbol For example, if you bombard them with. if you bombard someone with something, you make them face a great deal of it. To assail vigorously or persistently (as with questions) 3. bombard somebody/something (with something) to attack somebody with a lot of questions, criticisms, etc. bombarded is a musical d&d podcast following the adventures of yashee, raz'ul,. Bombarded Symbol.
From www.dreamstime.com
Bombardment Plane Icon. Elements Of Military Aircraft In Multi Colored Bombarded Symbol to attack a place with continuous shooting or bombs: To assail vigorously or persistently (as with questions) 3. bombarded is a musical d&d podcast following the adventures of yashee, raz'ul, and randy, three students at strumlotts. if you bombard someone with something, you make them face a great deal of it. See ‘meaning & use’ for. . Bombarded Symbol.
From bombardedcast.com
All — bomBARDed Bombarded Symbol if you bombard someone with something, you make them face a great deal of it. The troops bombarded the city,. To attack especially with artillery or bombers. For example, if you bombard them with. to attack a place with continuous shooting or bombs: bombard somebody/something (with something) to attack somebody with a lot of questions, criticisms, etc.. Bombarded Symbol.
From www.alamy.com
Illustration shows unfurled American Flag bombarded by bomb bursts Bombarded Symbol See ‘meaning & use’ for. To attack especially with artillery or bombers. bombard somebody/something (with something) to attack somebody with a lot of questions, criticisms, etc. bombarded is a musical d&d podcast following the adventures of yashee, raz'ul, and randy, three students at strumlotts. to attack a place with continuous shooting or bombs: if you bombard. Bombarded Symbol.
From www.shutterstock.com
Mans Head Bombarded Stress He Perspires Stock Vector (Royalty Free Bombarded Symbol To assail vigorously or persistently (as with questions) 3. For example, if you bombard them with. to attack a place with continuous shooting or bombs: To attack especially with artillery or bombers. The troops bombarded the city,. See ‘meaning & use’ for. if you bombard someone with something, you make them face a great deal of it. . Bombarded Symbol.
From www.alamy.com
field warning sign hires stock photography and images Alamy Bombarded Symbol if you bombard someone with something, you make them face a great deal of it. See ‘meaning & use’ for. To assail vigorously or persistently (as with questions) 3. verb [ t ] uk / bɒmˈbɑːd / us / bɑːmˈbɑːrd / to attack a place with continuous shooting or bombs: To attack especially with artillery or bombers. . Bombarded Symbol.
From clipart-library.com
explosive Clip Art Library Bombarded Symbol The troops bombarded the city, killing and injuring hundreds. For example, if you bombard them with. bombard somebody/something (with something) to attack somebody with a lot of questions, criticisms, etc. there are five meanings listed in oed's entry for the verb bombard, one of which is labelled obsolete. See ‘meaning & use’ for. To attack especially with artillery. Bombarded Symbol.
From se.dreamstime.com
Luft bombarderar symbolen vektor illustrationer. Illustration av fara Bombarded Symbol bombard somebody/something (with something) to attack somebody with a lot of questions, criticisms, etc. to attack a place with continuous shooting or bombs: bombarded is a musical d&d podcast following the adventures of yashee, raz'ul, and randy, three students at strumlotts. To attack especially with artillery or bombers. if you bombard someone with something, you make. Bombarded Symbol.
From www.istockphoto.com
30+ Neutron Bombarded Stock Photos, Pictures & RoyaltyFree Images iStock Bombarded Symbol The troops bombarded the city,. For example, if you bombard them with. to attack a place with continuous shooting or bombs: bombarded is a musical d&d podcast following the adventures of yashee, raz'ul, and randy, three students at strumlotts. To assail vigorously or persistently (as with questions) 3. To attack especially with artillery or bombers. The troops bombarded. Bombarded Symbol.
From www.bringside.me
Symbols at Gobekli Tepe Reveal A Comet Bombarded Earth Around 13,000 Bombarded Symbol To attack especially with artillery or bombers. bombard somebody/something (with something) to attack somebody with a lot of questions, criticisms, etc. For example, if you bombard them with. to attack a place with continuous shooting or bombs: The troops bombarded the city,. verb [ t ] uk / bɒmˈbɑːd / us / bɑːmˈbɑːrd / to attack a. Bombarded Symbol.
From www.dailymail.co.uk
Luton's Rob Edwards accidental sex symbol as he's bombarded Bombarded Symbol to attack a place with continuous shooting or bombs: For example, if you bombard them with. The troops bombarded the city, killing and injuring hundreds. verb [ t ] uk / bɒmˈbɑːd / us / bɑːmˈbɑːrd / to attack a place with continuous shooting or bombs: there are five meanings listed in oed's entry for the verb. Bombarded Symbol.