Planned Unit Development Rider Form . This planned unit development rider is made this _____ day of _____, 20 __, and is incorporated into and shall be deemed to. The property is a part of a planned unit development known as (the “pud”). This planned unit development rider is made this __________ day of _____________________, ______, and is. Fannie mae has not developed a standard multistate form for that rider, so the lender should contact its fannie mae customer. [name of planned unit development] the property also. The borrower signs the short form document and any applicable riders, and the lender must provide the borrower with a copy of the recorded master. This rider amends and supplements the security instrument on the parcel of land improved with a dwelling, together with other such parcels and. This planned unit development rider is made this day of , and is incorporated into and shall be deemed to amend and supplement the.
from www.pdffiller.com
The borrower signs the short form document and any applicable riders, and the lender must provide the borrower with a copy of the recorded master. This rider amends and supplements the security instrument on the parcel of land improved with a dwelling, together with other such parcels and. The property is a part of a planned unit development known as (the “pud”). [name of planned unit development] the property also. This planned unit development rider is made this _____ day of _____, 20 __, and is incorporated into and shall be deemed to. This planned unit development rider is made this day of , and is incorporated into and shall be deemed to amend and supplement the. Fannie mae has not developed a standard multistate form for that rider, so the lender should contact its fannie mae customer. This planned unit development rider is made this __________ day of _____________________, ______, and is.
Dd Form 3150 Fill Online, Printable, Fillable, Blank pdfFiller
Planned Unit Development Rider Form The borrower signs the short form document and any applicable riders, and the lender must provide the borrower with a copy of the recorded master. [name of planned unit development] the property also. This rider amends and supplements the security instrument on the parcel of land improved with a dwelling, together with other such parcels and. This planned unit development rider is made this day of , and is incorporated into and shall be deemed to amend and supplement the. This planned unit development rider is made this _____ day of _____, 20 __, and is incorporated into and shall be deemed to. Fannie mae has not developed a standard multistate form for that rider, so the lender should contact its fannie mae customer. The borrower signs the short form document and any applicable riders, and the lender must provide the borrower with a copy of the recorded master. The property is a part of a planned unit development known as (the “pud”). This planned unit development rider is made this __________ day of _____________________, ______, and is.
From nickiandkaren.com
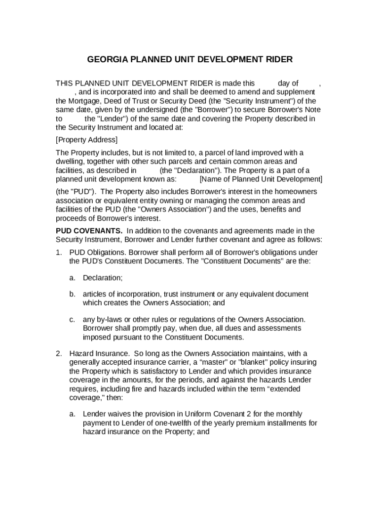
What to Understand about a Planned Unit Development Rider Nicki & Karen Planned Unit Development Rider Form This planned unit development rider is made this __________ day of _____________________, ______, and is. This rider amends and supplements the security instrument on the parcel of land improved with a dwelling, together with other such parcels and. The property is a part of a planned unit development known as (the “pud”). This planned unit development rider is made this. Planned Unit Development Rider Form.
From kb.godocs.com
Where do I go to include a PUD (Planned Unit Development rider) Planned Unit Development Rider Form This rider amends and supplements the security instrument on the parcel of land improved with a dwelling, together with other such parcels and. Fannie mae has not developed a standard multistate form for that rider, so the lender should contact its fannie mae customer. The borrower signs the short form document and any applicable riders, and the lender must provide. Planned Unit Development Rider Form.
From www.pdffiller.com
Fillable Online Final Development Plan Submission Planned Unit Planned Unit Development Rider Form This rider amends and supplements the security instrument on the parcel of land improved with a dwelling, together with other such parcels and. This planned unit development rider is made this day of , and is incorporated into and shall be deemed to amend and supplement the. This planned unit development rider is made this __________ day of _____________________, ______,. Planned Unit Development Rider Form.
From www.pdffiller.com
Fillable Online What Is a Planned Unit Development Rider? Fax Email Planned Unit Development Rider Form [name of planned unit development] the property also. The borrower signs the short form document and any applicable riders, and the lender must provide the borrower with a copy of the recorded master. This rider amends and supplements the security instrument on the parcel of land improved with a dwelling, together with other such parcels and. This planned unit development. Planned Unit Development Rider Form.
From www.templateroller.com
City of Flint, Michigan Application for Planned Unit Development Planned Unit Development Rider Form The borrower signs the short form document and any applicable riders, and the lender must provide the borrower with a copy of the recorded master. This planned unit development rider is made this _____ day of _____, 20 __, and is incorporated into and shall be deemed to. This rider amends and supplements the security instrument on the parcel of. Planned Unit Development Rider Form.
From www.pdffiller.com
Fillable Online planned unit development preliminary application Fax Planned Unit Development Rider Form This rider amends and supplements the security instrument on the parcel of land improved with a dwelling, together with other such parcels and. [name of planned unit development] the property also. Fannie mae has not developed a standard multistate form for that rider, so the lender should contact its fannie mae customer. The property is a part of a planned. Planned Unit Development Rider Form.
From www.pdffiller.com
PDF 3150 Multistate Planned Unit Development Rider Freddie Mac Doc Planned Unit Development Rider Form This rider amends and supplements the security instrument on the parcel of land improved with a dwelling, together with other such parcels and. [name of planned unit development] the property also. The property is a part of a planned unit development known as (the “pud”). This planned unit development rider is made this day of , and is incorporated into. Planned Unit Development Rider Form.
From www.pdffiller.com
Fillable Online FOR PLANNED UNIT DEVELOPMENT Fax Email Print pdfFiller Planned Unit Development Rider Form This planned unit development rider is made this _____ day of _____, 20 __, and is incorporated into and shall be deemed to. This rider amends and supplements the security instrument on the parcel of land improved with a dwelling, together with other such parcels and. This planned unit development rider is made this day of , and is incorporated. Planned Unit Development Rider Form.
From www.pdffiller.com
Fillable Online PUD Planned Unit Development Application Fax Email Planned Unit Development Rider Form This rider amends and supplements the security instrument on the parcel of land improved with a dwelling, together with other such parcels and. The property is a part of a planned unit development known as (the “pud”). This planned unit development rider is made this day of , and is incorporated into and shall be deemed to amend and supplement. Planned Unit Development Rider Form.
From studylib.es
Puerto Rico PUD Rider (Form 3150.53) PDF Planned Unit Development Rider Form Fannie mae has not developed a standard multistate form for that rider, so the lender should contact its fannie mae customer. This rider amends and supplements the security instrument on the parcel of land improved with a dwelling, together with other such parcels and. This planned unit development rider is made this __________ day of _____________________, ______, and is. This. Planned Unit Development Rider Form.
From www.formsbank.com
Fillable Planned Unit Development (Pud) Preliminary Application Planned Unit Development Rider Form [name of planned unit development] the property also. Fannie mae has not developed a standard multistate form for that rider, so the lender should contact its fannie mae customer. The property is a part of a planned unit development known as (the “pud”). This rider amends and supplements the security instrument on the parcel of land improved with a dwelling,. Planned Unit Development Rider Form.
From form-3031.pdffiller.com
Form 3031 Fill Online, Printable, Fillable, Blank pdfFiller Planned Unit Development Rider Form The property is a part of a planned unit development known as (the “pud”). [name of planned unit development] the property also. This planned unit development rider is made this _____ day of _____, 20 __, and is incorporated into and shall be deemed to. This planned unit development rider is made this __________ day of _____________________, ______, and is.. Planned Unit Development Rider Form.
From dcoz.dc.gov
Planned Unit Developments dcoz Planned Unit Development Rider Form The property is a part of a planned unit development known as (the “pud”). This planned unit development rider is made this __________ day of _____________________, ______, and is. This rider amends and supplements the security instrument on the parcel of land improved with a dwelling, together with other such parcels and. This planned unit development rider is made this. Planned Unit Development Rider Form.
From kb.godocs.com
Where do I go to include a PUD (Planned Unit Development rider) Planned Unit Development Rider Form This planned unit development rider is made this _____ day of _____, 20 __, and is incorporated into and shall be deemed to. Fannie mae has not developed a standard multistate form for that rider, so the lender should contact its fannie mae customer. The borrower signs the short form document and any applicable riders, and the lender must provide. Planned Unit Development Rider Form.
From www.pdffiller.com
Fillable Online FINAL PLANNED UNIT DEVELOPMENT Fax Email Print pdfFiller Planned Unit Development Rider Form The property is a part of a planned unit development known as (the “pud”). [name of planned unit development] the property also. This rider amends and supplements the security instrument on the parcel of land improved with a dwelling, together with other such parcels and. Fannie mae has not developed a standard multistate form for that rider, so the lender. Planned Unit Development Rider Form.
From nickiandkaren.com
What to Understand about a Planned Unit Development Rider Nicki & Karen Planned Unit Development Rider Form The borrower signs the short form document and any applicable riders, and the lender must provide the borrower with a copy of the recorded master. The property is a part of a planned unit development known as (the “pud”). Fannie mae has not developed a standard multistate form for that rider, so the lender should contact its fannie mae customer.. Planned Unit Development Rider Form.
From www.pdffiller.com
Fillable Online Fannie3150pud.doc Fax Email Print pdfFiller Planned Unit Development Rider Form The property is a part of a planned unit development known as (the “pud”). This planned unit development rider is made this __________ day of _____________________, ______, and is. Fannie mae has not developed a standard multistate form for that rider, so the lender should contact its fannie mae customer. [name of planned unit development] the property also. This planned. Planned Unit Development Rider Form.
From www.pdffiller.com
Fillable Online What to Understand about a Planned Unit Development Planned Unit Development Rider Form This rider amends and supplements the security instrument on the parcel of land improved with a dwelling, together with other such parcels and. This planned unit development rider is made this __________ day of _____________________, ______, and is. [name of planned unit development] the property also. This planned unit development rider is made this day of , and is incorporated. Planned Unit Development Rider Form.
From www.pdffiller.com
Dd 3150 Download Doc Template pdfFiller Planned Unit Development Rider Form Fannie mae has not developed a standard multistate form for that rider, so the lender should contact its fannie mae customer. The borrower signs the short form document and any applicable riders, and the lender must provide the borrower with a copy of the recorded master. This rider amends and supplements the security instrument on the parcel of land improved. Planned Unit Development Rider Form.
From www.pdffiller.com
Fillable Online Planned Unit Development Preliminary Development Plan Planned Unit Development Rider Form This planned unit development rider is made this _____ day of _____, 20 __, and is incorporated into and shall be deemed to. This planned unit development rider is made this day of , and is incorporated into and shall be deemed to amend and supplement the. The property is a part of a planned unit development known as (the. Planned Unit Development Rider Form.
From www.pdffiller.com
Fillable Online PLANNED UNIT DEVELOPMENT (PUD) Fax Email Print pdfFiller Planned Unit Development Rider Form This planned unit development rider is made this day of , and is incorporated into and shall be deemed to amend and supplement the. This planned unit development rider is made this __________ day of _____________________, ______, and is. This planned unit development rider is made this _____ day of _____, 20 __, and is incorporated into and shall be. Planned Unit Development Rider Form.
From www.formsbank.com
Application Form Planned Unit Development printable pdf download Planned Unit Development Rider Form This planned unit development rider is made this _____ day of _____, 20 __, and is incorporated into and shall be deemed to. This planned unit development rider is made this __________ day of _____________________, ______, and is. This rider amends and supplements the security instrument on the parcel of land improved with a dwelling, together with other such parcels. Planned Unit Development Rider Form.
From nickiandkaren.com
What to Understand about a Planned Unit Development Rider Nicki & Karen Planned Unit Development Rider Form This planned unit development rider is made this day of , and is incorporated into and shall be deemed to amend and supplement the. This planned unit development rider is made this _____ day of _____, 20 __, and is incorporated into and shall be deemed to. The property is a part of a planned unit development known as (the. Planned Unit Development Rider Form.
From www.pdffiller.com
Fillable Online deeds desotocountyms 1 Balloon Rider Planned Unit Planned Unit Development Rider Form This planned unit development rider is made this _____ day of _____, 20 __, and is incorporated into and shall be deemed to. This planned unit development rider is made this day of , and is incorporated into and shall be deemed to amend and supplement the. The property is a part of a planned unit development known as (the. Planned Unit Development Rider Form.
From dcoz.dc.gov
Planned Unit Developments dcoz Planned Unit Development Rider Form This planned unit development rider is made this _____ day of _____, 20 __, and is incorporated into and shall be deemed to. [name of planned unit development] the property also. This planned unit development rider is made this __________ day of _____________________, ______, and is. Fannie mae has not developed a standard multistate form for that rider, so the. Planned Unit Development Rider Form.
From www.pdffiller.com
Dd Form 3150 Fill Online, Printable, Fillable, Blank pdfFiller Planned Unit Development Rider Form Fannie mae has not developed a standard multistate form for that rider, so the lender should contact its fannie mae customer. This planned unit development rider is made this day of , and is incorporated into and shall be deemed to amend and supplement the. This planned unit development rider is made this _____ day of _____, 20 __, and. Planned Unit Development Rider Form.
From www.pdffiller.com
Fillable Online Planned Unit Development Final Development Plan Fax Planned Unit Development Rider Form Fannie mae has not developed a standard multistate form for that rider, so the lender should contact its fannie mae customer. This planned unit development rider is made this day of , and is incorporated into and shall be deemed to amend and supplement the. This planned unit development rider is made this __________ day of _____________________, ______, and is.. Planned Unit Development Rider Form.
From www.pdffiller.com
Fillable Online Planned Unit Development Application Packet Fax Email Planned Unit Development Rider Form This rider amends and supplements the security instrument on the parcel of land improved with a dwelling, together with other such parcels and. This planned unit development rider is made this day of , and is incorporated into and shall be deemed to amend and supplement the. This planned unit development rider is made this _____ day of _____, 20. Planned Unit Development Rider Form.
From www.uslegalforms.com
Nebraska Planned Unit Development Rider What Is A Planned Unit Planned Unit Development Rider Form [name of planned unit development] the property also. The property is a part of a planned unit development known as (the “pud”). This rider amends and supplements the security instrument on the parcel of land improved with a dwelling, together with other such parcels and. The borrower signs the short form document and any applicable riders, and the lender must. Planned Unit Development Rider Form.
From www.pdffiller.com
Fillable Online Planned Unit Development (PUD) Master Plan/Development Planned Unit Development Rider Form Fannie mae has not developed a standard multistate form for that rider, so the lender should contact its fannie mae customer. This planned unit development rider is made this day of , and is incorporated into and shall be deemed to amend and supplement the. This rider amends and supplements the security instrument on the parcel of land improved with. Planned Unit Development Rider Form.
From www.pdffiller.com
Fillable Online Application for Preliminary Planned Unit Development Planned Unit Development Rider Form Fannie mae has not developed a standard multistate form for that rider, so the lender should contact its fannie mae customer. The property is a part of a planned unit development known as (the “pud”). This planned unit development rider is made this __________ day of _____________________, ______, and is. This rider amends and supplements the security instrument on the. Planned Unit Development Rider Form.
From www.uslegalforms.com
Nebraska Planned Unit Development Rider What Is A Planned Unit Planned Unit Development Rider Form This planned unit development rider is made this __________ day of _____________________, ______, and is. Fannie mae has not developed a standard multistate form for that rider, so the lender should contact its fannie mae customer. The property is a part of a planned unit development known as (the “pud”). This rider amends and supplements the security instrument on the. Planned Unit Development Rider Form.
From exookuzpz.blob.core.windows.net
What Is A Planned Unit Development Rider On A Mortgage at Mary Moses blog Planned Unit Development Rider Form This planned unit development rider is made this day of , and is incorporated into and shall be deemed to amend and supplement the. The borrower signs the short form document and any applicable riders, and the lender must provide the borrower with a copy of the recorded master. This planned unit development rider is made this __________ day of. Planned Unit Development Rider Form.
From www.pdffiller.com
PLANNED UNIT DEVELOPMENT RIDER HUD Doc Template pdfFiller Planned Unit Development Rider Form This rider amends and supplements the security instrument on the parcel of land improved with a dwelling, together with other such parcels and. The property is a part of a planned unit development known as (the “pud”). This planned unit development rider is made this __________ day of _____________________, ______, and is. Fannie mae has not developed a standard multistate. Planned Unit Development Rider Form.
From www.pdffiller.com
texas home equity planned unit development rider Doc Template pdfFiller Planned Unit Development Rider Form This rider amends and supplements the security instrument on the parcel of land improved with a dwelling, together with other such parcels and. This planned unit development rider is made this day of , and is incorporated into and shall be deemed to amend and supplement the. This planned unit development rider is made this __________ day of _____________________, ______,. Planned Unit Development Rider Form.