Magnesium Iodide Formula Explained . This formula is essential in defining the composition and stoichiometry The chemical formula is \(mgi_2\). M g2+ +2i − → m gi 2. Magnesium iodide, denoted chemically as mgi2, is a remarkable ionic compound composed of magnesium cations. Look at the periodic table. Diiodomagnesium is a crystalline solid white in. Know its structure and more. Its chemical formula is represented as mgi2. Magnesium iodide formula is a chemical compound formed by the combination of magnesium (mg) and iodine (i). How do you know what ions these elements form? Furthermore, i exists in various forms such as \ ( mgi_. Magnesium iodide formula and structure. The chemical and molecular formula of magnesium iodide is \ ( mgi_ {2} \). The molecular or chemical formula of magnesium iodide is mgi 2 (anhydrous). Magnesium iodide, also represented by the chemical formula mgi 2, is a fascinating compound with a variety of practical.
from www.doubtnut.com
Know its structure and more. Its chemical formula is represented as mgi2. Magnesium iodide formula is a chemical compound formed by the combination of magnesium (mg) and iodine (i). Look at the periodic table. The chemical formula is \(mgi_2\). M g2+ +2i − → m gi 2. Magnesium iodide formula and structure. This formula is essential in defining the composition and stoichiometry Furthermore, i exists in various forms such as \ ( mgi_. The molecular or chemical formula of magnesium iodide is mgi 2 (anhydrous).
Methyl magnesium iodide is converted to ethyl magnesium iodide
Magnesium Iodide Formula Explained Its chemical formula is represented as mgi2. The chemical formula is \(mgi_2\). Its chemical formula is represented as mgi2. Diiodomagnesium is a crystalline solid white in. Know its structure and more. The chemical and molecular formula of magnesium iodide is \ ( mgi_ {2} \). How do you know what ions these elements form? Magnesium iodide formula and structure. Magnesium iodide, also represented by the chemical formula mgi 2, is a fascinating compound with a variety of practical. Furthermore, i exists in various forms such as \ ( mgi_. The molecular or chemical formula of magnesium iodide is mgi 2 (anhydrous). Magnesium iodide formula is a chemical compound formed by the combination of magnesium (mg) and iodine (i). Look at the periodic table. This formula is essential in defining the composition and stoichiometry M g2+ +2i − → m gi 2. Magnesium iodide, denoted chemically as mgi2, is a remarkable ionic compound composed of magnesium cations.
From www.embibe.com
The reaction of 1mol each of phydroxyacetophenone and methyl magnesium iodide will give Magnesium Iodide Formula Explained Look at the periodic table. M g2+ +2i − → m gi 2. Furthermore, i exists in various forms such as \ ( mgi_. The chemical formula is \(mgi_2\). Magnesium iodide, denoted chemically as mgi2, is a remarkable ionic compound composed of magnesium cations. How do you know what ions these elements form? Diiodomagnesium is a crystalline solid white in.. Magnesium Iodide Formula Explained.
From www.youtube.com
How to choose the right magnesium formula YouTube Magnesium Iodide Formula Explained Magnesium iodide, denoted chemically as mgi2, is a remarkable ionic compound composed of magnesium cations. Magnesium iodide formula is a chemical compound formed by the combination of magnesium (mg) and iodine (i). The molecular or chemical formula of magnesium iodide is mgi 2 (anhydrous). Look at the periodic table. The chemical formula is \(mgi_2\). Diiodomagnesium is a crystalline solid white. Magnesium Iodide Formula Explained.
From www.youtube.com
Equation for MgI2 + H2O (Magnesium iodide + Water) YouTube Magnesium Iodide Formula Explained Know its structure and more. Look at the periodic table. Magnesium iodide formula is a chemical compound formed by the combination of magnesium (mg) and iodine (i). Magnesium iodide, denoted chemically as mgi2, is a remarkable ionic compound composed of magnesium cations. Magnesium iodide formula and structure. Magnesium iodide, also represented by the chemical formula mgi 2, is a fascinating. Magnesium Iodide Formula Explained.
From www.chegg.com
Solved What is the formula weight of magnesium iodide? How Magnesium Iodide Formula Explained The chemical formula is \(mgi_2\). Look at the periodic table. Diiodomagnesium is a crystalline solid white in. Furthermore, i exists in various forms such as \ ( mgi_. M g2+ +2i − → m gi 2. Magnesium iodide formula and structure. Its chemical formula is represented as mgi2. Magnesium iodide, denoted chemically as mgi2, is a remarkable ionic compound composed. Magnesium Iodide Formula Explained.
From www.bartleby.com
Answered The compound magnesium iodide, MgI2 is… bartleby Magnesium Iodide Formula Explained Magnesium iodide formula and structure. Magnesium iodide formula is a chemical compound formed by the combination of magnesium (mg) and iodine (i). Magnesium iodide, also represented by the chemical formula mgi 2, is a fascinating compound with a variety of practical. The chemical formula is \(mgi_2\). Look at the periodic table. Know its structure and more. Furthermore, i exists in. Magnesium Iodide Formula Explained.
From www.youtube.com
Preparation & Properties of Magnesium iodide YouTube Magnesium Iodide Formula Explained Diiodomagnesium is a crystalline solid white in. The chemical and molecular formula of magnesium iodide is \ ( mgi_ {2} \). Look at the periodic table. Magnesium iodide formula and structure. The molecular or chemical formula of magnesium iodide is mgi 2 (anhydrous). Its chemical formula is represented as mgi2. How do you know what ions these elements form? Magnesium. Magnesium Iodide Formula Explained.
From brainly.in
what is the symbol of magnesium iodide Brainly.in Magnesium Iodide Formula Explained Magnesium iodide, denoted chemically as mgi2, is a remarkable ionic compound composed of magnesium cations. Know its structure and more. Furthermore, i exists in various forms such as \ ( mgi_. Magnesium iodide formula is a chemical compound formed by the combination of magnesium (mg) and iodine (i). Diiodomagnesium is a crystalline solid white in. Magnesium iodide, also represented by. Magnesium Iodide Formula Explained.
From www.slideserve.com
PPT Ionic Nomenclature PowerPoint Presentation, free download ID5594834 Magnesium Iodide Formula Explained Look at the periodic table. The chemical and molecular formula of magnesium iodide is \ ( mgi_ {2} \). Magnesium iodide formula is a chemical compound formed by the combination of magnesium (mg) and iodine (i). Its chemical formula is represented as mgi2. Diiodomagnesium is a crystalline solid white in. This formula is essential in defining the composition and stoichiometry. Magnesium Iodide Formula Explained.
From www.embibe.com
The reaction of 1mol each of phydroxyacetophenone and methyl magnesium iodide will give Magnesium Iodide Formula Explained This formula is essential in defining the composition and stoichiometry Magnesium iodide, also represented by the chemical formula mgi 2, is a fascinating compound with a variety of practical. The chemical and molecular formula of magnesium iodide is \ ( mgi_ {2} \). Magnesium iodide, denoted chemically as mgi2, is a remarkable ionic compound composed of magnesium cations. Look at. Magnesium Iodide Formula Explained.
From www.pw.live
Magnesium Iodide Formula, Structure And Properties Magnesium Iodide Formula Explained Furthermore, i exists in various forms such as \ ( mgi_. Magnesium iodide, denoted chemically as mgi2, is a remarkable ionic compound composed of magnesium cations. The chemical formula is \(mgi_2\). Look at the periodic table. This formula is essential in defining the composition and stoichiometry Diiodomagnesium is a crystalline solid white in. Magnesium iodide formula is a chemical compound. Magnesium Iodide Formula Explained.
From www.numerade.com
SOLVED 'Magnesium reacts with iodine gas at high temperatures to form magnesium iodide What Magnesium Iodide Formula Explained The chemical formula is \(mgi_2\). Magnesium iodide, also represented by the chemical formula mgi 2, is a fascinating compound with a variety of practical. The molecular or chemical formula of magnesium iodide is mgi 2 (anhydrous). Magnesium iodide formula and structure. Furthermore, i exists in various forms such as \ ( mgi_. The chemical and molecular formula of magnesium iodide. Magnesium Iodide Formula Explained.
From www.techscience.com
CMES Free FullText Algebraic Properties for Molecular Structure of Magnesium Iodide Magnesium Iodide Formula Explained How do you know what ions these elements form? M g2+ +2i − → m gi 2. Its chemical formula is represented as mgi2. Magnesium iodide, denoted chemically as mgi2, is a remarkable ionic compound composed of magnesium cations. Magnesium iodide formula and structure. The molecular or chemical formula of magnesium iodide is mgi 2 (anhydrous). The chemical and molecular. Magnesium Iodide Formula Explained.
From cabinet.matttroy.net
Properties Of Magnesium On The Periodic Table Matttroy Magnesium Iodide Formula Explained This formula is essential in defining the composition and stoichiometry Magnesium iodide formula and structure. Magnesium iodide, denoted chemically as mgi2, is a remarkable ionic compound composed of magnesium cations. Its chemical formula is represented as mgi2. The molecular or chemical formula of magnesium iodide is mgi 2 (anhydrous). Look at the periodic table. Furthermore, i exists in various forms. Magnesium Iodide Formula Explained.
From www.numerade.com
SOLVED Draw the Lewis Dot Diagram for Mg (magnesium) (iodine) (1 point) b) Select the correct Magnesium Iodide Formula Explained Diiodomagnesium is a crystalline solid white in. This formula is essential in defining the composition and stoichiometry Magnesium iodide formula is a chemical compound formed by the combination of magnesium (mg) and iodine (i). M g2+ +2i − → m gi 2. Look at the periodic table. The molecular or chemical formula of magnesium iodide is mgi 2 (anhydrous). The. Magnesium Iodide Formula Explained.
From www.techscience.com
CMES Free FullText Algebraic Properties for Molecular Structure of Magnesium Iodide Magnesium Iodide Formula Explained Look at the periodic table. Its chemical formula is represented as mgi2. The chemical formula is \(mgi_2\). Know its structure and more. Magnesium iodide, denoted chemically as mgi2, is a remarkable ionic compound composed of magnesium cations. The molecular or chemical formula of magnesium iodide is mgi 2 (anhydrous). Magnesium iodide formula and structure. Magnesium iodide, also represented by the. Magnesium Iodide Formula Explained.
From slideplayer.com
Topic 1 Classification of Matter ppt download Magnesium Iodide Formula Explained Know its structure and more. The molecular or chemical formula of magnesium iodide is mgi 2 (anhydrous). This formula is essential in defining the composition and stoichiometry How do you know what ions these elements form? Its chemical formula is represented as mgi2. Magnesium iodide formula and structure. Look at the periodic table. Diiodomagnesium is a crystalline solid white in.. Magnesium Iodide Formula Explained.
From germanunioncemetery.org
SOLVED The Reaction Of Magnesium With Elemental Iodine, Magnesium Iodide Formula Explained Its chemical formula is represented as mgi2. Magnesium iodide, also represented by the chemical formula mgi 2, is a fascinating compound with a variety of practical. Know its structure and more. Magnesium iodide formula is a chemical compound formed by the combination of magnesium (mg) and iodine (i). This formula is essential in defining the composition and stoichiometry Diiodomagnesium is. Magnesium Iodide Formula Explained.
From www.pw.live
Magnesium Iodide Formula, Structure And Properties Magnesium Iodide Formula Explained Magnesium iodide, denoted chemically as mgi2, is a remarkable ionic compound composed of magnesium cations. Look at the periodic table. Know its structure and more. The chemical and molecular formula of magnesium iodide is \ ( mgi_ {2} \). This formula is essential in defining the composition and stoichiometry The chemical formula is \(mgi_2\). How do you know what ions. Magnesium Iodide Formula Explained.
From guides.byjusweb.com
Magnesium Iodide Formula Definition, Concepts and Examples Magnesium Iodide Formula Explained The chemical formula is \(mgi_2\). Its chemical formula is represented as mgi2. M g2+ +2i − → m gi 2. This formula is essential in defining the composition and stoichiometry Magnesium iodide formula and structure. Diiodomagnesium is a crystalline solid white in. The molecular or chemical formula of magnesium iodide is mgi 2 (anhydrous). Magnesium iodide formula is a chemical. Magnesium Iodide Formula Explained.
From www.researchgate.net
(PDF) Molecular description for magnesium iodide Magnesium Iodide Formula Explained M g2+ +2i − → m gi 2. Diiodomagnesium is a crystalline solid white in. Look at the periodic table. Magnesium iodide formula is a chemical compound formed by the combination of magnesium (mg) and iodine (i). Magnesium iodide, also represented by the chemical formula mgi 2, is a fascinating compound with a variety of practical. The molecular or chemical. Magnesium Iodide Formula Explained.
From www.youtube.com
Draw the Lewis Structure of MgI2 (magnesium iodide) YouTube Magnesium Iodide Formula Explained Magnesium iodide, also represented by the chemical formula mgi 2, is a fascinating compound with a variety of practical. The chemical and molecular formula of magnesium iodide is \ ( mgi_ {2} \). This formula is essential in defining the composition and stoichiometry Magnesium iodide formula is a chemical compound formed by the combination of magnesium (mg) and iodine (i).. Magnesium Iodide Formula Explained.
From brainly.com
The diagram shows how magnesium and iodine atoms form magnesium iodide. Only the outer electrons Magnesium Iodide Formula Explained This formula is essential in defining the composition and stoichiometry Magnesium iodide, denoted chemically as mgi2, is a remarkable ionic compound composed of magnesium cations. The molecular or chemical formula of magnesium iodide is mgi 2 (anhydrous). Magnesium iodide, also represented by the chemical formula mgi 2, is a fascinating compound with a variety of practical. The chemical and molecular. Magnesium Iodide Formula Explained.
From www.youtube.com
3 Types of Magnesium Explained YouTube Magnesium Iodide Formula Explained Magnesium iodide, also represented by the chemical formula mgi 2, is a fascinating compound with a variety of practical. M g2+ +2i − → m gi 2. Know its structure and more. The chemical formula is \(mgi_2\). Its chemical formula is represented as mgi2. The chemical and molecular formula of magnesium iodide is \ ( mgi_ {2} \). Magnesium iodide. Magnesium Iodide Formula Explained.
From www.shutterstock.com
Magnesium Iodide Formula Handwritten Chemical Formula Stock Illustration 1707404587 Magnesium Iodide Formula Explained Magnesium iodide formula is a chemical compound formed by the combination of magnesium (mg) and iodine (i). Magnesium iodide, denoted chemically as mgi2, is a remarkable ionic compound composed of magnesium cations. The molecular or chemical formula of magnesium iodide is mgi 2 (anhydrous). Know its structure and more. Magnesium iodide formula and structure. M g2+ +2i − → m. Magnesium Iodide Formula Explained.
From www.youtube.com
How to Write the Formula for MgO (Magnesium oxide) YouTube Magnesium Iodide Formula Explained Diiodomagnesium is a crystalline solid white in. Look at the periodic table. M g2+ +2i − → m gi 2. The chemical formula is \(mgi_2\). Magnesium iodide, denoted chemically as mgi2, is a remarkable ionic compound composed of magnesium cations. Its chemical formula is represented as mgi2. Magnesium iodide formula and structure. Magnesium iodide formula is a chemical compound formed. Magnesium Iodide Formula Explained.
From molekula.com
Purchase Magnesium iodide anhydrous [10377589] online • Catalog • Molekula Group Magnesium Iodide Formula Explained The chemical and molecular formula of magnesium iodide is \ ( mgi_ {2} \). Magnesium iodide formula is a chemical compound formed by the combination of magnesium (mg) and iodine (i). The molecular or chemical formula of magnesium iodide is mgi 2 (anhydrous). Look at the periodic table. Furthermore, i exists in various forms such as \ ( mgi_. The. Magnesium Iodide Formula Explained.
From www.numerade.com
SOLVED Magnesium reacts with iodine gas at high temperatures to form magnesium iodide. A. What Magnesium Iodide Formula Explained The molecular or chemical formula of magnesium iodide is mgi 2 (anhydrous). Look at the periodic table. The chemical formula is \(mgi_2\). M g2+ +2i − → m gi 2. Magnesium iodide formula and structure. Magnesium iodide formula is a chemical compound formed by the combination of magnesium (mg) and iodine (i). The chemical and molecular formula of magnesium iodide. Magnesium Iodide Formula Explained.
From www.alamy.com
MgI2 Magnesium Iodide. Chemical compound. CAS number 10377589 Stock Photo Alamy Magnesium Iodide Formula Explained Magnesium iodide, denoted chemically as mgi2, is a remarkable ionic compound composed of magnesium cations. The molecular or chemical formula of magnesium iodide is mgi 2 (anhydrous). Magnesium iodide formula is a chemical compound formed by the combination of magnesium (mg) and iodine (i). Know its structure and more. Magnesium iodide formula and structure. Magnesium iodide, also represented by the. Magnesium Iodide Formula Explained.
From www.doubtnut.com
Methyl magnesium iodide is converted to ethyl magnesium iodide Magnesium Iodide Formula Explained Furthermore, i exists in various forms such as \ ( mgi_. The chemical formula is \(mgi_2\). This formula is essential in defining the composition and stoichiometry Magnesium iodide, also represented by the chemical formula mgi 2, is a fascinating compound with a variety of practical. M g2+ +2i − → m gi 2. Magnesium iodide, denoted chemically as mgi2, is. Magnesium Iodide Formula Explained.
From www.numerade.com
SOLVEDWhich of the following compounds on reaction with ethyl magnesium iodide will form 2 Magnesium Iodide Formula Explained The molecular or chemical formula of magnesium iodide is mgi 2 (anhydrous). Magnesium iodide, also represented by the chemical formula mgi 2, is a fascinating compound with a variety of practical. Magnesium iodide formula and structure. Diiodomagnesium is a crystalline solid white in. Furthermore, i exists in various forms such as \ ( mgi_. The chemical formula is \(mgi_2\). Look. Magnesium Iodide Formula Explained.
From www.numerade.com
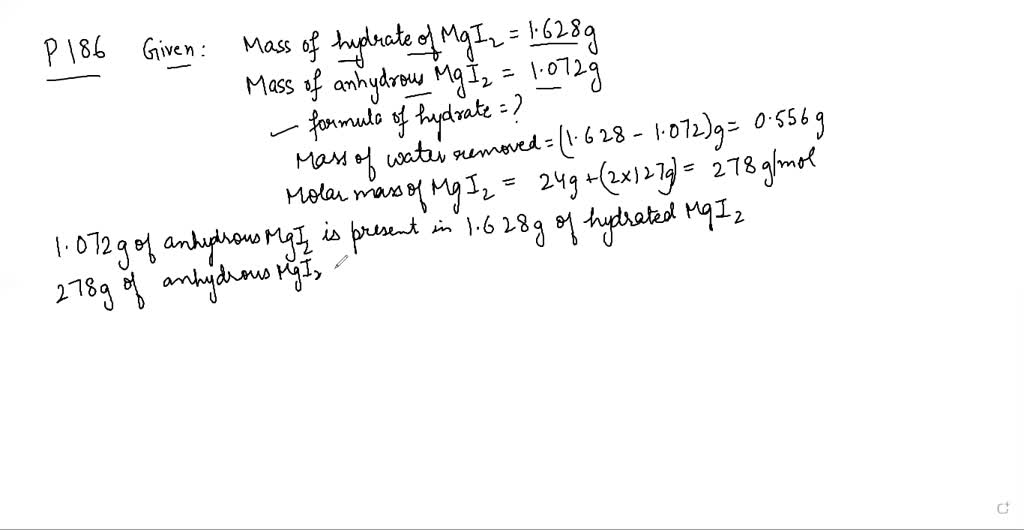
SOLVED A hydrate of magnesium iodide is heated tO remove the water The following data are Magnesium Iodide Formula Explained The chemical and molecular formula of magnesium iodide is \ ( mgi_ {2} \). Look at the periodic table. Magnesium iodide formula is a chemical compound formed by the combination of magnesium (mg) and iodine (i). Its chemical formula is represented as mgi2. Magnesium iodide, denoted chemically as mgi2, is a remarkable ionic compound composed of magnesium cations. Know its. Magnesium Iodide Formula Explained.
From stock.adobe.com
Magnesium iodide mgi2 molecule. Simple molecular formula consisting of Magnesium, Iodine Magnesium Iodide Formula Explained Magnesium iodide formula and structure. Magnesium iodide, denoted chemically as mgi2, is a remarkable ionic compound composed of magnesium cations. Magnesium iodide, also represented by the chemical formula mgi 2, is a fascinating compound with a variety of practical. Look at the periodic table. Magnesium iodide formula is a chemical compound formed by the combination of magnesium (mg) and iodine. Magnesium Iodide Formula Explained.
From www.shutterstock.com
Magnesium Iodide Molecular Structure Formula Periodic Stock Vector (Royalty Free) 2308276443 Magnesium Iodide Formula Explained How do you know what ions these elements form? Magnesium iodide, also represented by the chemical formula mgi 2, is a fascinating compound with a variety of practical. M g2+ +2i − → m gi 2. Its chemical formula is represented as mgi2. Diiodomagnesium is a crystalline solid white in. The chemical formula is \(mgi_2\). Furthermore, i exists in various. Magnesium Iodide Formula Explained.
From stock.adobe.com
Magnesium Iodide MgI2 molecule. Simple molecular formula consisting of Magnesium, Iodine Magnesium Iodide Formula Explained Magnesium iodide, also represented by the chemical formula mgi 2, is a fascinating compound with a variety of practical. Magnesium iodide formula is a chemical compound formed by the combination of magnesium (mg) and iodine (i). How do you know what ions these elements form? Magnesium iodide formula and structure. This formula is essential in defining the composition and stoichiometry. Magnesium Iodide Formula Explained.
From www.youtube.com
How to Balance Mg + I2 = MgI2 (Magnesium + Iodine gas) YouTube Magnesium Iodide Formula Explained How do you know what ions these elements form? Its chemical formula is represented as mgi2. This formula is essential in defining the composition and stoichiometry The chemical and molecular formula of magnesium iodide is \ ( mgi_ {2} \). Diiodomagnesium is a crystalline solid white in. The chemical formula is \(mgi_2\). Magnesium iodide formula and structure. Magnesium iodide, also. Magnesium Iodide Formula Explained.