A Condenser (Heat Exchanger) Brings 1 Kg/S . A condenser (heat exchanger) brings 1 kg/s water flow at 10 kpa quality 0.86 to saturated liquid at 10 kpa, as shown in fig. For an insulated condenser, find the flow rate of cooling water. The cooling is done by lake water at 20. The water is brought from a high temperature to a low temperature. A condenser (heat exchanger) brings 1 kg/s water flow at 10 kpa from 300 degree c to saturated liquid at 10 kpa, as shown in fig. We have to equal 10 to 30 and 30 to 125.77. The author explains the flow rate of cooling water and the. We have a heat exchanger to solve these questions. A condenser (heat exchanger) brings 1 kg/s water flow at $10 \mathrm{kpa}$ from $300^{\circ} \mathrm{c}$ to saturated liquid at $10\mathrm{kpa},$ as shown. The cooling is done by lake water that comes back to the lake. 95 percent equals to 191.81,. A condenser (heat exchanger) brings 1 kg/s water flow at 10 kpa quality 95% to saturated liquid at 10 kpa.
from www.chegg.com
95 percent equals to 191.81,. The water is brought from a high temperature to a low temperature. For an insulated condenser, find the flow rate of cooling water. A condenser (heat exchanger) brings 1 kg/s water flow at 10 kpa quality 95% to saturated liquid at 10 kpa. We have a heat exchanger to solve these questions. The cooling is done by lake water at 20. A condenser (heat exchanger) brings 1 kg/s water flow at 10 kpa from 300 degree c to saturated liquid at 10 kpa, as shown in fig. A condenser (heat exchanger) brings 1 kg/s water flow at $10 \mathrm{kpa}$ from $300^{\circ} \mathrm{c}$ to saturated liquid at $10\mathrm{kpa},$ as shown. The cooling is done by lake water that comes back to the lake. A condenser (heat exchanger) brings 1 kg/s water flow at 10 kpa quality 0.86 to saturated liquid at 10 kpa, as shown in fig.
1. (20 points) A shellandtube heat exchanger (1
A Condenser (Heat Exchanger) Brings 1 Kg/S A condenser (heat exchanger) brings 1 kg/s water flow at 10 kpa from 300 degree c to saturated liquid at 10 kpa, as shown in fig. The cooling is done by lake water at 20. 95 percent equals to 191.81,. The cooling is done by lake water that comes back to the lake. A condenser (heat exchanger) brings 1 kg/s water flow at 10 kpa quality 0.86 to saturated liquid at 10 kpa, as shown in fig. The author explains the flow rate of cooling water and the. We have a heat exchanger to solve these questions. A condenser (heat exchanger) brings 1 kg/s water flow at 10 kpa from 300 degree c to saturated liquid at 10 kpa, as shown in fig. A condenser (heat exchanger) brings 1 kg/s water flow at 10 kpa quality 95% to saturated liquid at 10 kpa. A condenser (heat exchanger) brings 1 kg/s water flow at $10 \mathrm{kpa}$ from $300^{\circ} \mathrm{c}$ to saturated liquid at $10\mathrm{kpa},$ as shown. The water is brought from a high temperature to a low temperature. We have to equal 10 to 30 and 30 to 125.77. For an insulated condenser, find the flow rate of cooling water.
From www.chegg.com
Solved 9. A concentric tube heat exchanger for cooling A Condenser (Heat Exchanger) Brings 1 Kg/S A condenser (heat exchanger) brings 1 kg/s water flow at 10 kpa quality 95% to saturated liquid at 10 kpa. 95 percent equals to 191.81,. A condenser (heat exchanger) brings 1 kg/s water flow at 10 kpa quality 0.86 to saturated liquid at 10 kpa, as shown in fig. A condenser (heat exchanger) brings 1 kg/s water flow at $10. A Condenser (Heat Exchanger) Brings 1 Kg/S.
From www.chegg.com
Solved PLEASE WRITE CLEARLY AND NEATLY! PLEASE JUST SOLVE A Condenser (Heat Exchanger) Brings 1 Kg/S A condenser (heat exchanger) brings 1 kg/s water flow at 10 kpa from 300 degree c to saturated liquid at 10 kpa, as shown in fig. We have a heat exchanger to solve these questions. The cooling is done by lake water at 20. 95 percent equals to 191.81,. The cooling is done by lake water that comes back to. A Condenser (Heat Exchanger) Brings 1 Kg/S.
From www.coursehero.com
[Solved] . 7) A condenser (heat exchanger) brings 1 kg/s water flow at A Condenser (Heat Exchanger) Brings 1 Kg/S The cooling is done by lake water that comes back to the lake. We have a heat exchanger to solve these questions. A condenser (heat exchanger) brings 1 kg/s water flow at 10 kpa quality 0.86 to saturated liquid at 10 kpa, as shown in fig. The water is brought from a high temperature to a low temperature. We have. A Condenser (Heat Exchanger) Brings 1 Kg/S.
From www.nuclear-power.com
Calculation of Heat Exchanger A Condenser (Heat Exchanger) Brings 1 Kg/S For an insulated condenser, find the flow rate of cooling water. A condenser (heat exchanger) brings 1 kg/s water flow at 10 kpa quality 0.86 to saturated liquid at 10 kpa, as shown in fig. 95 percent equals to 191.81,. The water is brought from a high temperature to a low temperature. The author explains the flow rate of cooling. A Condenser (Heat Exchanger) Brings 1 Kg/S.
From www.chegg.com
Solved 2. A counterflow, concentric tube heat exchanger A Condenser (Heat Exchanger) Brings 1 Kg/S A condenser (heat exchanger) brings 1 kg/s water flow at 10 kpa from 300 degree c to saturated liquid at 10 kpa, as shown in fig. We have to equal 10 to 30 and 30 to 125.77. The author explains the flow rate of cooling water and the. We have a heat exchanger to solve these questions. 95 percent equals. A Condenser (Heat Exchanger) Brings 1 Kg/S.
From www.coursehero.com
[Solved] . 7) A condenser (heat exchanger) brings 1 kg/s water flow at A Condenser (Heat Exchanger) Brings 1 Kg/S A condenser (heat exchanger) brings 1 kg/s water flow at $10 \mathrm{kpa}$ from $300^{\circ} \mathrm{c}$ to saturated liquid at $10\mathrm{kpa},$ as shown. A condenser (heat exchanger) brings 1 kg/s water flow at 10 kpa quality 95% to saturated liquid at 10 kpa. We have to equal 10 to 30 and 30 to 125.77. We have a heat exchanger to solve. A Condenser (Heat Exchanger) Brings 1 Kg/S.
From www.chegg.com
Solved 6.83 A condenser (heat exchanger) brings 1kgs A Condenser (Heat Exchanger) Brings 1 Kg/S For an insulated condenser, find the flow rate of cooling water. 95 percent equals to 191.81,. We have to equal 10 to 30 and 30 to 125.77. The water is brought from a high temperature to a low temperature. The author explains the flow rate of cooling water and the. A condenser (heat exchanger) brings 1 kg/s water flow at. A Condenser (Heat Exchanger) Brings 1 Kg/S.
From www.numerade.com
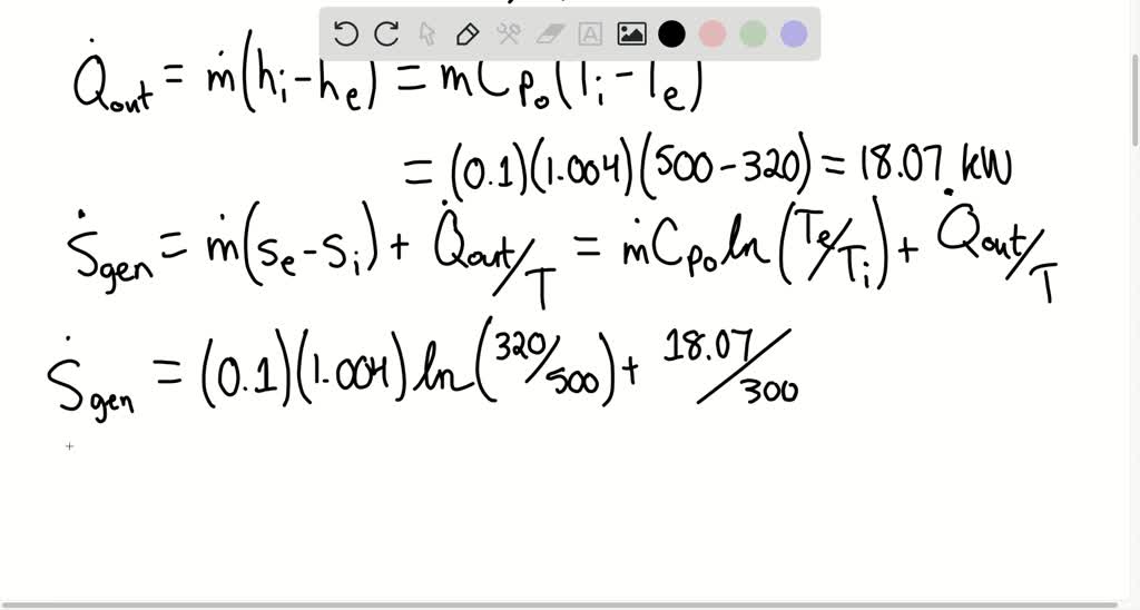
SOLVEDA heat exchanger that follows a compressor receives 0.1 kg / s A Condenser (Heat Exchanger) Brings 1 Kg/S The cooling is done by lake water that comes back to the lake. The author explains the flow rate of cooling water and the. A condenser (heat exchanger) brings 1 kg/s water flow at 10 kpa quality 95% to saturated liquid at 10 kpa. 95 percent equals to 191.81,. The cooling is done by lake water at 20. A condenser. A Condenser (Heat Exchanger) Brings 1 Kg/S.
From www.slideserve.com
PPT Chapter 3.2 Heat Exchanger Analysis Using NTU method A Condenser (Heat Exchanger) Brings 1 Kg/S We have to equal 10 to 30 and 30 to 125.77. 95 percent equals to 191.81,. A condenser (heat exchanger) brings 1 kg/s water flow at $10 \mathrm{kpa}$ from $300^{\circ} \mathrm{c}$ to saturated liquid at $10\mathrm{kpa},$ as shown. The author explains the flow rate of cooling water and the. For an insulated condenser, find the flow rate of cooling water.. A Condenser (Heat Exchanger) Brings 1 Kg/S.
From www.vrogue.co
Heat Transfer By Shell And Tube Heat Exchangers vrogue.co A Condenser (Heat Exchanger) Brings 1 Kg/S The author explains the flow rate of cooling water and the. For an insulated condenser, find the flow rate of cooling water. The cooling is done by lake water that comes back to the lake. The cooling is done by lake water at 20. A condenser (heat exchanger) brings 1 kg/s water flow at $10 \mathrm{kpa}$ from $300^{\circ} \mathrm{c}$ to. A Condenser (Heat Exchanger) Brings 1 Kg/S.
From infinitylearn.com
What is Condenser? Uses, Types, Functions, and Effects A Condenser (Heat Exchanger) Brings 1 Kg/S A condenser (heat exchanger) brings 1 kg/s water flow at $10 \mathrm{kpa}$ from $300^{\circ} \mathrm{c}$ to saturated liquid at $10\mathrm{kpa},$ as shown. The cooling is done by lake water that comes back to the lake. We have a heat exchanger to solve these questions. A condenser (heat exchanger) brings 1 kg/s water flow at 10 kpa from 300 degree c. A Condenser (Heat Exchanger) Brings 1 Kg/S.
From www.chegg.com
Solved The condenser of a large steam power plant is a heat A Condenser (Heat Exchanger) Brings 1 Kg/S The cooling is done by lake water that comes back to the lake. A condenser (heat exchanger) brings 1 kg/s water flow at 10 kpa quality 95% to saturated liquid at 10 kpa. The cooling is done by lake water at 20. A condenser (heat exchanger) brings 1 kg/s water flow at $10 \mathrm{kpa}$ from $300^{\circ} \mathrm{c}$ to saturated liquid. A Condenser (Heat Exchanger) Brings 1 Kg/S.
From www.vrogue.co
5 Types Of Heat Exchanger Definition Parts And Applic vrogue.co A Condenser (Heat Exchanger) Brings 1 Kg/S The cooling is done by lake water at 20. The water is brought from a high temperature to a low temperature. 95 percent equals to 191.81,. We have to equal 10 to 30 and 30 to 125.77. A condenser (heat exchanger) brings 1 kg/s water flow at 10 kpa from 300 degree c to saturated liquid at 10 kpa, as. A Condenser (Heat Exchanger) Brings 1 Kg/S.
From www.chegg.com
Solved Problem 1 (20 points) Given a condenser heat A Condenser (Heat Exchanger) Brings 1 Kg/S We have to equal 10 to 30 and 30 to 125.77. A condenser (heat exchanger) brings 1 kg/s water flow at 10 kpa from 300 degree c to saturated liquid at 10 kpa, as shown in fig. 95 percent equals to 191.81,. The author explains the flow rate of cooling water and the. We have a heat exchanger to solve. A Condenser (Heat Exchanger) Brings 1 Kg/S.
From www.iqsdirectory.com
Heat Exchanger What Is It? How Does It Work? Types Of A Condenser (Heat Exchanger) Brings 1 Kg/S A condenser (heat exchanger) brings 1 kg/s water flow at 10 kpa quality 0.86 to saturated liquid at 10 kpa, as shown in fig. The cooling is done by lake water that comes back to the lake. The water is brought from a high temperature to a low temperature. The cooling is done by lake water at 20. We have. A Condenser (Heat Exchanger) Brings 1 Kg/S.
From www.coursehero.com
[Solved] . 7) A condenser (heat exchanger) brings 1 kg/s water flow at A Condenser (Heat Exchanger) Brings 1 Kg/S The water is brought from a high temperature to a low temperature. We have a heat exchanger to solve these questions. The cooling is done by lake water at 20. For an insulated condenser, find the flow rate of cooling water. The author explains the flow rate of cooling water and the. The cooling is done by lake water that. A Condenser (Heat Exchanger) Brings 1 Kg/S.
From www.youtube.com
Heat Exchanger Mass Flow Rate YouTube A Condenser (Heat Exchanger) Brings 1 Kg/S The water is brought from a high temperature to a low temperature. For an insulated condenser, find the flow rate of cooling water. We have a heat exchanger to solve these questions. The author explains the flow rate of cooling water and the. The cooling is done by lake water at 20. A condenser (heat exchanger) brings 1 kg/s water. A Condenser (Heat Exchanger) Brings 1 Kg/S.
From www.studocu.com
Thermo I HW 05 Thermodynamics I Homework No. 1 A condenser (heat A Condenser (Heat Exchanger) Brings 1 Kg/S A condenser (heat exchanger) brings 1 kg/s water flow at $10 \mathrm{kpa}$ from $300^{\circ} \mathrm{c}$ to saturated liquid at $10\mathrm{kpa},$ as shown. A condenser (heat exchanger) brings 1 kg/s water flow at 10 kpa quality 95% to saturated liquid at 10 kpa. A condenser (heat exchanger) brings 1 kg/s water flow at 10 kpa from 300 degree c to saturated. A Condenser (Heat Exchanger) Brings 1 Kg/S.
From www.iqsdirectory.com
Heat Exchanger What Is It? How Does It Work? Types Of A Condenser (Heat Exchanger) Brings 1 Kg/S The water is brought from a high temperature to a low temperature. The cooling is done by lake water that comes back to the lake. 95 percent equals to 191.81,. For an insulated condenser, find the flow rate of cooling water. A condenser (heat exchanger) brings 1 kg/s water flow at 10 kpa from 300 degree c to saturated liquid. A Condenser (Heat Exchanger) Brings 1 Kg/S.
From www.numerade.com
SOLVEDA condenser, as in the heat exchanger shown in Fig. P 4.91 A Condenser (Heat Exchanger) Brings 1 Kg/S The water is brought from a high temperature to a low temperature. A condenser (heat exchanger) brings 1 kg/s water flow at 10 kpa quality 95% to saturated liquid at 10 kpa. We have to equal 10 to 30 and 30 to 125.77. A condenser (heat exchanger) brings 1 kg/s water flow at $10 \mathrm{kpa}$ from $300^{\circ} \mathrm{c}$ to saturated. A Condenser (Heat Exchanger) Brings 1 Kg/S.
From www.coursehero.com
[Solved] . 7) A condenser (heat exchanger) brings 1 kg/s water flow at A Condenser (Heat Exchanger) Brings 1 Kg/S The cooling is done by lake water at 20. The water is brought from a high temperature to a low temperature. A condenser (heat exchanger) brings 1 kg/s water flow at 10 kpa from 300 degree c to saturated liquid at 10 kpa, as shown in fig. 95 percent equals to 191.81,. A condenser (heat exchanger) brings 1 kg/s water. A Condenser (Heat Exchanger) Brings 1 Kg/S.
From www.youtube.com
A condenser heat exchanger brings 1 kg s water flow at 10 kPa quality A Condenser (Heat Exchanger) Brings 1 Kg/S The cooling is done by lake water that comes back to the lake. The author explains the flow rate of cooling water and the. The cooling is done by lake water at 20. For an insulated condenser, find the flow rate of cooling water. We have a heat exchanger to solve these questions. A condenser (heat exchanger) brings 1 kg/s. A Condenser (Heat Exchanger) Brings 1 Kg/S.
From www.slideserve.com
PPT Heat Exchangers PowerPoint Presentation, free download ID2291230 A Condenser (Heat Exchanger) Brings 1 Kg/S A condenser (heat exchanger) brings 1 kg/s water flow at 10 kpa quality 0.86 to saturated liquid at 10 kpa, as shown in fig. The water is brought from a high temperature to a low temperature. The author explains the flow rate of cooling water and the. The cooling is done by lake water that comes back to the lake.. A Condenser (Heat Exchanger) Brings 1 Kg/S.
From www.numerade.com
SOLVED Hot exhaust gases, which enter a finnedtube, crossflow heat A Condenser (Heat Exchanger) Brings 1 Kg/S For an insulated condenser, find the flow rate of cooling water. The cooling is done by lake water at 20. 95 percent equals to 191.81,. We have a heat exchanger to solve these questions. A condenser (heat exchanger) brings 1 kg/s water flow at 10 kpa from 300 degree c to saturated liquid at 10 kpa, as shown in fig.. A Condenser (Heat Exchanger) Brings 1 Kg/S.
From www.slideserve.com
PPT HEAT EXCHANGERS PowerPoint Presentation, free download ID1905891 A Condenser (Heat Exchanger) Brings 1 Kg/S 95 percent equals to 191.81,. The water is brought from a high temperature to a low temperature. The cooling is done by lake water that comes back to the lake. A condenser (heat exchanger) brings 1 kg/s water flow at $10 \mathrm{kpa}$ from $300^{\circ} \mathrm{c}$ to saturated liquid at $10\mathrm{kpa},$ as shown. A condenser (heat exchanger) brings 1 kg/s water. A Condenser (Heat Exchanger) Brings 1 Kg/S.
From www.coursehero.com
[Solved] . 7) A condenser (heat exchanger) brings 1 kg/s water flow at A Condenser (Heat Exchanger) Brings 1 Kg/S The water is brought from a high temperature to a low temperature. The cooling is done by lake water that comes back to the lake. The cooling is done by lake water at 20. A condenser (heat exchanger) brings 1 kg/s water flow at 10 kpa quality 0.86 to saturated liquid at 10 kpa, as shown in fig. A condenser. A Condenser (Heat Exchanger) Brings 1 Kg/S.
From www.coursehero.com
[Solved] . 7) A condenser (heat exchanger) brings 1 kg/s water flow at A Condenser (Heat Exchanger) Brings 1 Kg/S The cooling is done by lake water that comes back to the lake. A condenser (heat exchanger) brings 1 kg/s water flow at 10 kpa quality 95% to saturated liquid at 10 kpa. We have a heat exchanger to solve these questions. For an insulated condenser, find the flow rate of cooling water. A condenser (heat exchanger) brings 1 kg/s. A Condenser (Heat Exchanger) Brings 1 Kg/S.
From www.chegg.com
1. (20 points) A shellandtube heat exchanger (1 A Condenser (Heat Exchanger) Brings 1 Kg/S We have a heat exchanger to solve these questions. A condenser (heat exchanger) brings 1 kg/s water flow at 10 kpa quality 0.86 to saturated liquid at 10 kpa, as shown in fig. The cooling is done by lake water that comes back to the lake. The author explains the flow rate of cooling water and the. A condenser (heat. A Condenser (Heat Exchanger) Brings 1 Kg/S.
From www.coursehero.com
[Solved] . 7) A condenser (heat exchanger) brings 1 kg/s water flow at A Condenser (Heat Exchanger) Brings 1 Kg/S We have to equal 10 to 30 and 30 to 125.77. A condenser (heat exchanger) brings 1 kg/s water flow at 10 kpa quality 0.86 to saturated liquid at 10 kpa, as shown in fig. The cooling is done by lake water that comes back to the lake. We have a heat exchanger to solve these questions. A condenser (heat. A Condenser (Heat Exchanger) Brings 1 Kg/S.
From www.linquip.com
Heat Exchanger Parts The Advantages of Each Component A Condenser (Heat Exchanger) Brings 1 Kg/S A condenser (heat exchanger) brings 1 kg/s water flow at 10 kpa from 300 degree c to saturated liquid at 10 kpa, as shown in fig. The author explains the flow rate of cooling water and the. We have to equal 10 to 30 and 30 to 125.77. The water is brought from a high temperature to a low temperature.. A Condenser (Heat Exchanger) Brings 1 Kg/S.
From www.studocu.com
Heat Exchanger (Ft) Heat Exchanger(Ft) A 2shell passes and 4tube A Condenser (Heat Exchanger) Brings 1 Kg/S A condenser (heat exchanger) brings 1 kg/s water flow at 10 kpa quality 95% to saturated liquid at 10 kpa. The cooling is done by lake water at 20. We have to equal 10 to 30 and 30 to 125.77. The water is brought from a high temperature to a low temperature. The cooling is done by lake water that. A Condenser (Heat Exchanger) Brings 1 Kg/S.
From www.chegg.com
Solved Problem 6 (14 pts) The doublepipe heat exchanger A Condenser (Heat Exchanger) Brings 1 Kg/S The water is brought from a high temperature to a low temperature. A condenser (heat exchanger) brings 1 kg/s water flow at $10 \mathrm{kpa}$ from $300^{\circ} \mathrm{c}$ to saturated liquid at $10\mathrm{kpa},$ as shown. The author explains the flow rate of cooling water and the. A condenser (heat exchanger) brings 1 kg/s water flow at 10 kpa quality 0.86 to. A Condenser (Heat Exchanger) Brings 1 Kg/S.
From www.chegg.com
Solved A doublepipe parallelflow heat exchanger is to heat A Condenser (Heat Exchanger) Brings 1 Kg/S For an insulated condenser, find the flow rate of cooling water. The cooling is done by lake water that comes back to the lake. The cooling is done by lake water at 20. A condenser (heat exchanger) brings 1 kg/s water flow at 10 kpa from 300 degree c to saturated liquid at 10 kpa, as shown in fig. A. A Condenser (Heat Exchanger) Brings 1 Kg/S.
From engineeringlearn.com
3 Types of Condenser Introduction, Components, Working, Advantages A Condenser (Heat Exchanger) Brings 1 Kg/S A condenser (heat exchanger) brings 1 kg/s water flow at 10 kpa quality 0.86 to saturated liquid at 10 kpa, as shown in fig. A condenser (heat exchanger) brings 1 kg/s water flow at 10 kpa from 300 degree c to saturated liquid at 10 kpa, as shown in fig. The author explains the flow rate of cooling water and. A Condenser (Heat Exchanger) Brings 1 Kg/S.
From www.coursehero.com
[Solved] . 7) A condenser (heat exchanger) brings 1 kg/s water flow at A Condenser (Heat Exchanger) Brings 1 Kg/S 95 percent equals to 191.81,. The water is brought from a high temperature to a low temperature. A condenser (heat exchanger) brings 1 kg/s water flow at $10 \mathrm{kpa}$ from $300^{\circ} \mathrm{c}$ to saturated liquid at $10\mathrm{kpa},$ as shown. A condenser (heat exchanger) brings 1 kg/s water flow at 10 kpa from 300 degree c to saturated liquid at 10. A Condenser (Heat Exchanger) Brings 1 Kg/S.