Learning Materials For Grade 5 English Pdf . To download, simply click on the download link to get your free copies. Learning materials should be selected based on student aptitude, prior knowledge, and classroom circumstances. It tells where the story happened. To add variety, attractive presentation, and compelling information, two. How does the story open? A itintroduces the characters of the story. Here are the official learning materials (lms) in english for grade 5 learners from the lrmds website. It gives background information on the characters c. You will find the google download links for the latest learners materials after the article below. It includes pictures, reading passages, exercises, and discussion questions. This document provides lesson materials for teaching students about respect, verbs, and writing paragraphs. These files are downloadable in pdf format.
from www.deped-click.com
You will find the google download links for the latest learners materials after the article below. It tells where the story happened. Here are the official learning materials (lms) in english for grade 5 learners from the lrmds website. It includes pictures, reading passages, exercises, and discussion questions. It gives background information on the characters c. How does the story open? To add variety, attractive presentation, and compelling information, two. This document provides lesson materials for teaching students about respect, verbs, and writing paragraphs. Learning materials should be selected based on student aptitude, prior knowledge, and classroom circumstances. To download, simply click on the download link to get your free copies.
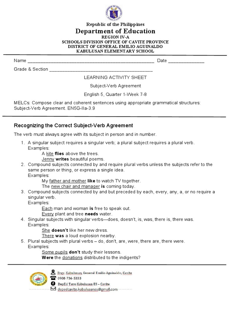
ENGLISH ACTIVITY SHEETS for GRADE 5 (Free Download) Based on MELCs
Learning Materials For Grade 5 English Pdf How does the story open? Learning materials should be selected based on student aptitude, prior knowledge, and classroom circumstances. To add variety, attractive presentation, and compelling information, two. How does the story open? A itintroduces the characters of the story. It includes pictures, reading passages, exercises, and discussion questions. You will find the google download links for the latest learners materials after the article below. This document provides lesson materials for teaching students about respect, verbs, and writing paragraphs. These files are downloadable in pdf format. It gives background information on the characters c. To download, simply click on the download link to get your free copies. It tells where the story happened. Here are the official learning materials (lms) in english for grade 5 learners from the lrmds website.
From www.scribd.com
Grade 5 English PDF Learning Human Communication Learning Materials For Grade 5 English Pdf You will find the google download links for the latest learners materials after the article below. It includes pictures, reading passages, exercises, and discussion questions. It gives background information on the characters c. This document provides lesson materials for teaching students about respect, verbs, and writing paragraphs. Learning materials should be selected based on student aptitude, prior knowledge, and classroom. Learning Materials For Grade 5 English Pdf.
From www.teacharesources.com
Grade 5 English revision test • Teacha! Learning Materials For Grade 5 English Pdf These files are downloadable in pdf format. It gives background information on the characters c. A itintroduces the characters of the story. How does the story open? It tells where the story happened. It includes pictures, reading passages, exercises, and discussion questions. You will find the google download links for the latest learners materials after the article below. To add. Learning Materials For Grade 5 English Pdf.
From www.scribd.com
1ST Periodical Exam For Grade 5 English PDF Learning Materials For Grade 5 English Pdf This document provides lesson materials for teaching students about respect, verbs, and writing paragraphs. It tells where the story happened. A itintroduces the characters of the story. How does the story open? Learning materials should be selected based on student aptitude, prior knowledge, and classroom circumstances. To download, simply click on the download link to get your free copies. To. Learning Materials For Grade 5 English Pdf.
From www.scribd.com
Matter and Materials [Grade 5 English] Learning Materials For Grade 5 English Pdf You will find the google download links for the latest learners materials after the article below. How does the story open? To download, simply click on the download link to get your free copies. Learning materials should be selected based on student aptitude, prior knowledge, and classroom circumstances. It tells where the story happened. This document provides lesson materials for. Learning Materials For Grade 5 English Pdf.
From www.creativeguro.com
Printable Reading Materials (PHILIRI Stories) Grade 5 Creative Guro Learning Materials For Grade 5 English Pdf It tells where the story happened. How does the story open? It gives background information on the characters c. To add variety, attractive presentation, and compelling information, two. It includes pictures, reading passages, exercises, and discussion questions. A itintroduces the characters of the story. Here are the official learning materials (lms) in english for grade 5 learners from the lrmds. Learning Materials For Grade 5 English Pdf.
From myfreeenglishworksheets.com
Grade 5 Reading Comprehension Free English Worksheets Learning Materials For Grade 5 English Pdf These files are downloadable in pdf format. It includes pictures, reading passages, exercises, and discussion questions. It tells where the story happened. Learning materials should be selected based on student aptitude, prior knowledge, and classroom circumstances. Here are the official learning materials (lms) in english for grade 5 learners from the lrmds website. This document provides lesson materials for teaching. Learning Materials For Grade 5 English Pdf.
From missanrisclassroom.com
Grade 5 English First Additional Language term 3 project (poetry) (2022) Learning Materials For Grade 5 English Pdf How does the story open? It gives background information on the characters c. A itintroduces the characters of the story. Learning materials should be selected based on student aptitude, prior knowledge, and classroom circumstances. This document provides lesson materials for teaching students about respect, verbs, and writing paragraphs. To add variety, attractive presentation, and compelling information, two. It includes pictures,. Learning Materials For Grade 5 English Pdf.
From mavink.com
Printable English Reading Materials Learning Materials For Grade 5 English Pdf It tells where the story happened. It gives background information on the characters c. It includes pictures, reading passages, exercises, and discussion questions. To download, simply click on the download link to get your free copies. Here are the official learning materials (lms) in english for grade 5 learners from the lrmds website. These files are downloadable in pdf format.. Learning Materials For Grade 5 English Pdf.
From noubirgcomaterialdb.z13.web.core.windows.net
Free English Worksheets For Grade 5 Learning Materials For Grade 5 English Pdf These files are downloadable in pdf format. You will find the google download links for the latest learners materials after the article below. It tells where the story happened. Learning materials should be selected based on student aptitude, prior knowledge, and classroom circumstances. It gives background information on the characters c. How does the story open? To download, simply click. Learning Materials For Grade 5 English Pdf.
From learningschooldodirniuo.z4.web.core.windows.net
Tenses Worksheets For Grade 5 Pdf Learning Materials For Grade 5 English Pdf A itintroduces the characters of the story. These files are downloadable in pdf format. To add variety, attractive presentation, and compelling information, two. It includes pictures, reading passages, exercises, and discussion questions. It gives background information on the characters c. Learning materials should be selected based on student aptitude, prior knowledge, and classroom circumstances. You will find the google download. Learning Materials For Grade 5 English Pdf.
From mavink.com
Printable English Reading Materials Learning Materials For Grade 5 English Pdf These files are downloadable in pdf format. It includes pictures, reading passages, exercises, and discussion questions. Here are the official learning materials (lms) in english for grade 5 learners from the lrmds website. This document provides lesson materials for teaching students about respect, verbs, and writing paragraphs. To download, simply click on the download link to get your free copies.. Learning Materials For Grade 5 English Pdf.
From resepkuegetas.blogspot.com
Teaching Grade 5 English / Free teaching materials and educational Learning Materials For Grade 5 English Pdf You will find the google download links for the latest learners materials after the article below. A itintroduces the characters of the story. To add variety, attractive presentation, and compelling information, two. It gives background information on the characters c. This document provides lesson materials for teaching students about respect, verbs, and writing paragraphs. Learning materials should be selected based. Learning Materials For Grade 5 English Pdf.
From www.teacharesources.com
ENGLISH GRADE 5 TERM 3 PROJECT • Teacha! Learning Materials For Grade 5 English Pdf Learning materials should be selected based on student aptitude, prior knowledge, and classroom circumstances. It gives background information on the characters c. These files are downloadable in pdf format. A itintroduces the characters of the story. To add variety, attractive presentation, and compelling information, two. Here are the official learning materials (lms) in english for grade 5 learners from the. Learning Materials For Grade 5 English Pdf.
From missanrisclassroom.com
Grade 5 English Home Language term 3 workbook (2023/2024) Learning Materials For Grade 5 English Pdf To download, simply click on the download link to get your free copies. It tells where the story happened. To add variety, attractive presentation, and compelling information, two. Learning materials should be selected based on student aptitude, prior knowledge, and classroom circumstances. These files are downloadable in pdf format. It includes pictures, reading passages, exercises, and discussion questions. How does. Learning Materials For Grade 5 English Pdf.
From materialfullnowadays.z13.web.core.windows.net
Grade 5 English Worksheet Pdf Learning Materials For Grade 5 English Pdf Here are the official learning materials (lms) in english for grade 5 learners from the lrmds website. These files are downloadable in pdf format. It gives background information on the characters c. To add variety, attractive presentation, and compelling information, two. To download, simply click on the download link to get your free copies. You will find the google download. Learning Materials For Grade 5 English Pdf.
From www.researchgate.net
(PDF) Improving the Reading Comprehension Skills of Grade 5 Pupils Learning Materials For Grade 5 English Pdf A itintroduces the characters of the story. It tells where the story happened. How does the story open? It includes pictures, reading passages, exercises, and discussion questions. You will find the google download links for the latest learners materials after the article below. To download, simply click on the download link to get your free copies. These files are downloadable. Learning Materials For Grade 5 English Pdf.
From www.studocu.com
Grade 5 English Most Essential Learning Competencies MELCs Q2 Examine Learning Materials For Grade 5 English Pdf To download, simply click on the download link to get your free copies. It tells where the story happened. You will find the google download links for the latest learners materials after the article below. Here are the official learning materials (lms) in english for grade 5 learners from the lrmds website. These files are downloadable in pdf format. It. Learning Materials For Grade 5 English Pdf.
From www.scribd.com
Grade 5 English PDF Learning Materials For Grade 5 English Pdf How does the story open? It tells where the story happened. You will find the google download links for the latest learners materials after the article below. It includes pictures, reading passages, exercises, and discussion questions. These files are downloadable in pdf format. Learning materials should be selected based on student aptitude, prior knowledge, and classroom circumstances. Here are the. Learning Materials For Grade 5 English Pdf.
From www.grade1to6.com
5th Grade English Grammar, Reading, Writing Learning Materials For Grade 5 English Pdf It tells where the story happened. It includes pictures, reading passages, exercises, and discussion questions. To add variety, attractive presentation, and compelling information, two. To download, simply click on the download link to get your free copies. How does the story open? Learning materials should be selected based on student aptitude, prior knowledge, and classroom circumstances. You will find the. Learning Materials For Grade 5 English Pdf.
From www.scribd.com
LAS For Grade 5 ENGLISH PDF Subject (Grammar) Grammatical Number Learning Materials For Grade 5 English Pdf A itintroduces the characters of the story. These files are downloadable in pdf format. This document provides lesson materials for teaching students about respect, verbs, and writing paragraphs. You will find the google download links for the latest learners materials after the article below. Here are the official learning materials (lms) in english for grade 5 learners from the lrmds. Learning Materials For Grade 5 English Pdf.
From classlibrarycordeiro.z21.web.core.windows.net
English Worksheets For Grade 5 Learning Materials For Grade 5 English Pdf You will find the google download links for the latest learners materials after the article below. It tells where the story happened. To download, simply click on the download link to get your free copies. It includes pictures, reading passages, exercises, and discussion questions. Learning materials should be selected based on student aptitude, prior knowledge, and classroom circumstances. A itintroduces. Learning Materials For Grade 5 English Pdf.
From get.cloudshark.org
English Worksheets For Grade 5 Learning Materials For Grade 5 English Pdf To add variety, attractive presentation, and compelling information, two. To download, simply click on the download link to get your free copies. Here are the official learning materials (lms) in english for grade 5 learners from the lrmds website. It tells where the story happened. These files are downloadable in pdf format. It gives background information on the characters c.. Learning Materials For Grade 5 English Pdf.
From www.scribd.com
Grade 5_English PDF Linguistics Learning Materials For Grade 5 English Pdf Here are the official learning materials (lms) in english for grade 5 learners from the lrmds website. It includes pictures, reading passages, exercises, and discussion questions. These files are downloadable in pdf format. You will find the google download links for the latest learners materials after the article below. This document provides lesson materials for teaching students about respect, verbs,. Learning Materials For Grade 5 English Pdf.
From www.teacharesources.com
Grade 5 English Home Language Test Term 2 • Teacha! Learning Materials For Grade 5 English Pdf It gives background information on the characters c. Here are the official learning materials (lms) in english for grade 5 learners from the lrmds website. You will find the google download links for the latest learners materials after the article below. To add variety, attractive presentation, and compelling information, two. A itintroduces the characters of the story. It tells where. Learning Materials For Grade 5 English Pdf.
From pubhtml5.com
Grade 5 English AR VIC Page 1 25 Flip PDF Online PubHTML5 Learning Materials For Grade 5 English Pdf To add variety, attractive presentation, and compelling information, two. To download, simply click on the download link to get your free copies. A itintroduces the characters of the story. These files are downloadable in pdf format. It includes pictures, reading passages, exercises, and discussion questions. How does the story open? Learning materials should be selected based on student aptitude, prior. Learning Materials For Grade 5 English Pdf.
From mungfali.com
Reading Materials Grade 5 English Learning Materials For Grade 5 English Pdf It gives background information on the characters c. How does the story open? It tells where the story happened. Here are the official learning materials (lms) in english for grade 5 learners from the lrmds website. To add variety, attractive presentation, and compelling information, two. You will find the google download links for the latest learners materials after the article. Learning Materials For Grade 5 English Pdf.
From missanrisclassroom.com
Grade 5 English Home Language term 1 activity book Learning Materials For Grade 5 English Pdf To download, simply click on the download link to get your free copies. These files are downloadable in pdf format. It tells where the story happened. Learning materials should be selected based on student aptitude, prior knowledge, and classroom circumstances. How does the story open? You will find the google download links for the latest learners materials after the article. Learning Materials For Grade 5 English Pdf.
From www.deped-click.com
GRADE 5 Free Learning Materials and More! DepEd Click Learning Materials For Grade 5 English Pdf Here are the official learning materials (lms) in english for grade 5 learners from the lrmds website. These files are downloadable in pdf format. To download, simply click on the download link to get your free copies. To add variety, attractive presentation, and compelling information, two. Learning materials should be selected based on student aptitude, prior knowledge, and classroom circumstances.. Learning Materials For Grade 5 English Pdf.
From teachingresources.co.za
Grade 5 English Home Language worksheets + MEMO Teacha! Learning Materials For Grade 5 English Pdf How does the story open? Learning materials should be selected based on student aptitude, prior knowledge, and classroom circumstances. It includes pictures, reading passages, exercises, and discussion questions. It tells where the story happened. A itintroduces the characters of the story. You will find the google download links for the latest learners materials after the article below. Here are the. Learning Materials For Grade 5 English Pdf.
From www.deped-click.com
ENGLISH AND MATH Supplementary Materials for GRADE 5 (Free Download Learning Materials For Grade 5 English Pdf Learning materials should be selected based on student aptitude, prior knowledge, and classroom circumstances. To add variety, attractive presentation, and compelling information, two. A itintroduces the characters of the story. To download, simply click on the download link to get your free copies. This document provides lesson materials for teaching students about respect, verbs, and writing paragraphs. It gives background. Learning Materials For Grade 5 English Pdf.
From loeptibaj.blob.core.windows.net
Sample Of Reading Materials For Grade 5 at Lena Wilsey blog Learning Materials For Grade 5 English Pdf Here are the official learning materials (lms) in english for grade 5 learners from the lrmds website. You will find the google download links for the latest learners materials after the article below. To download, simply click on the download link to get your free copies. A itintroduces the characters of the story. To add variety, attractive presentation, and compelling. Learning Materials For Grade 5 English Pdf.
From www.studocu.com
English 5Q4L1 Module English English Grade 5 Quarter 4 Module 1 Learning Materials For Grade 5 English Pdf You will find the google download links for the latest learners materials after the article below. It gives background information on the characters c. This document provides lesson materials for teaching students about respect, verbs, and writing paragraphs. It includes pictures, reading passages, exercises, and discussion questions. How does the story open? These files are downloadable in pdf format. A. Learning Materials For Grade 5 English Pdf.
From www.teacharesources.com
Grade 5 English revision test • Teacha! Learning Materials For Grade 5 English Pdf To download, simply click on the download link to get your free copies. You will find the google download links for the latest learners materials after the article below. This document provides lesson materials for teaching students about respect, verbs, and writing paragraphs. It gives background information on the characters c. Learning materials should be selected based on student aptitude,. Learning Materials For Grade 5 English Pdf.
From loeptibaj.blob.core.windows.net
Sample Of Reading Materials For Grade 5 at Lena Wilsey blog Learning Materials For Grade 5 English Pdf It gives background information on the characters c. You will find the google download links for the latest learners materials after the article below. It includes pictures, reading passages, exercises, and discussion questions. Here are the official learning materials (lms) in english for grade 5 learners from the lrmds website. To add variety, attractive presentation, and compelling information, two. Learning. Learning Materials For Grade 5 English Pdf.
From www.deped-click.com
ENGLISH ACTIVITY SHEETS for GRADE 5 (Free Download) Based on MELCs Learning Materials For Grade 5 English Pdf Here are the official learning materials (lms) in english for grade 5 learners from the lrmds website. To download, simply click on the download link to get your free copies. A itintroduces the characters of the story. How does the story open? It gives background information on the characters c. It includes pictures, reading passages, exercises, and discussion questions. This. Learning Materials For Grade 5 English Pdf.