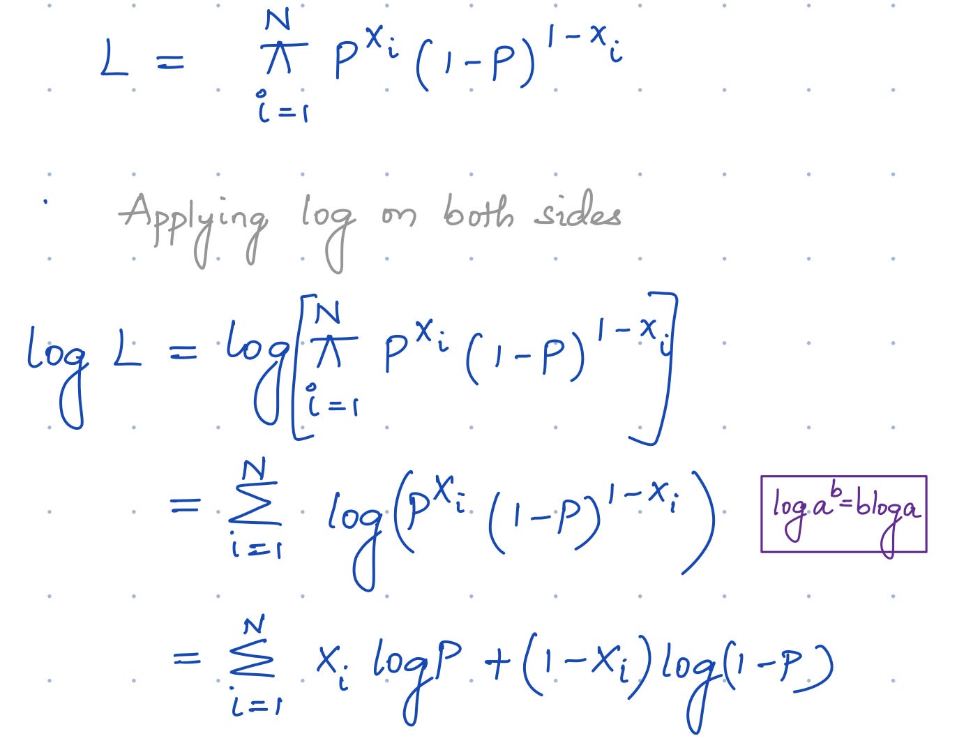
Log Loss Function Logistic Regression . in order to preserve the convex nature for the loss function, a log loss error function has been designed for logistic regression. learn the difference between log loss and mean squared error as evaluation metrics for binary classification models. The cost function is split for two cases y=1 and y=0. This is the loss function used in (multinomial) logistic regression and. We use the loss function to determine how well our model fits the data. learn best practices for training a logistic regression model, including using log loss as the loss function and applying. in machine learning, the function to be optimized is called the loss function or cost function. know the reasons why we are using the log loss function instead of mse for logistic regression; log loss is a logarithmic transformation of the likelihood function, primarily used to evaluate the performance. learn how log loss is derived from the maximum likelihood estimation method and used in classification problems.
from towardsdatascience.com
learn best practices for training a logistic regression model, including using log loss as the loss function and applying. log loss is a logarithmic transformation of the likelihood function, primarily used to evaluate the performance. The cost function is split for two cases y=1 and y=0. in order to preserve the convex nature for the loss function, a log loss error function has been designed for logistic regression. This is the loss function used in (multinomial) logistic regression and. learn how log loss is derived from the maximum likelihood estimation method and used in classification problems. know the reasons why we are using the log loss function instead of mse for logistic regression; learn the difference between log loss and mean squared error as evaluation metrics for binary classification models. We use the loss function to determine how well our model fits the data. in machine learning, the function to be optimized is called the loss function or cost function.
Log loss function math explained. Have you ever worked on a… by Harshith Towards Data Science
Log Loss Function Logistic Regression learn the difference between log loss and mean squared error as evaluation metrics for binary classification models. This is the loss function used in (multinomial) logistic regression and. know the reasons why we are using the log loss function instead of mse for logistic regression; in order to preserve the convex nature for the loss function, a log loss error function has been designed for logistic regression. The cost function is split for two cases y=1 and y=0. We use the loss function to determine how well our model fits the data. in machine learning, the function to be optimized is called the loss function or cost function. log loss is a logarithmic transformation of the likelihood function, primarily used to evaluate the performance. learn the difference between log loss and mean squared error as evaluation metrics for binary classification models. learn how log loss is derived from the maximum likelihood estimation method and used in classification problems. learn best practices for training a logistic regression model, including using log loss as the loss function and applying.
From www.youtube.com
L8.2 Logistic Regression Loss Function YouTube Log Loss Function Logistic Regression The cost function is split for two cases y=1 and y=0. We use the loss function to determine how well our model fits the data. know the reasons why we are using the log loss function instead of mse for logistic regression; learn best practices for training a logistic regression model, including using log loss as the loss. Log Loss Function Logistic Regression.
From www.ritchieng.com
Logistic Regression Machine Learning, Deep Learning, and Computer Vision Log Loss Function Logistic Regression in order to preserve the convex nature for the loss function, a log loss error function has been designed for logistic regression. know the reasons why we are using the log loss function instead of mse for logistic regression; This is the loss function used in (multinomial) logistic regression and. in machine learning, the function to be. Log Loss Function Logistic Regression.
From www.spiceworks.com
Logistic Regression Equation, Assumptions, Types, and Best Practices Log Loss Function Logistic Regression know the reasons why we are using the log loss function instead of mse for logistic regression; in machine learning, the function to be optimized is called the loss function or cost function. learn how log loss is derived from the maximum likelihood estimation method and used in classification problems. learn best practices for training a. Log Loss Function Logistic Regression.
From towardsdatascience.com
Loss Function (Part II) Logistic Regression by Shuyu Luo Towards Data Science Log Loss Function Logistic Regression know the reasons why we are using the log loss function instead of mse for logistic regression; This is the loss function used in (multinomial) logistic regression and. learn the difference between log loss and mean squared error as evaluation metrics for binary classification models. learn how log loss is derived from the maximum likelihood estimation method. Log Loss Function Logistic Regression.
From ucanalytics.com
Logistic Regression Loss Function 3D plot YOU CANalytics Log Loss Function Logistic Regression log loss is a logarithmic transformation of the likelihood function, primarily used to evaluate the performance. in machine learning, the function to be optimized is called the loss function or cost function. learn the difference between log loss and mean squared error as evaluation metrics for binary classification models. learn best practices for training a logistic. Log Loss Function Logistic Regression.
From towardsdatascience.com
Logistic Regression and Decision Boundary by Anuradha Wickramarachchi Towards Data Science Log Loss Function Logistic Regression learn how log loss is derived from the maximum likelihood estimation method and used in classification problems. log loss is a logarithmic transformation of the likelihood function, primarily used to evaluate the performance. learn best practices for training a logistic regression model, including using log loss as the loss function and applying. The cost function is split. Log Loss Function Logistic Regression.
From towardsdatascience.com
Log loss function math explained. Have you ever worked on a… by Harshith Towards Data Science Log Loss Function Logistic Regression in machine learning, the function to be optimized is called the loss function or cost function. know the reasons why we are using the log loss function instead of mse for logistic regression; We use the loss function to determine how well our model fits the data. The cost function is split for two cases y=1 and y=0.. Log Loss Function Logistic Regression.
From pub.towardsai.net
Proving the Convexity of LogLoss for Logistic Regression by Towards AI Editorial Team Log Loss Function Logistic Regression learn how log loss is derived from the maximum likelihood estimation method and used in classification problems. learn the difference between log loss and mean squared error as evaluation metrics for binary classification models. learn best practices for training a logistic regression model, including using log loss as the loss function and applying. This is the loss. Log Loss Function Logistic Regression.
From www.slideserve.com
PPT Logistic Regression PowerPoint Presentation, free download ID5505444 Log Loss Function Logistic Regression The cost function is split for two cases y=1 and y=0. learn how log loss is derived from the maximum likelihood estimation method and used in classification problems. We use the loss function to determine how well our model fits the data. know the reasons why we are using the log loss function instead of mse for logistic. Log Loss Function Logistic Regression.
From www.youtube.com
Log Loss or Cross Entropy Loss or Cost Function in Logistic Regression Tutorial 4 YouTube Log Loss Function Logistic Regression learn the difference between log loss and mean squared error as evaluation metrics for binary classification models. know the reasons why we are using the log loss function instead of mse for logistic regression; in machine learning, the function to be optimized is called the loss function or cost function. learn best practices for training a. Log Loss Function Logistic Regression.
From medium.com
Understanding the log loss function by Susmith Reddy Analytics Vidhya Medium Log Loss Function Logistic Regression We use the loss function to determine how well our model fits the data. learn how log loss is derived from the maximum likelihood estimation method and used in classification problems. learn best practices for training a logistic regression model, including using log loss as the loss function and applying. in machine learning, the function to be. Log Loss Function Logistic Regression.
From faculty.nps.edu
Chapter 18 Logistic Regression Introduction to Statistics and Data Science Log Loss Function Logistic Regression learn how log loss is derived from the maximum likelihood estimation method and used in classification problems. learn the difference between log loss and mean squared error as evaluation metrics for binary classification models. This is the loss function used in (multinomial) logistic regression and. We use the loss function to determine how well our model fits the. Log Loss Function Logistic Regression.
From krdytkyu.blogspot.com
Loss function for logistic regression Log Loss Function Logistic Regression We use the loss function to determine how well our model fits the data. log loss is a logarithmic transformation of the likelihood function, primarily used to evaluate the performance. know the reasons why we are using the log loss function instead of mse for logistic regression; learn how log loss is derived from the maximum likelihood. Log Loss Function Logistic Regression.
From rupak240.github.io
Logistic Regression Log Loss Function Logistic Regression log loss is a logarithmic transformation of the likelihood function, primarily used to evaluate the performance. know the reasons why we are using the log loss function instead of mse for logistic regression; learn the difference between log loss and mean squared error as evaluation metrics for binary classification models. in machine learning, the function to. Log Loss Function Logistic Regression.
From towardsdatascience.com
Loss Function (Part II) Logistic Regression by Shuyu Luo Towards Data Science Log Loss Function Logistic Regression We use the loss function to determine how well our model fits the data. know the reasons why we are using the log loss function instead of mse for logistic regression; in machine learning, the function to be optimized is called the loss function or cost function. learn how log loss is derived from the maximum likelihood. Log Loss Function Logistic Regression.
From www.youtube.com
4.Logistic Regression Log Loss Function YouTube Log Loss Function Logistic Regression learn best practices for training a logistic regression model, including using log loss as the loss function and applying. learn how log loss is derived from the maximum likelihood estimation method and used in classification problems. We use the loss function to determine how well our model fits the data. The cost function is split for two cases. Log Loss Function Logistic Regression.
From www.almabetter.com
Logistic Regression in Machine Learning Log Loss Function Logistic Regression in machine learning, the function to be optimized is called the loss function or cost function. We use the loss function to determine how well our model fits the data. know the reasons why we are using the log loss function instead of mse for logistic regression; in order to preserve the convex nature for the loss. Log Loss Function Logistic Regression.
From www.youtube.com
Logistic Regression Intro, Loss Function, and Gradient YouTube Log Loss Function Logistic Regression in order to preserve the convex nature for the loss function, a log loss error function has been designed for logistic regression. This is the loss function used in (multinomial) logistic regression and. in machine learning, the function to be optimized is called the loss function or cost function. know the reasons why we are using the. Log Loss Function Logistic Regression.
From velog.io
ML 7 Cost Function for Logistic Regression Log Loss Function Logistic Regression in machine learning, the function to be optimized is called the loss function or cost function. in order to preserve the convex nature for the loss function, a log loss error function has been designed for logistic regression. The cost function is split for two cases y=1 and y=0. This is the loss function used in (multinomial) logistic. Log Loss Function Logistic Regression.
From towardsdatascience.com
Log loss function math explained. Have you ever worked on a… by Harshith Towards Data Science Log Loss Function Logistic Regression log loss is a logarithmic transformation of the likelihood function, primarily used to evaluate the performance. in machine learning, the function to be optimized is called the loss function or cost function. in order to preserve the convex nature for the loss function, a log loss error function has been designed for logistic regression. learn the. Log Loss Function Logistic Regression.
From www.r-bloggers.com
Logistic Regression Regularized with Optimization Rbloggers Log Loss Function Logistic Regression We use the loss function to determine how well our model fits the data. in machine learning, the function to be optimized is called the loss function or cost function. learn how log loss is derived from the maximum likelihood estimation method and used in classification problems. know the reasons why we are using the log loss. Log Loss Function Logistic Regression.
From www.codingninjas.com
Code Studio Log Loss Function Logistic Regression in machine learning, the function to be optimized is called the loss function or cost function. The cost function is split for two cases y=1 and y=0. learn best practices for training a logistic regression model, including using log loss as the loss function and applying. log loss is a logarithmic transformation of the likelihood function, primarily. Log Loss Function Logistic Regression.
From www.analyticsvidhya.com
Logistic Regression Algorithm Introduction to Logistic Regression Log Loss Function Logistic Regression learn how log loss is derived from the maximum likelihood estimation method and used in classification problems. log loss is a logarithmic transformation of the likelihood function, primarily used to evaluate the performance. in order to preserve the convex nature for the loss function, a log loss error function has been designed for logistic regression. learn. Log Loss Function Logistic Regression.
From hyperskill.org
Logloss function · Logistic regression · Hyperskill Log Loss Function Logistic Regression learn best practices for training a logistic regression model, including using log loss as the loss function and applying. learn how log loss is derived from the maximum likelihood estimation method and used in classification problems. learn the difference between log loss and mean squared error as evaluation metrics for binary classification models. log loss is. Log Loss Function Logistic Regression.
From www.youtube.com
Logistic Regression Loss function YouTube Log Loss Function Logistic Regression The cost function is split for two cases y=1 and y=0. in order to preserve the convex nature for the loss function, a log loss error function has been designed for logistic regression. know the reasons why we are using the log loss function instead of mse for logistic regression; learn the difference between log loss and. Log Loss Function Logistic Regression.
From www.youtube.com
41 Logistic Regression Log Loss & Binary Cross Entropy Cost Function YouTube Log Loss Function Logistic Regression know the reasons why we are using the log loss function instead of mse for logistic regression; learn the difference between log loss and mean squared error as evaluation metrics for binary classification models. The cost function is split for two cases y=1 and y=0. learn how log loss is derived from the maximum likelihood estimation method. Log Loss Function Logistic Regression.
From www.vrogue.co
Understanding The Log Loss Function By Susmith Reddy vrogue.co Log Loss Function Logistic Regression learn how log loss is derived from the maximum likelihood estimation method and used in classification problems. We use the loss function to determine how well our model fits the data. learn the difference between log loss and mean squared error as evaluation metrics for binary classification models. log loss is a logarithmic transformation of the likelihood. Log Loss Function Logistic Regression.
From www.researchgate.net
Learning curve for logistic regression with log loss metric. The... Download Scientific Diagram Log Loss Function Logistic Regression We use the loss function to determine how well our model fits the data. learn best practices for training a logistic regression model, including using log loss as the loss function and applying. learn the difference between log loss and mean squared error as evaluation metrics for binary classification models. This is the loss function used in (multinomial). Log Loss Function Logistic Regression.
From medium.com
Logistic Regression Towards Data Science Log Loss Function Logistic Regression The cost function is split for two cases y=1 and y=0. in order to preserve the convex nature for the loss function, a log loss error function has been designed for logistic regression. This is the loss function used in (multinomial) logistic regression and. learn best practices for training a logistic regression model, including using log loss as. Log Loss Function Logistic Regression.
From realpython.com
Logistic Regression in Python Real Python Log Loss Function Logistic Regression in order to preserve the convex nature for the loss function, a log loss error function has been designed for logistic regression. learn how log loss is derived from the maximum likelihood estimation method and used in classification problems. The cost function is split for two cases y=1 and y=0. learn best practices for training a logistic. Log Loss Function Logistic Regression.
From towardsdatascience.com
Logistic Regression Explained. [ — Logistic Regression explained… by z_ai Towards Data Science Log Loss Function Logistic Regression learn best practices for training a logistic regression model, including using log loss as the loss function and applying. in machine learning, the function to be optimized is called the loss function or cost function. know the reasons why we are using the log loss function instead of mse for logistic regression; log loss is a. Log Loss Function Logistic Regression.
From www.kaggle.com
All you need to know about Logistic Regression Data Science and Machine Learning Kaggle Log Loss Function Logistic Regression know the reasons why we are using the log loss function instead of mse for logistic regression; This is the loss function used in (multinomial) logistic regression and. in machine learning, the function to be optimized is called the loss function or cost function. learn the difference between log loss and mean squared error as evaluation metrics. Log Loss Function Logistic Regression.
From www.youtube.com
Log Loss or CrossEntropy Cost Function in Logistic Regression YouTube Log Loss Function Logistic Regression This is the loss function used in (multinomial) logistic regression and. know the reasons why we are using the log loss function instead of mse for logistic regression; in machine learning, the function to be optimized is called the loss function or cost function. learn how log loss is derived from the maximum likelihood estimation method and. Log Loss Function Logistic Regression.
From realpython.com
Logistic Regression in Python Real Python Log Loss Function Logistic Regression in machine learning, the function to be optimized is called the loss function or cost function. learn how log loss is derived from the maximum likelihood estimation method and used in classification problems. This is the loss function used in (multinomial) logistic regression and. We use the loss function to determine how well our model fits the data.. Log Loss Function Logistic Regression.
From www.youtube.com
logistic regression multiclass classification Cross Entropy Loss and optimization SoftMax Log Loss Function Logistic Regression We use the loss function to determine how well our model fits the data. learn best practices for training a logistic regression model, including using log loss as the loss function and applying. log loss is a logarithmic transformation of the likelihood function, primarily used to evaluate the performance. This is the loss function used in (multinomial) logistic. Log Loss Function Logistic Regression.