The Heating Element Of An Electric Toaster Is Of Nichrome . Therefore, the material used for the heating element of an electric. In an electric toaster, it's easy to spot the ribbons of nichrome built. The heating element of an electric toaster is typically made of nichrome wire (an alloy of nickel and chromium). The heating element of an electirc toaster is of nichrome. The heating element of an electric toaster is typically made of nichrome wire (an alloy of nickel and chromium). In some appliances, the heating elements are very visible: When a vary small current passes through it, at room temperrature 27∘c,. When the current through the element is very small, heating effects can be ignored and the temperature t 1 t 1 of. As current passes through the. 1) the heating element of an electric toaster is typically made of nichrome wire (an alloy of nickel and chromium). The most common way for a toaster to create the infrared radiation is to use nichrome wire wrapped back and forth across a mica sheet, like this: As current passes through the. As current passes through the. Nichrome wire has the property of high melting point, and high resistance.
from askfilo.com
The most common way for a toaster to create the infrared radiation is to use nichrome wire wrapped back and forth across a mica sheet, like this: As current passes through the. When the current through the element is very small, heating effects can be ignored and the temperature t 1 t 1 of. Therefore, the material used for the heating element of an electric. In an electric toaster, it's easy to spot the ribbons of nichrome built. Nichrome wire has the property of high melting point, and high resistance. The heating element of an electirc toaster is of nichrome. The heating element of an electric toaster is typically made of nichrome wire (an alloy of nickel and chromium). As current passes through the. In some appliances, the heating elements are very visible:
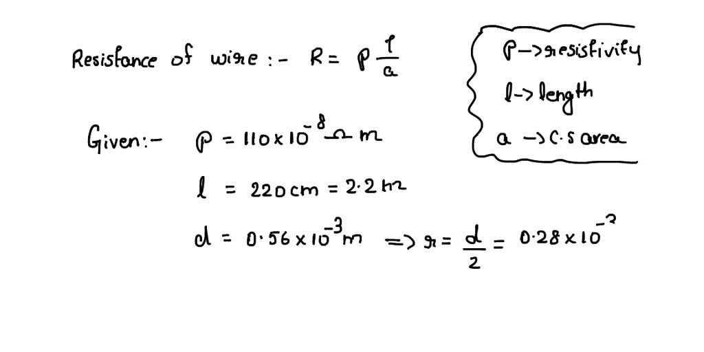
Example 3.3 An electric toaster uses nichrome for its heating element. Wh..
The Heating Element Of An Electric Toaster Is Of Nichrome As current passes through the. As current passes through the. When the current through the element is very small, heating effects can be ignored and the temperature t 1 t 1 of. Nichrome wire has the property of high melting point, and high resistance. The heating element of an electric toaster is typically made of nichrome wire (an alloy of nickel and chromium). The most common way for a toaster to create the infrared radiation is to use nichrome wire wrapped back and forth across a mica sheet, like this: As current passes through the. 1) the heating element of an electric toaster is typically made of nichrome wire (an alloy of nickel and chromium). As current passes through the. In some appliances, the heating elements are very visible: In an electric toaster, it's easy to spot the ribbons of nichrome built. The heating element of an electirc toaster is of nichrome. The heating element of an electric toaster is typically made of nichrome wire (an alloy of nickel and chromium). Therefore, the material used for the heating element of an electric. When a vary small current passes through it, at room temperrature 27∘c,.
From www.alloy-wires.com
Nicr7030 Nichrome Strip For Electric Heating Elements The Heating Element Of An Electric Toaster Is Of Nichrome When a vary small current passes through it, at room temperrature 27∘c,. The most common way for a toaster to create the infrared radiation is to use nichrome wire wrapped back and forth across a mica sheet, like this: As current passes through the. When the current through the element is very small, heating effects can be ignored and the. The Heating Element Of An Electric Toaster Is Of Nichrome.
From homestudioreview.com
Best Nichrome Heating Coil Element Home Studio The Heating Element Of An Electric Toaster Is Of Nichrome The heating element of an electric toaster is typically made of nichrome wire (an alloy of nickel and chromium). Nichrome wire has the property of high melting point, and high resistance. When a vary small current passes through it, at room temperrature 27∘c,. 1) the heating element of an electric toaster is typically made of nichrome wire (an alloy of. The Heating Element Of An Electric Toaster Is Of Nichrome.
From www.chegg.com
Solved A toaster using a Nichrome heating element operates The Heating Element Of An Electric Toaster Is Of Nichrome Therefore, the material used for the heating element of an electric. Nichrome wire has the property of high melting point, and high resistance. As current passes through the. 1) the heating element of an electric toaster is typically made of nichrome wire (an alloy of nickel and chromium). As current passes through the. The most common way for a toaster. The Heating Element Of An Electric Toaster Is Of Nichrome.
From cjsupplies.com
Nichrome Heating Elements C&J Supplies Inc. The Heating Element Of An Electric Toaster Is Of Nichrome The heating element of an electric toaster is typically made of nichrome wire (an alloy of nickel and chromium). Nichrome wire has the property of high melting point, and high resistance. Therefore, the material used for the heating element of an electric. As current passes through the. The heating element of an electric toaster is typically made of nichrome wire. The Heating Element Of An Electric Toaster Is Of Nichrome.
From www.indiamart.com
24inch Round Nichrome Heating Element at Rs 3500/piece in Ludhiana ID 2850900686197 The Heating Element Of An Electric Toaster Is Of Nichrome Therefore, the material used for the heating element of an electric. The heating element of an electric toaster is typically made of nichrome wire (an alloy of nickel and chromium). As current passes through the. As current passes through the. The heating element of an electric toaster is typically made of nichrome wire (an alloy of nickel and chromium). Nichrome. The Heating Element Of An Electric Toaster Is Of Nichrome.
From fphoto.photoshelter.com
science electricity nichrome heating element Fundamental Photographs The Art of Science The Heating Element Of An Electric Toaster Is Of Nichrome The heating element of an electirc toaster is of nichrome. In some appliances, the heating elements are very visible: The heating element of an electric toaster is typically made of nichrome wire (an alloy of nickel and chromium). As current passes through the. When the current through the element is very small, heating effects can be ignored and the temperature. The Heating Element Of An Electric Toaster Is Of Nichrome.
From www.chegg.com
Solved The Heating Element In A Toaster Is Made Of Nichro... The Heating Element Of An Electric Toaster Is Of Nichrome When a vary small current passes through it, at room temperrature 27∘c,. Nichrome wire has the property of high melting point, and high resistance. The most common way for a toaster to create the infrared radiation is to use nichrome wire wrapped back and forth across a mica sheet, like this: The heating element of an electirc toaster is of. The Heating Element Of An Electric Toaster Is Of Nichrome.
From dyyishengmei.en.made-in-china.com
Resistance Alloy Nicr 8020/7030/3020/6015 Nichrome Wire/Strip for Electrical Resistor Elements The Heating Element Of An Electric Toaster Is Of Nichrome The heating element of an electric toaster is typically made of nichrome wire (an alloy of nickel and chromium). When a vary small current passes through it, at room temperrature 27∘c,. In some appliances, the heating elements are very visible: As current passes through the. When the current through the element is very small, heating effects can be ignored and. The Heating Element Of An Electric Toaster Is Of Nichrome.
From www.toppr.com
Ezample 3.3 An electric toaster uses nichrome its heating element. When a negligibly small The Heating Element Of An Electric Toaster Is Of Nichrome The heating element of an electric toaster is typically made of nichrome wire (an alloy of nickel and chromium). When the current through the element is very small, heating effects can be ignored and the temperature t 1 t 1 of. In some appliances, the heating elements are very visible: The heating element of an electric toaster is typically made. The Heating Element Of An Electric Toaster Is Of Nichrome.
From shopee.ph
Nichrome Wire for Heating Element Nichrome Heating Wire Shopee Philippines The Heating Element Of An Electric Toaster Is Of Nichrome The heating element of an electirc toaster is of nichrome. The heating element of an electric toaster is typically made of nichrome wire (an alloy of nickel and chromium). In some appliances, the heating elements are very visible: When the current through the element is very small, heating effects can be ignored and the temperature t 1 t 1 of.. The Heating Element Of An Electric Toaster Is Of Nichrome.
From www.doubtnut.com
An electric toaster uses nichrome for its heating element. When a negl The Heating Element Of An Electric Toaster Is Of Nichrome 1) the heating element of an electric toaster is typically made of nichrome wire (an alloy of nickel and chromium). When a vary small current passes through it, at room temperrature 27∘c,. The heating element of an electric toaster is typically made of nichrome wire (an alloy of nickel and chromium). When the current through the element is very small,. The Heating Element Of An Electric Toaster Is Of Nichrome.
From www.youtube.com
An electric toaster uses nichrome for its heating element. When a negligibly small current The Heating Element Of An Electric Toaster Is Of Nichrome 1) the heating element of an electric toaster is typically made of nichrome wire (an alloy of nickel and chromium). As current passes through the. As current passes through the. Therefore, the material used for the heating element of an electric. The heating element of an electric toaster is typically made of nichrome wire (an alloy of nickel and chromium).. The Heating Element Of An Electric Toaster Is Of Nichrome.
From homestudioreview.com
Best Nichrome Heating Coil Element Home Studio The Heating Element Of An Electric Toaster Is Of Nichrome As current passes through the. When the current through the element is very small, heating effects can be ignored and the temperature t 1 t 1 of. The heating element of an electric toaster is typically made of nichrome wire (an alloy of nickel and chromium). The most common way for a toaster to create the infrared radiation is to. The Heating Element Of An Electric Toaster Is Of Nichrome.
From www.youtube.com
Nichrome Heating Element YouTube The Heating Element Of An Electric Toaster Is Of Nichrome The most common way for a toaster to create the infrared radiation is to use nichrome wire wrapped back and forth across a mica sheet, like this: When a vary small current passes through it, at room temperrature 27∘c,. As current passes through the. As current passes through the. When the current through the element is very small, heating effects. The Heating Element Of An Electric Toaster Is Of Nichrome.
From cjsupplies.com
Nichrome Heating Element C&J Supplies Inc. The Heating Element Of An Electric Toaster Is Of Nichrome The heating element of an electric toaster is typically made of nichrome wire (an alloy of nickel and chromium). 1) the heating element of an electric toaster is typically made of nichrome wire (an alloy of nickel and chromium). As current passes through the. The most common way for a toaster to create the infrared radiation is to use nichrome. The Heating Element Of An Electric Toaster Is Of Nichrome.
From www.youtube.com
Heating elements Electric heaters nichrome wire YouTube The Heating Element Of An Electric Toaster Is Of Nichrome As current passes through the. 1) the heating element of an electric toaster is typically made of nichrome wire (an alloy of nickel and chromium). When a vary small current passes through it, at room temperrature 27∘c,. The heating element of an electirc toaster is of nichrome. As current passes through the. The most common way for a toaster to. The Heating Element Of An Electric Toaster Is Of Nichrome.
From www.indiamart.com
Round 10 inch Nichrome Heating Element Spiral type, 3000 W at Rs 1900/piece in Thane The Heating Element Of An Electric Toaster Is Of Nichrome The heating element of an electric toaster is typically made of nichrome wire (an alloy of nickel and chromium). The heating element of an electric toaster is typically made of nichrome wire (an alloy of nickel and chromium). The heating element of an electirc toaster is of nichrome. As current passes through the. When a vary small current passes through. The Heating Element Of An Electric Toaster Is Of Nichrome.
From www.teachoo.com
Q4 Page 209 Why are coils of electric toasters and electric irons The Heating Element Of An Electric Toaster Is Of Nichrome As current passes through the. 1) the heating element of an electric toaster is typically made of nichrome wire (an alloy of nickel and chromium). Nichrome wire has the property of high melting point, and high resistance. As current passes through the. In an electric toaster, it's easy to spot the ribbons of nichrome built. As current passes through the.. The Heating Element Of An Electric Toaster Is Of Nichrome.
From dlx-alloy.en.made-in-china.com
Cr20ni80 Nicr80/20 Ni80 Electric Resistance Flat Wire Nichrome Strip Industry Furnace Heating The Heating Element Of An Electric Toaster Is Of Nichrome When the current through the element is very small, heating effects can be ignored and the temperature t 1 t 1 of. Nichrome wire has the property of high melting point, and high resistance. The heating element of an electric toaster is typically made of nichrome wire (an alloy of nickel and chromium). 1) the heating element of an electric. The Heating Element Of An Electric Toaster Is Of Nichrome.
From www.toppr.com
A certain toaster has a heating element made of Nichrome wire. When the toaster is first The Heating Element Of An Electric Toaster Is Of Nichrome The heating element of an electirc toaster is of nichrome. In an electric toaster, it's easy to spot the ribbons of nichrome built. Nichrome wire has the property of high melting point, and high resistance. The heating element of an electric toaster is typically made of nichrome wire (an alloy of nickel and chromium). The most common way for a. The Heating Element Of An Electric Toaster Is Of Nichrome.
From www.dreamstime.com
Closeup Inside Bread Toaster Heating Element Stock Image Image of industry, ampere 126552835 The Heating Element Of An Electric Toaster Is Of Nichrome Therefore, the material used for the heating element of an electric. The heating element of an electric toaster is typically made of nichrome wire (an alloy of nickel and chromium). The heating element of an electric toaster is typically made of nichrome wire (an alloy of nickel and chromium). The heating element of an electirc toaster is of nichrome. 1). The Heating Element Of An Electric Toaster Is Of Nichrome.
From questions-in.kunduz.com
A heating element using nichrome connected to a 230 Physics The Heating Element Of An Electric Toaster Is Of Nichrome When a vary small current passes through it, at room temperrature 27∘c,. As current passes through the. When the current through the element is very small, heating effects can be ignored and the temperature t 1 t 1 of. The most common way for a toaster to create the infrared radiation is to use nichrome wire wrapped back and forth. The Heating Element Of An Electric Toaster Is Of Nichrome.
From www.toppr.com
Why are the coils of electric toasters made of an alloy rather than a pure metal? The Heating Element Of An Electric Toaster Is Of Nichrome The heating element of an electirc toaster is of nichrome. When the current through the element is very small, heating effects can be ignored and the temperature t 1 t 1 of. Nichrome wire has the property of high melting point, and high resistance. 1) the heating element of an electric toaster is typically made of nichrome wire (an alloy. The Heating Element Of An Electric Toaster Is Of Nichrome.
From metro.co.uk
Who invented the toaster and when? Metro News The Heating Element Of An Electric Toaster Is Of Nichrome The heating element of an electric toaster is typically made of nichrome wire (an alloy of nickel and chromium). 1) the heating element of an electric toaster is typically made of nichrome wire (an alloy of nickel and chromium). The most common way for a toaster to create the infrared radiation is to use nichrome wire wrapped back and forth. The Heating Element Of An Electric Toaster Is Of Nichrome.
From www.numerade.com
SOLVED The heating element of an electric toaster is typically made of nichrome wire (an alloy The Heating Element Of An Electric Toaster Is Of Nichrome Therefore, the material used for the heating element of an electric. As current passes through the. Nichrome wire has the property of high melting point, and high resistance. When a vary small current passes through it, at room temperrature 27∘c,. 1) the heating element of an electric toaster is typically made of nichrome wire (an alloy of nickel and chromium).. The Heating Element Of An Electric Toaster Is Of Nichrome.
From www.youtube.com
How to make Heating Element DIY Nichrome wire heating coil YouTube The Heating Element Of An Electric Toaster Is Of Nichrome As current passes through the. The heating element of an electric toaster is typically made of nichrome wire (an alloy of nickel and chromium). When a vary small current passes through it, at room temperrature 27∘c,. Nichrome wire has the property of high melting point, and high resistance. The most common way for a toaster to create the infrared radiation. The Heating Element Of An Electric Toaster Is Of Nichrome.
From mamievandoren2017.blogspot.com
nichrome wire heating element design mamievandoren2017 The Heating Element Of An Electric Toaster Is Of Nichrome Nichrome wire has the property of high melting point, and high resistance. The heating element of an electirc toaster is of nichrome. When a vary small current passes through it, at room temperrature 27∘c,. The most common way for a toaster to create the infrared radiation is to use nichrome wire wrapped back and forth across a mica sheet, like. The Heating Element Of An Electric Toaster Is Of Nichrome.
From www.chegg.com
Solved A toaster using a Nichrome heating element operates The Heating Element Of An Electric Toaster Is Of Nichrome When the current through the element is very small, heating effects can be ignored and the temperature t 1 t 1 of. As current passes through the. In an electric toaster, it's easy to spot the ribbons of nichrome built. 1) the heating element of an electric toaster is typically made of nichrome wire (an alloy of nickel and chromium).. The Heating Element Of An Electric Toaster Is Of Nichrome.
From www.meritnation.com
Give solution 3 3 ques Example 3 3 An electric toaster uses nichrome for its heating element The Heating Element Of An Electric Toaster Is Of Nichrome Therefore, the material used for the heating element of an electric. When a vary small current passes through it, at room temperrature 27∘c,. The heating element of an electric toaster is typically made of nichrome wire (an alloy of nickel and chromium). As current passes through the. The heating element of an electirc toaster is of nichrome. 1) the heating. The Heating Element Of An Electric Toaster Is Of Nichrome.
From askfilo.com
1. An electric toaster uses nichrome for its heating element. When a negl.. The Heating Element Of An Electric Toaster Is Of Nichrome When a vary small current passes through it, at room temperrature 27∘c,. The heating element of an electric toaster is typically made of nichrome wire (an alloy of nickel and chromium). In an electric toaster, it's easy to spot the ribbons of nichrome built. As current passes through the. The heating element of an electirc toaster is of nichrome. The. The Heating Element Of An Electric Toaster Is Of Nichrome.
From eptltd.en.made-in-china.com
OEM Stainless Steel Heating Element for Bakery Machine, Electric Heating Element for Toaster The Heating Element Of An Electric Toaster Is Of Nichrome When the current through the element is very small, heating effects can be ignored and the temperature t 1 t 1 of. The heating element of an electric toaster is typically made of nichrome wire (an alloy of nickel and chromium). When a vary small current passes through it, at room temperrature 27∘c,. Therefore, the material used for the heating. The Heating Element Of An Electric Toaster Is Of Nichrome.
From www.youtube.com
An electric toaster uses nichrome for its heating element. When a negligibly small current The Heating Element Of An Electric Toaster Is Of Nichrome As current passes through the. In an electric toaster, it's easy to spot the ribbons of nichrome built. The heating element of an electric toaster is typically made of nichrome wire (an alloy of nickel and chromium). In some appliances, the heating elements are very visible: Nichrome wire has the property of high melting point, and high resistance. When the. The Heating Element Of An Electric Toaster Is Of Nichrome.
From askfilo.com
Example 3.3 An electric toaster uses nichrome for its heating element. Wh.. The Heating Element Of An Electric Toaster Is Of Nichrome In some appliances, the heating elements are very visible: The heating element of an electric toaster is typically made of nichrome wire (an alloy of nickel and chromium). 1) the heating element of an electric toaster is typically made of nichrome wire (an alloy of nickel and chromium). As current passes through the. When the current through the element is. The Heating Element Of An Electric Toaster Is Of Nichrome.
From askfilo.com
Example 3.3 An electric toaster uses nichrome for its heating element. Wh.. The Heating Element Of An Electric Toaster Is Of Nichrome Nichrome wire has the property of high melting point, and high resistance. Therefore, the material used for the heating element of an electric. The heating element of an electric toaster is typically made of nichrome wire (an alloy of nickel and chromium). The heating element of an electric toaster is typically made of nichrome wire (an alloy of nickel and. The Heating Element Of An Electric Toaster Is Of Nichrome.
From www.toppr.com
A heating element using nichrome connected to a 230 V supply draws an initial current of 3.2 A The Heating Element Of An Electric Toaster Is Of Nichrome In an electric toaster, it's easy to spot the ribbons of nichrome built. The heating element of an electirc toaster is of nichrome. 1) the heating element of an electric toaster is typically made of nichrome wire (an alloy of nickel and chromium). As current passes through the. Nichrome wire has the property of high melting point, and high resistance.. The Heating Element Of An Electric Toaster Is Of Nichrome.