Cone Parametric Equation . In this section we will take a look at the basics of representing a surface with parametric equations. Quadric surfaces are the graphs of equations that can be expressed in the form. Find the parametric representations of a cylinder, a cone, and a sphere. Quadric surfaces and conic sections. \(s_3\) is the cone given by the equation \(z^2 = x^2 + y^2\) with \(z\ge 0\text{.}\) consider the following parameterizations: This is only a single euation, and as. We will also see how the. The formula you refer to seems to be the following: Ax2 + by2 + cz2 + dxy + exz + fyz + gx +.
from www.cuemath.com
Find the parametric representations of a cylinder, a cone, and a sphere. \(s_3\) is the cone given by the equation \(z^2 = x^2 + y^2\) with \(z\ge 0\text{.}\) consider the following parameterizations: Quadric surfaces and conic sections. The formula you refer to seems to be the following: Ax2 + by2 + cz2 + dxy + exz + fyz + gx +. Quadric surfaces are the graphs of equations that can be expressed in the form. In this section we will take a look at the basics of representing a surface with parametric equations. We will also see how the. This is only a single euation, and as.
Volume of a Cone with Diameter Formula, Definition, Examples
Cone Parametric Equation The formula you refer to seems to be the following: \(s_3\) is the cone given by the equation \(z^2 = x^2 + y^2\) with \(z\ge 0\text{.}\) consider the following parameterizations: We will also see how the. The formula you refer to seems to be the following: Ax2 + by2 + cz2 + dxy + exz + fyz + gx +. Quadric surfaces and conic sections. This is only a single euation, and as. Quadric surfaces are the graphs of equations that can be expressed in the form. In this section we will take a look at the basics of representing a surface with parametric equations. Find the parametric representations of a cylinder, a cone, and a sphere.
From www.chegg.com
Solved Consider the cone. Give the equation and describe the Cone Parametric Equation \(s_3\) is the cone given by the equation \(z^2 = x^2 + y^2\) with \(z\ge 0\text{.}\) consider the following parameterizations: The formula you refer to seems to be the following: We will also see how the. Ax2 + by2 + cz2 + dxy + exz + fyz + gx +. Find the parametric representations of a cylinder, a cone, and. Cone Parametric Equation.
From www.dreamstime.com
Area and Volume of the Rotating Cone Stock Illustration Illustration Cone Parametric Equation This is only a single euation, and as. The formula you refer to seems to be the following: \(s_3\) is the cone given by the equation \(z^2 = x^2 + y^2\) with \(z\ge 0\text{.}\) consider the following parameterizations: Quadric surfaces are the graphs of equations that can be expressed in the form. Quadric surfaces and conic sections. Find the parametric. Cone Parametric Equation.
From www.cuemath.com
Frustum of Cone Formula, Properties, Definition, Examples Cone Parametric Equation Ax2 + by2 + cz2 + dxy + exz + fyz + gx +. In this section we will take a look at the basics of representing a surface with parametric equations. We will also see how the. \(s_3\) is the cone given by the equation \(z^2 = x^2 + y^2\) with \(z\ge 0\text{.}\) consider the following parameterizations: Quadric surfaces. Cone Parametric Equation.
From www.geogebra.org
Parametric Cone GeoGebra Cone Parametric Equation Quadric surfaces and conic sections. We will also see how the. In this section we will take a look at the basics of representing a surface with parametric equations. Ax2 + by2 + cz2 + dxy + exz + fyz + gx +. The formula you refer to seems to be the following: Quadric surfaces are the graphs of equations. Cone Parametric Equation.
From www.cuemath.com
Volume of a Cone with Diameter Formula, Definition, Examples Cone Parametric Equation In this section we will take a look at the basics of representing a surface with parametric equations. Find the parametric representations of a cylinder, a cone, and a sphere. The formula you refer to seems to be the following: \(s_3\) is the cone given by the equation \(z^2 = x^2 + y^2\) with \(z\ge 0\text{.}\) consider the following parameterizations:. Cone Parametric Equation.
From www.coursehero.com
[Solved] Find the parametric equation of the cone z+ x 2 + y 2 over Cone Parametric Equation \(s_3\) is the cone given by the equation \(z^2 = x^2 + y^2\) with \(z\ge 0\text{.}\) consider the following parameterizations: In this section we will take a look at the basics of representing a surface with parametric equations. Quadric surfaces are the graphs of equations that can be expressed in the form. Quadric surfaces and conic sections. The formula you. Cone Parametric Equation.
From www.quirkyscience.com
Equation for a Cone The Mathematical Equation of Simplest Design Cone Parametric Equation Find the parametric representations of a cylinder, a cone, and a sphere. In this section we will take a look at the basics of representing a surface with parametric equations. Quadric surfaces and conic sections. The formula you refer to seems to be the following: This is only a single euation, and as. Quadric surfaces are the graphs of equations. Cone Parametric Equation.
From www.youtube.com
ParametrizationsPart 3cone YouTube Cone Parametric Equation Quadric surfaces are the graphs of equations that can be expressed in the form. We will also see how the. Quadric surfaces and conic sections. Ax2 + by2 + cz2 + dxy + exz + fyz + gx +. Find the parametric representations of a cylinder, a cone, and a sphere. The formula you refer to seems to be the. Cone Parametric Equation.
From www.chegg.com
Solved The following parametric equation describes a portion Cone Parametric Equation In this section we will take a look at the basics of representing a surface with parametric equations. The formula you refer to seems to be the following: This is only a single euation, and as. Find the parametric representations of a cylinder, a cone, and a sphere. We will also see how the. \(s_3\) is the cone given by. Cone Parametric Equation.
From mathmonks.com
Elliptic Cone Equation, Solved Examples, and Diagram Cone Parametric Equation We will also see how the. \(s_3\) is the cone given by the equation \(z^2 = x^2 + y^2\) with \(z\ge 0\text{.}\) consider the following parameterizations: Find the parametric representations of a cylinder, a cone, and a sphere. This is only a single euation, and as. The formula you refer to seems to be the following: Ax2 + by2 +. Cone Parametric Equation.
From www.youtube.com
Vector Equation of the Curve of Intersection of a Hemisphere and Cone Cone Parametric Equation Ax2 + by2 + cz2 + dxy + exz + fyz + gx +. Quadric surfaces and conic sections. The formula you refer to seems to be the following: We will also see how the. This is only a single euation, and as. \(s_3\) is the cone given by the equation \(z^2 = x^2 + y^2\) with \(z\ge 0\text{.}\) consider. Cone Parametric Equation.
From www.chegg.com
Solved Find parametric equations for the cone x^2 + y^2 = Cone Parametric Equation Quadric surfaces and conic sections. Find the parametric representations of a cylinder, a cone, and a sphere. We will also see how the. The formula you refer to seems to be the following: \(s_3\) is the cone given by the equation \(z^2 = x^2 + y^2\) with \(z\ge 0\text{.}\) consider the following parameterizations: Quadric surfaces are the graphs of equations. Cone Parametric Equation.
From www.numerade.com
SOLVEDShow that the curve with parametric equations x = t cost , y = t Cone Parametric Equation Quadric surfaces are the graphs of equations that can be expressed in the form. Find the parametric representations of a cylinder, a cone, and a sphere. \(s_3\) is the cone given by the equation \(z^2 = x^2 + y^2\) with \(z\ge 0\text{.}\) consider the following parameterizations: Ax2 + by2 + cz2 + dxy + exz + fyz + gx +.. Cone Parametric Equation.
From andymath.com
Parametric Equations Conic Sections Cone Parametric Equation \(s_3\) is the cone given by the equation \(z^2 = x^2 + y^2\) with \(z\ge 0\text{.}\) consider the following parameterizations: Quadric surfaces and conic sections. Ax2 + by2 + cz2 + dxy + exz + fyz + gx +. The formula you refer to seems to be the following: In this section we will take a look at the basics. Cone Parametric Equation.
From math.stackexchange.com
multivariable calculus Find the parametric equation of the surface Cone Parametric Equation Ax2 + by2 + cz2 + dxy + exz + fyz + gx +. The formula you refer to seems to be the following: In this section we will take a look at the basics of representing a surface with parametric equations. We will also see how the. This is only a single euation, and as. Find the parametric representations. Cone Parametric Equation.
From www.youtube.com
The parametric equation of the coneknowledge by mathematicians Cone Parametric Equation Quadric surfaces and conic sections. Find the parametric representations of a cylinder, a cone, and a sphere. Quadric surfaces are the graphs of equations that can be expressed in the form. The formula you refer to seems to be the following: \(s_3\) is the cone given by the equation \(z^2 = x^2 + y^2\) with \(z\ge 0\text{.}\) consider the following. Cone Parametric Equation.
From www.chegg.com
Solved Find the parametric equations for the cone generated Cone Parametric Equation We will also see how the. The formula you refer to seems to be the following: In this section we will take a look at the basics of representing a surface with parametric equations. Find the parametric representations of a cylinder, a cone, and a sphere. Ax2 + by2 + cz2 + dxy + exz + fyz + gx +.. Cone Parametric Equation.
From www.chegg.com
Solved Parametric equations of a cone 2 = u, y=v, z= V22 + Cone Parametric Equation In this section we will take a look at the basics of representing a surface with parametric equations. The formula you refer to seems to be the following: Quadric surfaces and conic sections. We will also see how the. Quadric surfaces are the graphs of equations that can be expressed in the form. Find the parametric representations of a cylinder,. Cone Parametric Equation.
From www.numerade.com
SOLVEDShow that the curve with parametric equations x=t cost y=t sint Cone Parametric Equation We will also see how the. Quadric surfaces and conic sections. Quadric surfaces are the graphs of equations that can be expressed in the form. In this section we will take a look at the basics of representing a surface with parametric equations. This is only a single euation, and as. Find the parametric representations of a cylinder, a cone,. Cone Parametric Equation.
From www.numerade.com
SOLVED Part 1 of 2 A conchospiral lifts a logarithmic spiral onto the Cone Parametric Equation In this section we will take a look at the basics of representing a surface with parametric equations. Ax2 + by2 + cz2 + dxy + exz + fyz + gx +. \(s_3\) is the cone given by the equation \(z^2 = x^2 + y^2\) with \(z\ge 0\text{.}\) consider the following parameterizations: Quadric surfaces are the graphs of equations that. Cone Parametric Equation.
From www.cuemath.com
What is Cone Formula, Properties, Examples Cuemath Cone Parametric Equation In this section we will take a look at the basics of representing a surface with parametric equations. Ax2 + by2 + cz2 + dxy + exz + fyz + gx +. Quadric surfaces are the graphs of equations that can be expressed in the form. We will also see how the. Quadric surfaces and conic sections. \(s_3\) is the. Cone Parametric Equation.
From www.youtube.com
Build a CONE (H = 2R) in GeoGebra 3D Method 4 (Use PARAMETRIC Cone Parametric Equation In this section we will take a look at the basics of representing a surface with parametric equations. \(s_3\) is the cone given by the equation \(z^2 = x^2 + y^2\) with \(z\ge 0\text{.}\) consider the following parameterizations: Find the parametric representations of a cylinder, a cone, and a sphere. Quadric surfaces and conic sections. We will also see how. Cone Parametric Equation.
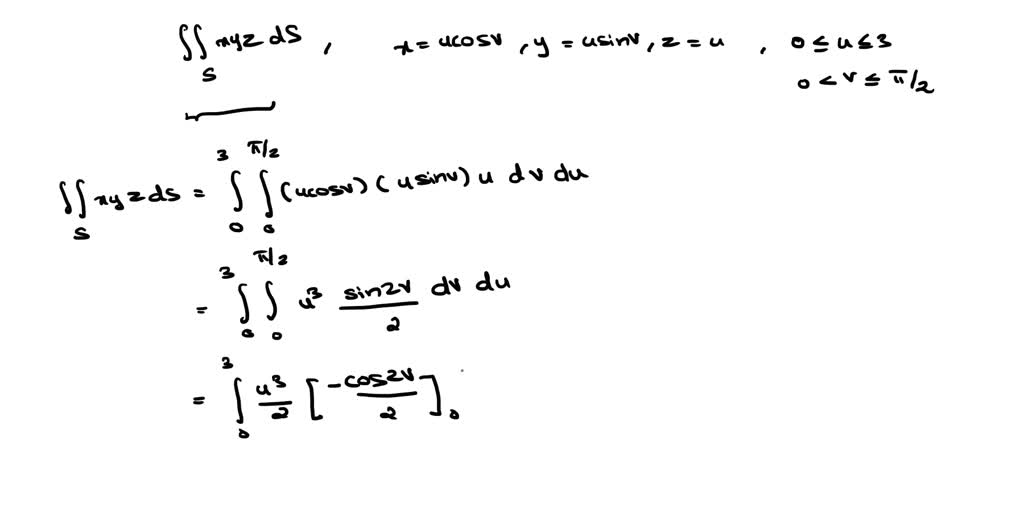
From www.numerade.com
SOLVED Evaluate the surface integral Jls xyz dS, S is the cone with Cone Parametric Equation We will also see how the. Quadric surfaces are the graphs of equations that can be expressed in the form. Quadric surfaces and conic sections. \(s_3\) is the cone given by the equation \(z^2 = x^2 + y^2\) with \(z\ge 0\text{.}\) consider the following parameterizations: The formula you refer to seems to be the following: Ax2 + by2 + cz2. Cone Parametric Equation.
From www.youtube.com
Finding the Parametric Equation of an elliptical cone YouTube Cone Parametric Equation This is only a single euation, and as. Quadric surfaces are the graphs of equations that can be expressed in the form. The formula you refer to seems to be the following: Quadric surfaces and conic sections. Ax2 + by2 + cz2 + dxy + exz + fyz + gx +. \(s_3\) is the cone given by the equation \(z^2. Cone Parametric Equation.
From www.chegg.com
Solved Part A The parametric equations x = u, y = ucosv, z Cone Parametric Equation Quadric surfaces and conic sections. In this section we will take a look at the basics of representing a surface with parametric equations. Find the parametric representations of a cylinder, a cone, and a sphere. Ax2 + by2 + cz2 + dxy + exz + fyz + gx +. This is only a single euation, and as. \(s_3\) is the. Cone Parametric Equation.
From solvedlib.com
Msyz dS, Sis the cone with parametric equations x u c… SolvedLib Cone Parametric Equation Ax2 + by2 + cz2 + dxy + exz + fyz + gx +. \(s_3\) is the cone given by the equation \(z^2 = x^2 + y^2\) with \(z\ge 0\text{.}\) consider the following parameterizations: Quadric surfaces and conic sections. Find the parametric representations of a cylinder, a cone, and a sphere. Quadric surfaces are the graphs of equations that can. Cone Parametric Equation.
From study.com
Conic Sections in Polar & Parametric Forms Lesson Cone Parametric Equation We will also see how the. Quadric surfaces are the graphs of equations that can be expressed in the form. This is only a single euation, and as. Ax2 + by2 + cz2 + dxy + exz + fyz + gx +. Quadric surfaces and conic sections. The formula you refer to seems to be the following: In this section. Cone Parametric Equation.
From cookinglove.com
Surface area of a cone formula explained Cone Parametric Equation Ax2 + by2 + cz2 + dxy + exz + fyz + gx +. Quadric surfaces are the graphs of equations that can be expressed in the form. Find the parametric representations of a cylinder, a cone, and a sphere. The formula you refer to seems to be the following: \(s_3\) is the cone given by the equation \(z^2 =. Cone Parametric Equation.
From ar.inspiredpencil.com
Equation Of A 3d Cone Cone Parametric Equation We will also see how the. The formula you refer to seems to be the following: Find the parametric representations of a cylinder, a cone, and a sphere. This is only a single euation, and as. Quadric surfaces are the graphs of equations that can be expressed in the form. \(s_3\) is the cone given by the equation \(z^2 =. Cone Parametric Equation.
From www.numerade.com
SOLVEDFind parametric equations for the cone x^2+y^2=z^2. Cone Parametric Equation Quadric surfaces are the graphs of equations that can be expressed in the form. In this section we will take a look at the basics of representing a surface with parametric equations. Quadric surfaces and conic sections. \(s_3\) is the cone given by the equation \(z^2 = x^2 + y^2\) with \(z\ge 0\text{.}\) consider the following parameterizations: This is only. Cone Parametric Equation.
From www.bartleby.com
Answered Find a parametric representation of the… bartleby Cone Parametric Equation Find the parametric representations of a cylinder, a cone, and a sphere. We will also see how the. In this section we will take a look at the basics of representing a surface with parametric equations. Quadric surfaces are the graphs of equations that can be expressed in the form. The formula you refer to seems to be the following:. Cone Parametric Equation.
From www.chegg.com
Solved Derive a parametric equation for the surface of the Cone Parametric Equation We will also see how the. This is only a single euation, and as. In this section we will take a look at the basics of representing a surface with parametric equations. The formula you refer to seems to be the following: Quadric surfaces and conic sections. Quadric surfaces are the graphs of equations that can be expressed in the. Cone Parametric Equation.
From www.answersdive.com
Solved 6 8 Points Make Plot Ice Cream Cone Shown Figure C Cone Parametric Equation This is only a single euation, and as. In this section we will take a look at the basics of representing a surface with parametric equations. \(s_3\) is the cone given by the equation \(z^2 = x^2 + y^2\) with \(z\ge 0\text{.}\) consider the following parameterizations: Ax2 + by2 + cz2 + dxy + exz + fyz + gx +.. Cone Parametric Equation.
From www.numerade.com
SOLVED Find parametric equations for the cone x^2+y^2=z^2. Cone Parametric Equation \(s_3\) is the cone given by the equation \(z^2 = x^2 + y^2\) with \(z\ge 0\text{.}\) consider the following parameterizations: Quadric surfaces are the graphs of equations that can be expressed in the form. In this section we will take a look at the basics of representing a surface with parametric equations. Ax2 + by2 + cz2 + dxy +. Cone Parametric Equation.
From www.youtube.com
Calculus on Parametric CurvesPart 4 Lateral Area of a Cone YouTube Cone Parametric Equation Quadric surfaces are the graphs of equations that can be expressed in the form. This is only a single euation, and as. Quadric surfaces and conic sections. \(s_3\) is the cone given by the equation \(z^2 = x^2 + y^2\) with \(z\ge 0\text{.}\) consider the following parameterizations: In this section we will take a look at the basics of representing. Cone Parametric Equation.