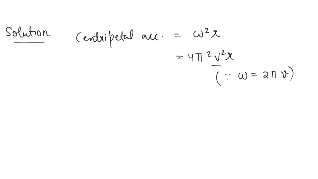
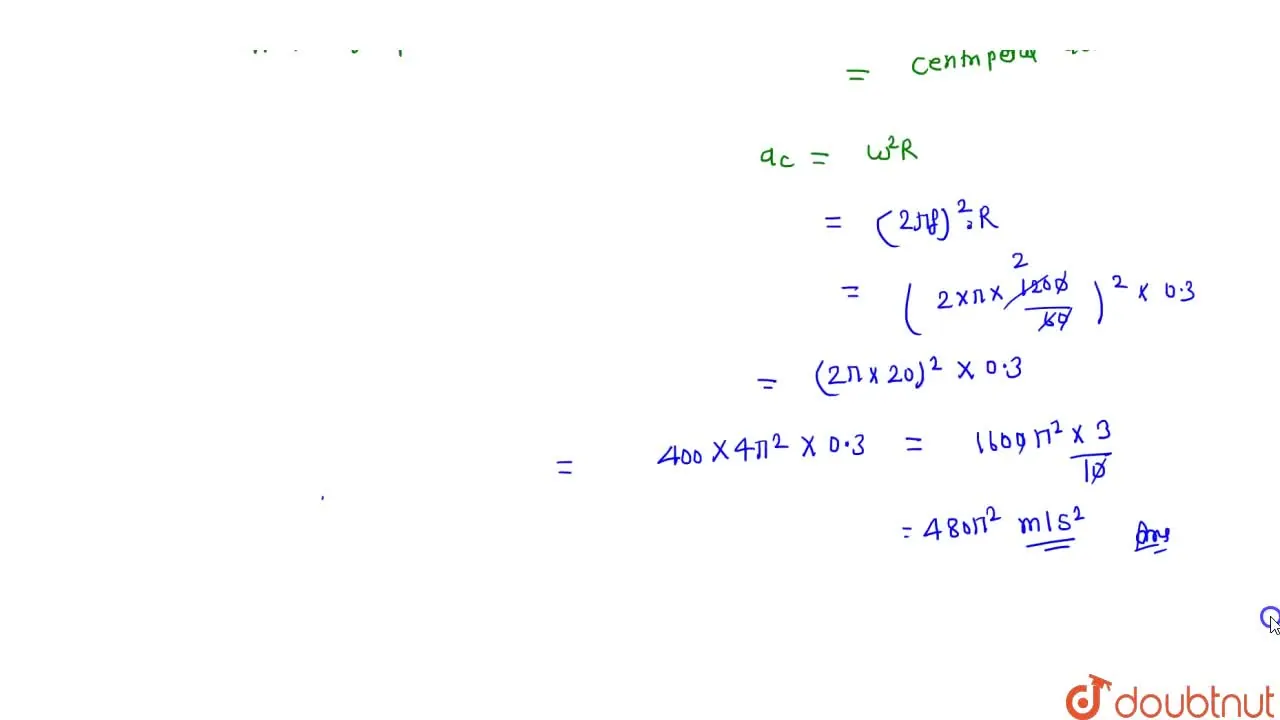
An Electric Fan Has Blades Of Length 30 Cm Measured From Axis Of Rotation . An electric fan has blades of length 30 cm as measured from the axis of rotation. Correct answer is option 'b'. The formula for velocity is ωr ω r for a rotating body. Therefore, the correct answer is option (d). Can you explain this answer? Angular acceleration of the fan, explanation: To solve the problem, we need to find the acceleration of a point on the tip of a blade of an electric fan rotating at a certain speed. If the fan is rotating at 1200 r.p.m. If the fan is rotating at 1200 r.p.m., the. If the fan is rotating at `1200 rpm`, find the. Step by step video, text & image solution for an electric fan has blades of length 30 cm as measured from the axis of rotation. An electric fan has blades of length `30 cm` as measured from the axis of rotation. An electric fan has blades of length 30 cm as measured from the axis of rotation. 4740ms−2 4740 m s − 2. Given that, length of the blades, l = 30 cm = 0.3 m.
from www.toppr.com
Can you explain this answer? If the fan is rotating at 1200 r.p.m. 4740ms−2 4740 m s − 2. An electric fan has blades of length `30 cm` as measured from the axis of rotation. The formula for velocity is ωr ω r for a rotating body. An electric fan has blades of length 30 cm as measured from the axis of rotation. If the fan is rotating at 1200 r.p.m., the. An electricfan has blades of length 30cm measured from the axis of rot. Angular acceleration of the fan, explanation: Angular speed of the fan, let a.
An electric fan has blades of length 30 cm as measured from the axis of
An Electric Fan Has Blades Of Length 30 Cm Measured From Axis Of Rotation An electric fan has blades of length 30 cm as measured from the axis of rotation. If the fan is rotating at 1200 r.p.m., the. To solve the problem, we need to find the acceleration of a point on the tip of a blade of an electric fan rotating at a certain speed. Given that, length of the blades, l = 30 cm = 0.3 m. Correct answer is option 'b'. An electric fan has blades of length `30 cm` as measured from the axis of rotation. If the fan is rotating at 1200 r.p.m. Can you explain this answer? Angular acceleration of the fan, explanation: Step by step video, text & image solution for an electric fan has blades of length 30 cm as measured from the axis of rotation. 4740ms−2 4740 m s − 2. An electricfan has blades of length 30cm measured from the axis of rot. Angular speed of the fan, let a. Therefore, the correct answer is option (d). The formula for velocity is ωr ω r for a rotating body. An electric fan has blades of length 30 cm as measured from the axis of rotation.
From www.toppr.com
An electric fan has blades of length 30 cm as measured from the axis of An Electric Fan Has Blades Of Length 30 Cm Measured From Axis Of Rotation Given that, length of the blades, l = 30 cm = 0.3 m. An electric fan has blades of length 30 cm as measured from the axis of rotation. If the fan is rotating at `1200 rpm`, find the. Can you explain this answer? Angular speed of the fan, let a. The formula for velocity is ωr ω r for. An Electric Fan Has Blades Of Length 30 Cm Measured From Axis Of Rotation.
From www.toppr.com
An electric fan has blades of length 30 cm as measured from the axis of An Electric Fan Has Blades Of Length 30 Cm Measured From Axis Of Rotation If the fan is rotating at `1200 rpm`, find the. The formula for velocity is ωr ω r for a rotating body. If the fan is rotating at 1200 r.p.m., the. Angular acceleration of the fan, explanation: If the fan is rotating at 1200 r.p.m. Correct answer is option 'b'. To solve the problem, we need to find the acceleration. An Electric Fan Has Blades Of Length 30 Cm Measured From Axis Of Rotation.
From www.toppr.com
An electric fan has blades of length 30 cm as measured from the axis of An Electric Fan Has Blades Of Length 30 Cm Measured From Axis Of Rotation If the fan is rotating at 1200 r.p.m. An electric fan has blades of length 30 cm as measured from the axis of rotation. Step by step video, text & image solution for an electric fan has blades of length 30 cm as measured from the axis of rotation. Can you explain this answer? Angular acceleration of the fan, explanation:. An Electric Fan Has Blades Of Length 30 Cm Measured From Axis Of Rotation.
From www.youtube.com
An electric fan has blades of length `30 cm` as measured from the axis An Electric Fan Has Blades Of Length 30 Cm Measured From Axis Of Rotation If the fan is rotating at 1200 r.p.m. An electricfan has blades of length 30cm measured from the axis of rot. Correct answer is option 'b'. If the fan is rotating at `1200 rpm`, find the. Angular speed of the fan, let a. 4740ms−2 4740 m s − 2. Can you explain this answer? The formula for velocity is ωr. An Electric Fan Has Blades Of Length 30 Cm Measured From Axis Of Rotation.
From www.toppr.com
An electric fan has blades of length 30 cm measured from the axis of An Electric Fan Has Blades Of Length 30 Cm Measured From Axis Of Rotation If the fan is rotating at `1200 rpm`, find the. Given that, length of the blades, l = 30 cm = 0.3 m. Step by step video, text & image solution for an electric fan has blades of length 30 cm as measured from the axis of rotation. 4740ms−2 4740 m s − 2. Can you explain this answer? If. An Electric Fan Has Blades Of Length 30 Cm Measured From Axis Of Rotation.
From www.numerade.com
SOLVED An electric fan has blades of length 30 cm as measured from the An Electric Fan Has Blades Of Length 30 Cm Measured From Axis Of Rotation An electric fan has blades of length 30 cm as measured from the axis of rotation. An electricfan has blades of length 30cm measured from the axis of rot. If the fan is rotating at 1200 r.p.m. The formula for velocity is ωr ω r for a rotating body. 4740ms−2 4740 m s − 2. Step by step video, text. An Electric Fan Has Blades Of Length 30 Cm Measured From Axis Of Rotation.
From www.toppr.com
An electric fan has blades of length 30 cm as measured from the axis of An Electric Fan Has Blades Of Length 30 Cm Measured From Axis Of Rotation An electricfan has blades of length 30cm measured from the axis of rot. To solve the problem, we need to find the acceleration of a point on the tip of a blade of an electric fan rotating at a certain speed. Therefore, the correct answer is option (d). If the fan is rotating at `1200 rpm`, find the. Can you. An Electric Fan Has Blades Of Length 30 Cm Measured From Axis Of Rotation.
From www.toppr.com
44. An electric fan has blades of length 30 cm from the axis of An Electric Fan Has Blades Of Length 30 Cm Measured From Axis Of Rotation If the fan is rotating at 1200 r.p.m. The formula for velocity is ωr ω r for a rotating body. Correct answer is option 'b'. An electric fan has blades of length 30 cm as measured from the axis of rotation. Angular speed of the fan, let a. Angular acceleration of the fan, explanation: An electric fan has blades of. An Electric Fan Has Blades Of Length 30 Cm Measured From Axis Of Rotation.
From www.chegg.com
Solved 5.58 A fan (see Fig. P5.58) has a bladed rotor of An Electric Fan Has Blades Of Length 30 Cm Measured From Axis Of Rotation Can you explain this answer? An electric fan has blades of length 30 cm as measured from the axis of rotation. If the fan is rotating at 1200 r.p.m., the. Step by step video, text & image solution for an electric fan has blades of length 30 cm as measured from the axis of rotation. If the fan is rotating. An Electric Fan Has Blades Of Length 30 Cm Measured From Axis Of Rotation.
From www.toppr.com
An electric fan has blades of length 15 cm (measured from the axis of An Electric Fan Has Blades Of Length 30 Cm Measured From Axis Of Rotation An electric fan has blades of length 30 cm as measured from the axis of rotation. If the fan is rotating at 1200 r.p.m. Therefore, the correct answer is option (d). Step by step video, text & image solution for an electric fan has blades of length 30 cm as measured from the axis of rotation. 4740ms−2 4740 m s. An Electric Fan Has Blades Of Length 30 Cm Measured From Axis Of Rotation.
From www.doubtnut.com
An electric fan has blades of length 30 cm as measured from the axis o An Electric Fan Has Blades Of Length 30 Cm Measured From Axis Of Rotation The formula for velocity is ωr ω r for a rotating body. Correct answer is option 'b'. An electric fan has blades of length 30 cm as measured from the axis of rotation. Angular acceleration of the fan, explanation: If the fan is rotating at 1200 r.p.m., the. Can you explain this answer? An electricfan has blades of length 30cm. An Electric Fan Has Blades Of Length 30 Cm Measured From Axis Of Rotation.
From www.numerade.com
SOLVED "An electric fan has blades of length 30 cm measured from the An Electric Fan Has Blades Of Length 30 Cm Measured From Axis Of Rotation To solve the problem, we need to find the acceleration of a point on the tip of a blade of an electric fan rotating at a certain speed. If the fan is rotating at 1200 r.p.m., the. An electric fan has blades of length 30 cm as measured from the axis of rotation. Angular acceleration of the fan, explanation: The. An Electric Fan Has Blades Of Length 30 Cm Measured From Axis Of Rotation.
From www.toppr.com
An electric fan has blades of length 30 cm as measured from the axis of An Electric Fan Has Blades Of Length 30 Cm Measured From Axis Of Rotation To solve the problem, we need to find the acceleration of a point on the tip of a blade of an electric fan rotating at a certain speed. Angular speed of the fan, let a. 4740ms−2 4740 m s − 2. If the fan is rotating at 1200 r.p.m., the. Can you explain this answer? If the fan is rotating. An Electric Fan Has Blades Of Length 30 Cm Measured From Axis Of Rotation.
From www.youtube.com
An electric fan has blades of length 30 cm measured from the axis of An Electric Fan Has Blades Of Length 30 Cm Measured From Axis Of Rotation Correct answer is option 'b'. An electric fan has blades of length `30 cm` as measured from the axis of rotation. The formula for velocity is ωr ω r for a rotating body. An electric fan has blades of length 30 cm as measured from the axis of rotation. An electric fan has blades of length 30 cm as measured. An Electric Fan Has Blades Of Length 30 Cm Measured From Axis Of Rotation.
From www.numerade.com
SOLVED An electric fan has blades of length 30 cm measured from the An Electric Fan Has Blades Of Length 30 Cm Measured From Axis Of Rotation Step by step video, text & image solution for an electric fan has blades of length 30 cm as measured from the axis of rotation. Correct answer is option 'b'. Angular acceleration of the fan, explanation: Angular speed of the fan, let a. Given that, length of the blades, l = 30 cm = 0.3 m. An electric fan has. An Electric Fan Has Blades Of Length 30 Cm Measured From Axis Of Rotation.
From brainly.in
An electric fan has blades of length 30 cm as measured from axis of An Electric Fan Has Blades Of Length 30 Cm Measured From Axis Of Rotation 4740ms−2 4740 m s − 2. An electric fan has blades of length `30 cm` as measured from the axis of rotation. An electricfan has blades of length 30cm measured from the axis of rot. To solve the problem, we need to find the acceleration of a point on the tip of a blade of an electric fan rotating at. An Electric Fan Has Blades Of Length 30 Cm Measured From Axis Of Rotation.
From www.youtube.com
An electric fan has blades of length 30 cm as measured from theaxis of An Electric Fan Has Blades Of Length 30 Cm Measured From Axis Of Rotation An electric fan has blades of length `30 cm` as measured from the axis of rotation. Can you explain this answer? Correct answer is option 'b'. To solve the problem, we need to find the acceleration of a point on the tip of a blade of an electric fan rotating at a certain speed. If the fan is rotating at. An Electric Fan Has Blades Of Length 30 Cm Measured From Axis Of Rotation.
From www.toppr.com
223. An electric fan has blades of length 30 cm as measured from the An Electric Fan Has Blades Of Length 30 Cm Measured From Axis Of Rotation If the fan is rotating at 1200 r.p.m. To solve the problem, we need to find the acceleration of a point on the tip of a blade of an electric fan rotating at a certain speed. If the fan is rotating at `1200 rpm`, find the. An electricfan has blades of length 30cm measured from the axis of rot. 4740ms−2. An Electric Fan Has Blades Of Length 30 Cm Measured From Axis Of Rotation.
From www.youtube.com
An electric fan has blades of length 30 cm as measured from the axis of An Electric Fan Has Blades Of Length 30 Cm Measured From Axis Of Rotation An electric fan has blades of length `30 cm` as measured from the axis of rotation. An electric fan has blades of length 30 cm as measured from the axis of rotation. Angular acceleration of the fan, explanation: Can you explain this answer? Given that, length of the blades, l = 30 cm = 0.3 m. The formula for velocity. An Electric Fan Has Blades Of Length 30 Cm Measured From Axis Of Rotation.
From www.youtube.com
An electric fan has blades of length 30 cm measured from the axis of An Electric Fan Has Blades Of Length 30 Cm Measured From Axis Of Rotation An electric fan has blades of length `30 cm` as measured from the axis of rotation. Therefore, the correct answer is option (d). An electric fan has blades of length 30 cm as measured from the axis of rotation. If the fan is rotating at 1200 r.p.m. If the fan is rotating at 1200 r.p.m., the. To solve the problem,. An Electric Fan Has Blades Of Length 30 Cm Measured From Axis Of Rotation.
From www.youtube.com
2. An electric fan has blades of length of 30 cm as measured from the An Electric Fan Has Blades Of Length 30 Cm Measured From Axis Of Rotation Can you explain this answer? An electric fan has blades of length `30 cm` as measured from the axis of rotation. To solve the problem, we need to find the acceleration of a point on the tip of a blade of an electric fan rotating at a certain speed. Therefore, the correct answer is option (d). Step by step video,. An Electric Fan Has Blades Of Length 30 Cm Measured From Axis Of Rotation.
From www.youtube.com
An electric fan has blades of length 30 cm measured from the axis of An Electric Fan Has Blades Of Length 30 Cm Measured From Axis Of Rotation Correct answer is option 'b'. If the fan is rotating at `1200 rpm`, find the. An electricfan has blades of length 30cm measured from the axis of rot. Therefore, the correct answer is option (d). An electric fan has blades of length 30 cm as measured from the axis of rotation. Given that, length of the blades, l = 30. An Electric Fan Has Blades Of Length 30 Cm Measured From Axis Of Rotation.
From www.toppr.com
An electric fan has blades of length 30 cm measured from the axis of An Electric Fan Has Blades Of Length 30 Cm Measured From Axis Of Rotation Given that, length of the blades, l = 30 cm = 0.3 m. Angular acceleration of the fan, explanation: An electric fan has blades of length `30 cm` as measured from the axis of rotation. Correct answer is option 'b'. If the fan is rotating at `1200 rpm`, find the. To solve the problem, we need to find the acceleration. An Electric Fan Has Blades Of Length 30 Cm Measured From Axis Of Rotation.
From www.chegg.com
Solved An air fan has a bladed rotor of 24 cm outside An Electric Fan Has Blades Of Length 30 Cm Measured From Axis Of Rotation An electricfan has blades of length 30cm measured from the axis of rot. Given that, length of the blades, l = 30 cm = 0.3 m. Correct answer is option 'b'. Angular speed of the fan, let a. To solve the problem, we need to find the acceleration of a point on the tip of a blade of an electric. An Electric Fan Has Blades Of Length 30 Cm Measured From Axis Of Rotation.
From slideplayer.com
Advanced Higher Physics ppt download An Electric Fan Has Blades Of Length 30 Cm Measured From Axis Of Rotation To solve the problem, we need to find the acceleration of a point on the tip of a blade of an electric fan rotating at a certain speed. Angular speed of the fan, let a. An electric fan has blades of length 30 cm as measured from the axis of rotation. 4740ms−2 4740 m s − 2. Therefore, the correct. An Electric Fan Has Blades Of Length 30 Cm Measured From Axis Of Rotation.
From www.toppr.com
An electric fan has blades on length 30 cm as measured from the axis of An Electric Fan Has Blades Of Length 30 Cm Measured From Axis Of Rotation The formula for velocity is ωr ω r for a rotating body. Step by step video, text & image solution for an electric fan has blades of length 30 cm as measured from the axis of rotation. Correct answer is option 'b'. Angular acceleration of the fan, explanation: Angular speed of the fan, let a. If the fan is rotating. An Electric Fan Has Blades Of Length 30 Cm Measured From Axis Of Rotation.
From www.toppr.com
An electric fan has blades of length 15 cm (measured from the axis of An Electric Fan Has Blades Of Length 30 Cm Measured From Axis Of Rotation An electric fan has blades of length 30 cm as measured from the axis of rotation. The formula for velocity is ωr ω r for a rotating body. If the fan is rotating at `1200 rpm`, find the. An electric fan has blades of length 30 cm as measured from the axis of rotation. Angular acceleration of the fan, explanation:. An Electric Fan Has Blades Of Length 30 Cm Measured From Axis Of Rotation.
From www.doubtnut.com
An electric fan has blades of length 30 cm as measured from the axis o An Electric Fan Has Blades Of Length 30 Cm Measured From Axis Of Rotation If the fan is rotating at 1200 r.p.m., the. Angular speed of the fan, let a. Therefore, the correct answer is option (d). 4740ms−2 4740 m s − 2. To solve the problem, we need to find the acceleration of a point on the tip of a blade of an electric fan rotating at a certain speed. The formula for. An Electric Fan Has Blades Of Length 30 Cm Measured From Axis Of Rotation.
From www.toppr.com
An electric fan has blades of length 30 cm as measured from the axis of An Electric Fan Has Blades Of Length 30 Cm Measured From Axis Of Rotation The formula for velocity is ωr ω r for a rotating body. An electric fan has blades of length `30 cm` as measured from the axis of rotation. If the fan is rotating at `1200 rpm`, find the. Step by step video, text & image solution for an electric fan has blades of length 30 cm as measured from the. An Electric Fan Has Blades Of Length 30 Cm Measured From Axis Of Rotation.
From www.toppr.com
An electric fan has blades of length 30 cm measured from the axis of An Electric Fan Has Blades Of Length 30 Cm Measured From Axis Of Rotation Step by step video, text & image solution for an electric fan has blades of length 30 cm as measured from the axis of rotation. Angular acceleration of the fan, explanation: To solve the problem, we need to find the acceleration of a point on the tip of a blade of an electric fan rotating at a certain speed. An. An Electric Fan Has Blades Of Length 30 Cm Measured From Axis Of Rotation.
From www.youtube.com
How to Measure the Diameter of a Fan YouTube An Electric Fan Has Blades Of Length 30 Cm Measured From Axis Of Rotation 4740ms−2 4740 m s − 2. An electric fan has blades of length 30 cm as measured from the axis of rotation. An electric fan has blades of length `30 cm` as measured from the axis of rotation. An electric fan has blades of length 30 cm as measured from the axis of rotation. Angular acceleration of the fan, explanation:. An Electric Fan Has Blades Of Length 30 Cm Measured From Axis Of Rotation.
From www.toppr.com
An electric fan has blades of length 30 cm as measured from the axis of An Electric Fan Has Blades Of Length 30 Cm Measured From Axis Of Rotation Angular speed of the fan, let a. An electric fan has blades of length 30 cm as measured from the axis of rotation. The formula for velocity is ωr ω r for a rotating body. Therefore, the correct answer is option (d). Can you explain this answer? Angular acceleration of the fan, explanation: If the fan is rotating at 1200. An Electric Fan Has Blades Of Length 30 Cm Measured From Axis Of Rotation.
From www.numerade.com
SOLVED "An electric fan has blades of length 30 cm measured from the An Electric Fan Has Blades Of Length 30 Cm Measured From Axis Of Rotation Angular acceleration of the fan, explanation: To solve the problem, we need to find the acceleration of a point on the tip of a blade of an electric fan rotating at a certain speed. An electric fan has blades of length 30 cm as measured from the axis of rotation. Therefore, the correct answer is option (d). If the fan. An Electric Fan Has Blades Of Length 30 Cm Measured From Axis Of Rotation.
From www.youtube.com
KM DTS 30 Q6 An electric fan has blades of length 30 cm measured from An Electric Fan Has Blades Of Length 30 Cm Measured From Axis Of Rotation Correct answer is option 'b'. If the fan is rotating at `1200 rpm`, find the. The formula for velocity is ωr ω r for a rotating body. 4740ms−2 4740 m s − 2. Can you explain this answer? Angular acceleration of the fan, explanation: An electric fan has blades of length 30 cm as measured from the axis of rotation.. An Electric Fan Has Blades Of Length 30 Cm Measured From Axis Of Rotation.
From www.youtube.com
An electric fan has blades of length 30 cm neasured from the axis of An Electric Fan Has Blades Of Length 30 Cm Measured From Axis Of Rotation An electric fan has blades of length `30 cm` as measured from the axis of rotation. The formula for velocity is ωr ω r for a rotating body. Correct answer is option 'b'. Can you explain this answer? Angular acceleration of the fan, explanation: Given that, length of the blades, l = 30 cm = 0.3 m. If the fan. An Electric Fan Has Blades Of Length 30 Cm Measured From Axis Of Rotation.