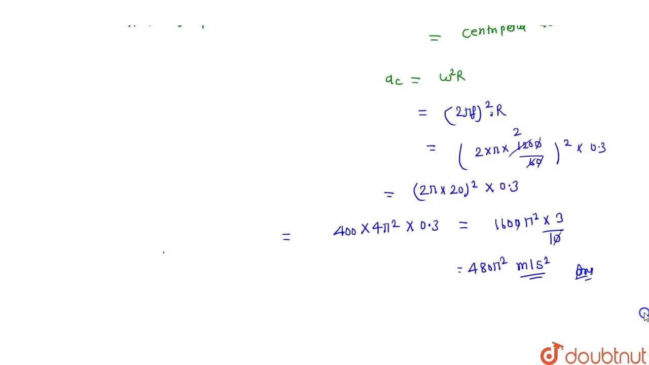
Electric Fan Has Blades Of Length 30 Cm . An electric fan has blades of length 30 cm as measured from the axis of rotation. An electric fan has blades of length 30 cm as measured from the axis of rotation. If the fan is rotating at 1200 rpm, find the acceleration of a point on the tip of a blade. An electric fan has blades of length 30cm as measured from the axis of rotation. Asked jun 25, 2019 in physics by rishi98 (69.2k points) an electric fan has blades of length 30 cm as measured from the axis of rotation. Centripetal acceleration a = ω2r = (2πv)2r. If the fan is rotating at 1200rpm, the acceleration of a point on. Frequency of rotation v = 120rpm = 2rps. Length of blade r = 30cm = 0.3m. This is a unit of frequency and the unit of angular frequency is rad/s. Find its angular velocity and linear velocity if tip of its blades is 0.20 m away from the axis of rotation. Rpm is read as rotations per minute. If the fan is rotating at 1200 rpm, the acceleration of a point on. Asked oct 27, 2020 in physics by. Ω2r = 4π2n2r= 4π2(1200 60)3 ×30 =4740 m/s2.
from www.toppr.com
Asked oct 27, 2020 in physics by. Asked jun 25, 2019 in physics by rishi98 (69.2k points) an electric fan has blades of length 30 cm as measured from the axis of rotation. The correct option is b. Frequency of rotation v = 120rpm = 2rps. An electric fan has blades of length 30 cm as measured from the axis of rotation. If the fan is rotating at 1200 rpm, find the acceleration of a point on the tip of a blade. Rpm is read as rotations per minute. An electric fan has blades of length 30 cm as measured from the axis of rotation. Centripetal acceleration a = ω2r = (2πv)2r. If the fan is rotating at 1200rpm, the acceleration of a point on.
44. An electric fan has blades of length 30 cm from the axis of
Electric Fan Has Blades Of Length 30 Cm This is a unit of frequency and the unit of angular frequency is rad/s. An electric fan has blades of length 30cm as measured from the axis of rotation. An electric fan has blades of length 30 cm as measured from the axis of rotation. An electric fan has blades of length 30 cm as measured from the axis of rotation. If the fan is rotating at 1200 rpm, find the acceleration of a point on the tip of a blade. The correct option is b. If the fan is rotating at 1200rpm, the acceleration of a point on. If the fan is rotating at 1200 rpm, the acceleration of a point on. Rpm is read as rotations per minute. Asked jun 25, 2019 in physics by rishi98 (69.2k points) an electric fan has blades of length 30 cm as measured from the axis of rotation. Asked oct 27, 2020 in physics by. Length of blade r = 30cm = 0.3m. This is a unit of frequency and the unit of angular frequency is rad/s. Centripetal acceleration a = ω2r = (2πv)2r. Frequency of rotation v = 120rpm = 2rps. Find its angular velocity and linear velocity if tip of its blades is 0.20 m away from the axis of rotation.
From www.toppr.com
An electric fan has blades of length 30 cm as measured from the axis of Electric Fan Has Blades Of Length 30 Cm Asked oct 27, 2020 in physics by. The correct option is b. This is a unit of frequency and the unit of angular frequency is rad/s. An electric fan has blades of length 30 cm as measured from the axis of rotation. If the fan is rotating at 1200 rpm, find the acceleration of a point on the tip of. Electric Fan Has Blades Of Length 30 Cm.
From www.toppr.com
An electric fan has blades of length 30 cm as measured from the axis of Electric Fan Has Blades Of Length 30 Cm If the fan is rotating at 1200 rpm, the acceleration of a point on. If the fan is rotating at 1200rpm, the acceleration of a point on. Frequency of rotation v = 120rpm = 2rps. An electric fan has blades of length 30 cm as measured from the axis of rotation. An electric fan has blades of length 30 cm. Electric Fan Has Blades Of Length 30 Cm.
From www.toppr.com
An electric fan has blades of length 30 cm measured from the axis of Electric Fan Has Blades Of Length 30 Cm Find its angular velocity and linear velocity if tip of its blades is 0.20 m away from the axis of rotation. Rpm is read as rotations per minute. Frequency of rotation v = 120rpm = 2rps. An electric fan has blades of length 30cm as measured from the axis of rotation. The correct option is b. If the fan is. Electric Fan Has Blades Of Length 30 Cm.
From www.youtube.com
An electric fan has blades of length `30 cm` as measured from the axis Electric Fan Has Blades Of Length 30 Cm Find its angular velocity and linear velocity if tip of its blades is 0.20 m away from the axis of rotation. Asked oct 27, 2020 in physics by. Frequency of rotation v = 120rpm = 2rps. An electric fan has blades of length 30 cm as measured from the axis of rotation. The correct option is b. This is a. Electric Fan Has Blades Of Length 30 Cm.
From www.horme.com.sg
KDK 16" PLASTIC FAN BLADE FOR WALL FAN Electrical Accessories Horme Electric Fan Has Blades Of Length 30 Cm Frequency of rotation v = 120rpm = 2rps. Asked jun 25, 2019 in physics by rishi98 (69.2k points) an electric fan has blades of length 30 cm as measured from the axis of rotation. If the fan is rotating at 1200 rpm, find the acceleration of a point on the tip of a blade. Asked oct 27, 2020 in physics. Electric Fan Has Blades Of Length 30 Cm.
From www.toppr.com
An electric fan has blades of length 30 cm as measured from the axis of Electric Fan Has Blades Of Length 30 Cm If the fan is rotating at 1200 rpm, the acceleration of a point on. If the fan is rotating at 1200rpm, the acceleration of a point on. If the fan is rotating at 1200 rpm, find the acceleration of a point on the tip of a blade. An electric fan has blades of length 30 cm as measured from the. Electric Fan Has Blades Of Length 30 Cm.
From www.youtube.com
An electric fan has blades of length 30 cm measured from the axis of Electric Fan Has Blades Of Length 30 Cm Ω2r = 4π2n2r= 4π2(1200 60)3 ×30 =4740 m/s2. If the fan is rotating at 1200 rpm, the acceleration of a point on. Centripetal acceleration a = ω2r = (2πv)2r. If the fan is rotating at 1200 rpm, find the acceleration of a point on the tip of a blade. Frequency of rotation v = 120rpm = 2rps. Length of blade. Electric Fan Has Blades Of Length 30 Cm.
From www.toppr.com
An electric fan has blades of length 30 cm as measured from the axis of Electric Fan Has Blades Of Length 30 Cm Rpm is read as rotations per minute. This is a unit of frequency and the unit of angular frequency is rad/s. An electric fan has blades of length 30cm as measured from the axis of rotation. If the fan is rotating at 1200 rpm, find the acceleration of a point on the tip of a blade. Centripetal acceleration a =. Electric Fan Has Blades Of Length 30 Cm.
From www.youtube.com
An electric fan has blades of length 30 cm as measured from the axis of Electric Fan Has Blades Of Length 30 Cm Asked oct 27, 2020 in physics by. The correct option is b. If the fan is rotating at 1200rpm, the acceleration of a point on. This is a unit of frequency and the unit of angular frequency is rad/s. An electric fan has blades of length 30 cm as measured from the axis of rotation. Ω2r = 4π2n2r= 4π2(1200 60)3. Electric Fan Has Blades Of Length 30 Cm.
From www.doubtnut.com
An electric fan has blades of length 30 cm as measured from the axis o Electric Fan Has Blades Of Length 30 Cm The correct option is b. Asked jun 25, 2019 in physics by rishi98 (69.2k points) an electric fan has blades of length 30 cm as measured from the axis of rotation. Centripetal acceleration a = ω2r = (2πv)2r. Find its angular velocity and linear velocity if tip of its blades is 0.20 m away from the axis of rotation. Asked. Electric Fan Has Blades Of Length 30 Cm.
From www.toppr.com
An electric fan has blades of length 30 cm as measured from the axis of Electric Fan Has Blades Of Length 30 Cm If the fan is rotating at 1200rpm, the acceleration of a point on. An electric fan has blades of length 30 cm as measured from the axis of rotation. Rpm is read as rotations per minute. If the fan is rotating at 1200 rpm, find the acceleration of a point on the tip of a blade. Asked oct 27, 2020. Electric Fan Has Blades Of Length 30 Cm.
From brainly.in
An electric fan has blades of length 30 cm as measured from the axis of Electric Fan Has Blades Of Length 30 Cm An electric fan has blades of length 30 cm as measured from the axis of rotation. An electric fan has blades of length 30 cm as measured from the axis of rotation. Asked jun 25, 2019 in physics by rishi98 (69.2k points) an electric fan has blades of length 30 cm as measured from the axis of rotation. Centripetal acceleration. Electric Fan Has Blades Of Length 30 Cm.
From www.toppr.com
An electric fan has blades on length 30 cm as measured from the axis of Electric Fan Has Blades Of Length 30 Cm An electric fan has blades of length 30 cm as measured from the axis of rotation. The correct option is b. An electric fan has blades of length 30 cm as measured from the axis of rotation. An electric fan has blades of length 30cm as measured from the axis of rotation. Frequency of rotation v = 120rpm = 2rps.. Electric Fan Has Blades Of Length 30 Cm.
From shopee.ph
siling fan DREAM 16inches GOLDEN EAGLE Electric Stand Fan 3High Speed Electric Fan Has Blades Of Length 30 Cm Asked jun 25, 2019 in physics by rishi98 (69.2k points) an electric fan has blades of length 30 cm as measured from the axis of rotation. If the fan is rotating at 1200 rpm, find the acceleration of a point on the tip of a blade. An electric fan has blades of length 30 cm as measured from the axis. Electric Fan Has Blades Of Length 30 Cm.
From www.toppr.com
An electric fan has blades of length 30 cm as measured from the axis of Electric Fan Has Blades Of Length 30 Cm Asked oct 27, 2020 in physics by. The correct option is b. Rpm is read as rotations per minute. An electric fan has blades of length 30 cm as measured from the axis of rotation. If the fan is rotating at 1200 rpm, the acceleration of a point on. Asked jun 25, 2019 in physics by rishi98 (69.2k points) an. Electric Fan Has Blades Of Length 30 Cm.
From www.ylighting.com
How To Choose A Ceiling Fan Size Guide, Blades & Airflow Electric Fan Has Blades Of Length 30 Cm An electric fan has blades of length 30 cm as measured from the axis of rotation. Centripetal acceleration a = ω2r = (2πv)2r. If the fan is rotating at 1200rpm, the acceleration of a point on. An electric fan has blades of length 30 cm as measured from the axis of rotation. Frequency of rotation v = 120rpm = 2rps.. Electric Fan Has Blades Of Length 30 Cm.
From www.doubtnut.com
An electric fan has blades of length 30 cm as measured from the axis o Electric Fan Has Blades Of Length 30 Cm If the fan is rotating at 1200 rpm, the acceleration of a point on. An electric fan has blades of length 30 cm as measured from the axis of rotation. This is a unit of frequency and the unit of angular frequency is rad/s. Asked jun 25, 2019 in physics by rishi98 (69.2k points) an electric fan has blades of. Electric Fan Has Blades Of Length 30 Cm.
From www.toppr.com
An electric fan has blades of length 30 cm as measured from the axis of Electric Fan Has Blades Of Length 30 Cm Frequency of rotation v = 120rpm = 2rps. If the fan is rotating at 1200 rpm, the acceleration of a point on. An electric fan has blades of length 30 cm as measured from the axis of rotation. Asked oct 27, 2020 in physics by. Find its angular velocity and linear velocity if tip of its blades is 0.20 m. Electric Fan Has Blades Of Length 30 Cm.
From www.numerade.com
SOLVED "An electric fan has blades of length 30 cm measured from the Electric Fan Has Blades Of Length 30 Cm An electric fan has blades of length 30cm as measured from the axis of rotation. If the fan is rotating at 1200 rpm, find the acceleration of a point on the tip of a blade. Frequency of rotation v = 120rpm = 2rps. An electric fan has blades of length 30 cm as measured from the axis of rotation. If. Electric Fan Has Blades Of Length 30 Cm.
From www.toppr.com
44. An electric fan has blades of length 30 cm from the axis of Electric Fan Has Blades Of Length 30 Cm Find its angular velocity and linear velocity if tip of its blades is 0.20 m away from the axis of rotation. Asked oct 27, 2020 in physics by. Asked jun 25, 2019 in physics by rishi98 (69.2k points) an electric fan has blades of length 30 cm as measured from the axis of rotation. If the fan is rotating at. Electric Fan Has Blades Of Length 30 Cm.
From shopee.ph
Ymore MultiColor Desk Fan Home Fan Student Standard Electric Fan Electric Fan Has Blades Of Length 30 Cm Asked oct 27, 2020 in physics by. Frequency of rotation v = 120rpm = 2rps. Find its angular velocity and linear velocity if tip of its blades is 0.20 m away from the axis of rotation. Centripetal acceleration a = ω2r = (2πv)2r. If the fan is rotating at 1200rpm, the acceleration of a point on. If the fan is. Electric Fan Has Blades Of Length 30 Cm.
From www.numerade.com
SOLVED An electric fan has blades of length 30 cm as measured from the Electric Fan Has Blades Of Length 30 Cm This is a unit of frequency and the unit of angular frequency is rad/s. Asked jun 25, 2019 in physics by rishi98 (69.2k points) an electric fan has blades of length 30 cm as measured from the axis of rotation. Length of blade r = 30cm = 0.3m. Find its angular velocity and linear velocity if tip of its blades. Electric Fan Has Blades Of Length 30 Cm.
From www.youtube.com
KM DTS 30 Q6 An electric fan has blades of length 30 cm measured from Electric Fan Has Blades Of Length 30 Cm This is a unit of frequency and the unit of angular frequency is rad/s. Asked jun 25, 2019 in physics by rishi98 (69.2k points) an electric fan has blades of length 30 cm as measured from the axis of rotation. Centripetal acceleration a = ω2r = (2πv)2r. If the fan is rotating at 1200rpm, the acceleration of a point on.. Electric Fan Has Blades Of Length 30 Cm.
From www.numerade.com
SOLVED Image viewer An electric fan has blades of length 30 cm as Electric Fan Has Blades Of Length 30 Cm Asked oct 27, 2020 in physics by. This is a unit of frequency and the unit of angular frequency is rad/s. If the fan is rotating at 1200 rpm, find the acceleration of a point on the tip of a blade. Length of blade r = 30cm = 0.3m. Ω2r = 4π2n2r= 4π2(1200 60)3 ×30 =4740 m/s2. An electric fan. Electric Fan Has Blades Of Length 30 Cm.
From www.toppr.com
223. An electric fan has blades of length 30 cm as measured from the Electric Fan Has Blades Of Length 30 Cm If the fan is rotating at 1200rpm, the acceleration of a point on. Asked oct 27, 2020 in physics by. Find its angular velocity and linear velocity if tip of its blades is 0.20 m away from the axis of rotation. Asked jun 25, 2019 in physics by rishi98 (69.2k points) an electric fan has blades of length 30 cm. Electric Fan Has Blades Of Length 30 Cm.
From www.toppr.com
An electric fan has blades of length 30 cm measured from the axis of Electric Fan Has Blades Of Length 30 Cm An electric fan has blades of length 30cm as measured from the axis of rotation. Find its angular velocity and linear velocity if tip of its blades is 0.20 m away from the axis of rotation. Ω2r = 4π2n2r= 4π2(1200 60)3 ×30 =4740 m/s2. If the fan is rotating at 1200 rpm, the acceleration of a point on. This is. Electric Fan Has Blades Of Length 30 Cm.
From www.numerade.com
SOLVED "An electric fan has blades of length 30 cm measured from the Electric Fan Has Blades Of Length 30 Cm This is a unit of frequency and the unit of angular frequency is rad/s. An electric fan has blades of length 30 cm as measured from the axis of rotation. Asked oct 27, 2020 in physics by. Frequency of rotation v = 120rpm = 2rps. If the fan is rotating at 1200 rpm, find the acceleration of a point on. Electric Fan Has Blades Of Length 30 Cm.
From www.youtube.com
An electric fan has blades of length 30 cm as measured from theaxis of Electric Fan Has Blades Of Length 30 Cm Asked jun 25, 2019 in physics by rishi98 (69.2k points) an electric fan has blades of length 30 cm as measured from the axis of rotation. Find its angular velocity and linear velocity if tip of its blades is 0.20 m away from the axis of rotation. If the fan is rotating at 1200 rpm, the acceleration of a point. Electric Fan Has Blades Of Length 30 Cm.
From www.youtube.com
An electric fan has blades of length 30 cm measured from the axis of Electric Fan Has Blades Of Length 30 Cm Ω2r = 4π2n2r= 4π2(1200 60)3 ×30 =4740 m/s2. If the fan is rotating at 1200 rpm, the acceleration of a point on. An electric fan has blades of length 30 cm as measured from the axis of rotation. Frequency of rotation v = 120rpm = 2rps. If the fan is rotating at 1200rpm, the acceleration of a point on. An. Electric Fan Has Blades Of Length 30 Cm.
From www.numerade.com
SOLVED An electric fan has blades of length 30 cm measured from the Electric Fan Has Blades Of Length 30 Cm Frequency of rotation v = 120rpm = 2rps. Asked oct 27, 2020 in physics by. An electric fan has blades of length 30 cm as measured from the axis of rotation. If the fan is rotating at 1200rpm, the acceleration of a point on. An electric fan has blades of length 30 cm as measured from the axis of rotation.. Electric Fan Has Blades Of Length 30 Cm.
From www.youtube.com
An electric fan has blades of length 30 cm neasured from the axis of Electric Fan Has Blades Of Length 30 Cm Ω2r = 4π2n2r= 4π2(1200 60)3 ×30 =4740 m/s2. An electric fan has blades of length 30 cm as measured from the axis of rotation. If the fan is rotating at 1200 rpm, the acceleration of a point on. Asked oct 27, 2020 in physics by. Find its angular velocity and linear velocity if tip of its blades is 0.20 m. Electric Fan Has Blades Of Length 30 Cm.
From www.alamy.com
Electric fan blade isolated on white background and clipping path Stock Electric Fan Has Blades Of Length 30 Cm If the fan is rotating at 1200 rpm, the acceleration of a point on. Asked jun 25, 2019 in physics by rishi98 (69.2k points) an electric fan has blades of length 30 cm as measured from the axis of rotation. An electric fan has blades of length 30cm as measured from the axis of rotation. Ω2r = 4π2n2r= 4π2(1200 60)3. Electric Fan Has Blades Of Length 30 Cm.
From www.toppr.com
An electric fan has blades of length 30 cm as measured from the axis of Electric Fan Has Blades Of Length 30 Cm The correct option is b. Length of blade r = 30cm = 0.3m. Rpm is read as rotations per minute. This is a unit of frequency and the unit of angular frequency is rad/s. Find its angular velocity and linear velocity if tip of its blades is 0.20 m away from the axis of rotation. If the fan is rotating. Electric Fan Has Blades Of Length 30 Cm.
From www.toppr.com
An electric fan has blades of length 30 cm measured from the axis of Electric Fan Has Blades Of Length 30 Cm Ω2r = 4π2n2r= 4π2(1200 60)3 ×30 =4740 m/s2. Centripetal acceleration a = ω2r = (2πv)2r. An electric fan has blades of length 30cm as measured from the axis of rotation. If the fan is rotating at 1200 rpm, the acceleration of a point on. Rpm is read as rotations per minute. Asked oct 27, 2020 in physics by. If the. Electric Fan Has Blades Of Length 30 Cm.
From www.youtube.com
An electric fan has blades of length 30 cm measured from the axis of Electric Fan Has Blades Of Length 30 Cm Frequency of rotation v = 120rpm = 2rps. If the fan is rotating at 1200 rpm, find the acceleration of a point on the tip of a blade. An electric fan has blades of length 30 cm as measured from the axis of rotation. Centripetal acceleration a = ω2r = (2πv)2r. Length of blade r = 30cm = 0.3m. Asked. Electric Fan Has Blades Of Length 30 Cm.