Sample Test Item Analysis Template . Learn how to use these tools to improve test quality and effectiveness. A table of mastery, also known as test item analysis, is a systematic way to evaluate student performance on specific learning. Check the effectiveness of test items: You will be redirected to the youtube channel of teacher zhai where you can download the file and be. Download this automated template by clicking on the link below. A table of mastery, or test item analysis, is a valuable tool in the learning process as it provides a detailed breakdown of student. Item analysis in a nutshell. Item analysis was (and still is) a statistical method for improving some types of criterion tests (multiple choice) in order to adjust test items to a uniform level. Item analysis is a process which examines student responses to individual test items (questions) in order to assess the quality of those items and of the test as a whole. Learn how to use item analysis to improve test score validity and reliability by examining item performance over time. Find out how to locate. Score the exam and sort the results by score. Download free excel templates for calculating mean percentage score (mps) and item analysis of tests.
        
         
         
        from www.slideshare.net 
     
        
        Item analysis was (and still is) a statistical method for improving some types of criterion tests (multiple choice) in order to adjust test items to a uniform level. Download this automated template by clicking on the link below. Download free excel templates for calculating mean percentage score (mps) and item analysis of tests. Learn how to use these tools to improve test quality and effectiveness. A table of mastery, or test item analysis, is a valuable tool in the learning process as it provides a detailed breakdown of student. Score the exam and sort the results by score. You will be redirected to the youtube channel of teacher zhai where you can download the file and be. Item analysis is a process which examines student responses to individual test items (questions) in order to assess the quality of those items and of the test as a whole. Check the effectiveness of test items: Learn how to use item analysis to improve test score validity and reliability by examining item performance over time.
    
    	
            
	
		 
	 
         
    Best practice test_item_analysis 
    Sample Test Item Analysis Template  Item analysis in a nutshell. Learn how to use item analysis to improve test score validity and reliability by examining item performance over time. Learn how to use these tools to improve test quality and effectiveness. Item analysis is a process which examines student responses to individual test items (questions) in order to assess the quality of those items and of the test as a whole. A table of mastery, also known as test item analysis, is a systematic way to evaluate student performance on specific learning. Download this automated template by clicking on the link below. Check the effectiveness of test items: Item analysis in a nutshell. Download free excel templates for calculating mean percentage score (mps) and item analysis of tests. Find out how to locate. Item analysis was (and still is) a statistical method for improving some types of criterion tests (multiple choice) in order to adjust test items to a uniform level. Score the exam and sort the results by score. You will be redirected to the youtube channel of teacher zhai where you can download the file and be. A table of mastery, or test item analysis, is a valuable tool in the learning process as it provides a detailed breakdown of student.
            
	
		 
	 
         
 
    
         
        From www.researchgate.net 
                    Item Analysis for Example 1 Download Table Sample Test Item Analysis Template  Learn how to use these tools to improve test quality and effectiveness. Check the effectiveness of test items: Item analysis is a process which examines student responses to individual test items (questions) in order to assess the quality of those items and of the test as a whole. Score the exam and sort the results by score. Download free excel. Sample Test Item Analysis Template.
     
    
         
        From www.examples.com 
                    Analysis in Excel 26+ Examples, Format, Sample Examples Sample Test Item Analysis Template  Item analysis was (and still is) a statistical method for improving some types of criterion tests (multiple choice) in order to adjust test items to a uniform level. Download free excel templates for calculating mean percentage score (mps) and item analysis of tests. Download this automated template by clicking on the link below. You will be redirected to the youtube. Sample Test Item Analysis Template.
     
    
         
        From remarksoftware.com 
                    Basic Item Analysis Report Remark Office OMR · Remark Software Sample Test Item Analysis Template  Item analysis was (and still is) a statistical method for improving some types of criterion tests (multiple choice) in order to adjust test items to a uniform level. Download this automated template by clicking on the link below. Item analysis is a process which examines student responses to individual test items (questions) in order to assess the quality of those. Sample Test Item Analysis Template.
     
    
         
        From www.scribd.com 
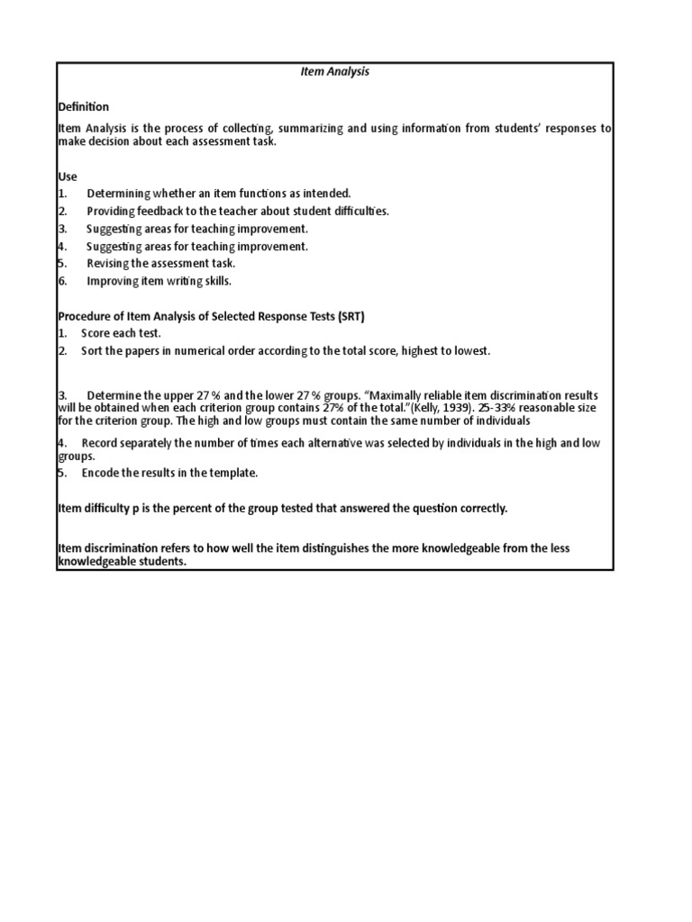
                    Test Item Analysis Template PDF Geometry Mathematics Sample Test Item Analysis Template  Item analysis is a process which examines student responses to individual test items (questions) in order to assess the quality of those items and of the test as a whole. Download this automated template by clicking on the link below. Check the effectiveness of test items: Score the exam and sort the results by score. Item analysis was (and still. Sample Test Item Analysis Template.
     
    
         
        From filesishare.blogspot.com 
                    ITEM ANALYSIS for ACHIEVEMENT TEST FILESishare Sample Test Item Analysis Template  A table of mastery, also known as test item analysis, is a systematic way to evaluate student performance on specific learning. Item analysis is a process which examines student responses to individual test items (questions) in order to assess the quality of those items and of the test as a whole. A table of mastery, or test item analysis, is. Sample Test Item Analysis Template.
     
    
         
        From www.learningguild.com 
                    How to Do an Item Analysis of a Multiple Choice Test Articles The Learning Guild Sample Test Item Analysis Template  Score the exam and sort the results by score. Find out how to locate. Learn how to use item analysis to improve test score validity and reliability by examining item performance over time. Download this automated template by clicking on the link below. Learn how to use these tools to improve test quality and effectiveness. A table of mastery, or. Sample Test Item Analysis Template.
     
    
         
        From www.scribd.com 
                    Item Analysis Template Tests Evaluation Methods Sample Test Item Analysis Template  Learn how to use these tools to improve test quality and effectiveness. Check the effectiveness of test items: Find out how to locate. Score the exam and sort the results by score. Download free excel templates for calculating mean percentage score (mps) and item analysis of tests. Item analysis is a process which examines student responses to individual test items. Sample Test Item Analysis Template.
     
    
         
        From www.scribd.com 
                    TestItemAnalysisTemplate PDF Evaluation Methods Tests Sample Test Item Analysis Template  Score the exam and sort the results by score. A table of mastery, also known as test item analysis, is a systematic way to evaluate student performance on specific learning. Download free excel templates for calculating mean percentage score (mps) and item analysis of tests. Item analysis is a process which examines student responses to individual test items (questions) in. Sample Test Item Analysis Template.
     
    
         
        From www.slideshare.net 
                    Item analysisformattest Sample Test Item Analysis Template  Download this automated template by clicking on the link below. Item analysis is a process which examines student responses to individual test items (questions) in order to assess the quality of those items and of the test as a whole. Find out how to locate. You will be redirected to the youtube channel of teacher zhai where you can download. Sample Test Item Analysis Template.
     
    
         
        From www.scribd.com 
                    Item Analysis Tests Test (Assessment) Sample Test Item Analysis Template  Learn how to use item analysis to improve test score validity and reliability by examining item performance over time. Download free excel templates for calculating mean percentage score (mps) and item analysis of tests. Download this automated template by clicking on the link below. Item analysis is a process which examines student responses to individual test items (questions) in order. Sample Test Item Analysis Template.
     
    
         
        From www.scribd.com 
                    Item Analysis Form Secondary School Tests Sample Test Item Analysis Template  Learn how to use item analysis to improve test score validity and reliability by examining item performance over time. Item analysis in a nutshell. Download this automated template by clicking on the link below. Check the effectiveness of test items: Download free excel templates for calculating mean percentage score (mps) and item analysis of tests. A table of mastery, also. Sample Test Item Analysis Template.
     
    
         
        From www.scribd.com 
                    Test Item Analysis Template PDF Sample Test Item Analysis Template  Score the exam and sort the results by score. Download this automated template by clicking on the link below. Learn how to use these tools to improve test quality and effectiveness. A table of mastery, or test item analysis, is a valuable tool in the learning process as it provides a detailed breakdown of student. You will be redirected to. Sample Test Item Analysis Template.
     
    
         
        From www.scribd.com 
                    ITEM ANALYSIS Template PDF Multiple Choice Evaluation Methods Sample Test Item Analysis Template  Learn how to use these tools to improve test quality and effectiveness. Learn how to use item analysis to improve test score validity and reliability by examining item performance over time. Item analysis was (and still is) a statistical method for improving some types of criterion tests (multiple choice) in order to adjust test items to a uniform level. Find. Sample Test Item Analysis Template.
     
    
         
        From www.scribd.com 
                    Editable Test Item Analysis Template Sy 2022 2023 PDF Mathematics Science Sample Test Item Analysis Template  Find out how to locate. Check the effectiveness of test items: Download free excel templates for calculating mean percentage score (mps) and item analysis of tests. Download this automated template by clicking on the link below. Score the exam and sort the results by score. Learn how to use these tools to improve test quality and effectiveness. A table of. Sample Test Item Analysis Template.
     
    
         
        From www.scribd.com 
                    Modified Test Item Analysis Format Secondary School Quality Of Life Sample Test Item Analysis Template  Learn how to use item analysis to improve test score validity and reliability by examining item performance over time. Download this automated template by clicking on the link below. Learn how to use these tools to improve test quality and effectiveness. A table of mastery, or test item analysis, is a valuable tool in the learning process as it provides. Sample Test Item Analysis Template.
     
    
         
        From www.scribd.com 
                    Item Analysis.pdf Tests Evaluation Methods Sample Test Item Analysis Template  Find out how to locate. Download this automated template by clicking on the link below. A table of mastery, also known as test item analysis, is a systematic way to evaluate student performance on specific learning. A table of mastery, or test item analysis, is a valuable tool in the learning process as it provides a detailed breakdown of student.. Sample Test Item Analysis Template.
     
    
         
        From filesishare.blogspot.com 
                    ITEM ANALYSIS for ACHIEVEMENT TEST FILES i SHARE Sample Test Item Analysis Template  Check the effectiveness of test items: Learn how to use these tools to improve test quality and effectiveness. Download this automated template by clicking on the link below. Find out how to locate. Download free excel templates for calculating mean percentage score (mps) and item analysis of tests. You will be redirected to the youtube channel of teacher zhai where. Sample Test Item Analysis Template.
     
    
         
        From www.scribd.com 
                    Automated Item Analysis Test (Assessment) English Language Sample Test Item Analysis Template  Find out how to locate. Download this automated template by clicking on the link below. Item analysis is a process which examines student responses to individual test items (questions) in order to assess the quality of those items and of the test as a whole. A table of mastery, or test item analysis, is a valuable tool in the learning. Sample Test Item Analysis Template.
     
    
         
        From www.youtube.com 
                    Using Excel Test Item Analysis, Creating the Headings YouTube Sample Test Item Analysis Template  Score the exam and sort the results by score. A table of mastery, or test item analysis, is a valuable tool in the learning process as it provides a detailed breakdown of student. Item analysis in a nutshell. Item analysis is a process which examines student responses to individual test items (questions) in order to assess the quality of those. Sample Test Item Analysis Template.
     
    
         
        From www.youtube.com 
                    Using Excel Test Item Analysis, Sorting the Test Scores YouTube Sample Test Item Analysis Template  Learn how to use these tools to improve test quality and effectiveness. Find out how to locate. Item analysis was (and still is) a statistical method for improving some types of criterion tests (multiple choice) in order to adjust test items to a uniform level. Download free excel templates for calculating mean percentage score (mps) and item analysis of tests.. Sample Test Item Analysis Template.
     
    
         
        From elshareitforfree.blogspot.com 
                    Science Concepts and Questions (K to 12) Sample Test Item Analysis Sample Test Item Analysis Template  You will be redirected to the youtube channel of teacher zhai where you can download the file and be. Download free excel templates for calculating mean percentage score (mps) and item analysis of tests. A table of mastery, also known as test item analysis, is a systematic way to evaluate student performance on specific learning. Find out how to locate.. Sample Test Item Analysis Template.
     
    
         
        From www.youtube.com 
                    Using Excel Test Item Analysis, Discrimination Index for PC items YouTube Sample Test Item Analysis Template  Check the effectiveness of test items: Item analysis in a nutshell. A table of mastery, also known as test item analysis, is a systematic way to evaluate student performance on specific learning. Download this automated template by clicking on the link below. Learn how to use item analysis to improve test score validity and reliability by examining item performance over. Sample Test Item Analysis Template.
     
    
         
        From www.youtube.com 
                    AUTOMATED PERIODIC TEST RESULT TEMPLATE WITH TEST ITEM ANALYSIS YouTube Sample Test Item Analysis Template  Download this automated template by clicking on the link below. Item analysis is a process which examines student responses to individual test items (questions) in order to assess the quality of those items and of the test as a whole. Learn how to use these tools to improve test quality and effectiveness. Score the exam and sort the results by. Sample Test Item Analysis Template.
     
    
         
        From www.youtube.com 
                    ITEM ANALYSIS TEMPLATE with AUTOMATED REPORT YouTube Sample Test Item Analysis Template  Download this automated template by clicking on the link below. Item analysis was (and still is) a statistical method for improving some types of criterion tests (multiple choice) in order to adjust test items to a uniform level. A table of mastery, also known as test item analysis, is a systematic way to evaluate student performance on specific learning. Item. Sample Test Item Analysis Template.
     
    
         
        From www.deped-click.com 
                    AUTOMATED ITEM ANALYSIS TEMPLATE (Free Download) DepEd Click Sample Test Item Analysis Template  Item analysis was (and still is) a statistical method for improving some types of criterion tests (multiple choice) in order to adjust test items to a uniform level. Download free excel templates for calculating mean percentage score (mps) and item analysis of tests. Item analysis is a process which examines student responses to individual test items (questions) in order to. Sample Test Item Analysis Template.
     
    
         
        From studylib.net 
                    Test Item Analysis Sample Test Item Analysis Template  Find out how to locate. Download this automated template by clicking on the link below. Item analysis was (and still is) a statistical method for improving some types of criterion tests (multiple choice) in order to adjust test items to a uniform level. A table of mastery, or test item analysis, is a valuable tool in the learning process as. Sample Test Item Analysis Template.
     
    
         
        From studylib.net 
                    Teacher/Class Evaluation Item Analysis Sheet Session Info Instructions Sample Test Item Analysis Template  Download free excel templates for calculating mean percentage score (mps) and item analysis of tests. Item analysis is a process which examines student responses to individual test items (questions) in order to assess the quality of those items and of the test as a whole. A table of mastery, also known as test item analysis, is a systematic way to. Sample Test Item Analysis Template.
     
    
         
        From www.slideshare.net 
                    Best practice test_item_analysis Sample Test Item Analysis Template  Item analysis was (and still is) a statistical method for improving some types of criterion tests (multiple choice) in order to adjust test items to a uniform level. Download this automated template by clicking on the link below. Download free excel templates for calculating mean percentage score (mps) and item analysis of tests. A table of mastery, also known as. Sample Test Item Analysis Template.
     
    
         
        From www.scantronscore.com 
                    (Click an image to enlarge it. Click anywhere off the image to close it.) Sample Test Item Analysis Template  Score the exam and sort the results by score. You will be redirected to the youtube channel of teacher zhai where you can download the file and be. A table of mastery, also known as test item analysis, is a systematic way to evaluate student performance on specific learning. Item analysis was (and still is) a statistical method for improving. Sample Test Item Analysis Template.
     
    
         
        From www.scribd.com 
                    Item Analysis Template PDF Evaluation Methods Test (Assessment) Sample Test Item Analysis Template  Find out how to locate. Download free excel templates for calculating mean percentage score (mps) and item analysis of tests. Learn how to use item analysis to improve test score validity and reliability by examining item performance over time. You will be redirected to the youtube channel of teacher zhai where you can download the file and be. Score the. Sample Test Item Analysis Template.
     
    
         
        From www.scribd.com 
                    Sample Test Item Analysis PDF Data Collection Evaluation Sample Test Item Analysis Template  Score the exam and sort the results by score. Learn how to use these tools to improve test quality and effectiveness. Item analysis in a nutshell. A table of mastery, also known as test item analysis, is a systematic way to evaluate student performance on specific learning. You will be redirected to the youtube channel of teacher zhai where you. Sample Test Item Analysis Template.
     
    
         
        From www.scribd.com 
                    Item Analysis Template Final PDF Educational Assessment Tests Sample Test Item Analysis Template  Item analysis is a process which examines student responses to individual test items (questions) in order to assess the quality of those items and of the test as a whole. Item analysis was (and still is) a statistical method for improving some types of criterion tests (multiple choice) in order to adjust test items to a uniform level. You will. Sample Test Item Analysis Template.
     
    
         
        From depedtambayan.org 
                    Test Item Analysis Calculator 2020 Sample Test Item Analysis Template  Find out how to locate. Download this automated template by clicking on the link below. Check the effectiveness of test items: Item analysis was (and still is) a statistical method for improving some types of criterion tests (multiple choice) in order to adjust test items to a uniform level. Learn how to use item analysis to improve test score validity. Sample Test Item Analysis Template.
     
    
         
        From www.scribd.com 
                    Item Analysis Template Psychometrics Tests Sample Test Item Analysis Template  A table of mastery, also known as test item analysis, is a systematic way to evaluate student performance on specific learning. Download free excel templates for calculating mean percentage score (mps) and item analysis of tests. Item analysis is a process which examines student responses to individual test items (questions) in order to assess the quality of those items and. Sample Test Item Analysis Template.
     
    
         
        From www.scribd.com 
                    Item Analysis Spreadsheet Template Test (Assessment) Education Theory Sample Test Item Analysis Template  Download free excel templates for calculating mean percentage score (mps) and item analysis of tests. You will be redirected to the youtube channel of teacher zhai where you can download the file and be. Learn how to use these tools to improve test quality and effectiveness. Learn how to use item analysis to improve test score validity and reliability by. Sample Test Item Analysis Template.