Vhf Radio Range Calculator . These calculators help with unit conversions, vswr calculations, attenuator design, antenna design, radars, and various. An online vhf / uhf antenna line of sight distance calculator to calculate the station radio horizon and total line of sight distance. Online very high frequency /ultra high frequency line of sight calculator to calculate the range of electromagnetic transmission between two. The total line of sight distance is miles km. With the program available here, the expected range of vhf radiotelephony systems can be calculated. This calculator calculates the theoretical los and actual radio horizon (service range) of an antenna. Calculate the distance to the horizon from your antenna height on vhf/uhf bands. Vhf/uhf line of sight calculator. A series of rf calculators for radio frequency engineers. Antenna height of 1st station (asl) antenna height of 2nd station (asl) feet metres for the 1st station, the radio. Learn how antenna height, repeater location, and earth. Calculation of radio ranges in the vhf range.
from www.aviationfile.com
These calculators help with unit conversions, vswr calculations, attenuator design, antenna design, radars, and various. Learn how antenna height, repeater location, and earth. Calculate the distance to the horizon from your antenna height on vhf/uhf bands. A series of rf calculators for radio frequency engineers. The total line of sight distance is miles km. An online vhf / uhf antenna line of sight distance calculator to calculate the station radio horizon and total line of sight distance. Calculation of radio ranges in the vhf range. With the program available here, the expected range of vhf radiotelephony systems can be calculated. Online very high frequency /ultra high frequency line of sight calculator to calculate the range of electromagnetic transmission between two. Antenna height of 1st station (asl) antenna height of 2nd station (asl) feet metres for the 1st station, the radio.
What is VOR ? VHF OmniDirectional Radio Range
Vhf Radio Range Calculator Antenna height of 1st station (asl) antenna height of 2nd station (asl) feet metres for the 1st station, the radio. Vhf/uhf line of sight calculator. An online vhf / uhf antenna line of sight distance calculator to calculate the station radio horizon and total line of sight distance. Learn how antenna height, repeater location, and earth. Online very high frequency /ultra high frequency line of sight calculator to calculate the range of electromagnetic transmission between two. Antenna height of 1st station (asl) antenna height of 2nd station (asl) feet metres for the 1st station, the radio. Calculation of radio ranges in the vhf range. A series of rf calculators for radio frequency engineers. With the program available here, the expected range of vhf radiotelephony systems can be calculated. The total line of sight distance is miles km. Calculate the distance to the horizon from your antenna height on vhf/uhf bands. These calculators help with unit conversions, vswr calculations, attenuator design, antenna design, radars, and various. This calculator calculates the theoretical los and actual radio horizon (service range) of an antenna.
From www.epicumi.co
vhf frequency range chart rf frequency band chart Brapp Vhf Radio Range Calculator These calculators help with unit conversions, vswr calculations, attenuator design, antenna design, radars, and various. Online very high frequency /ultra high frequency line of sight calculator to calculate the range of electromagnetic transmission between two. This calculator calculates the theoretical los and actual radio horizon (service range) of an antenna. A series of rf calculators for radio frequency engineers. Learn. Vhf Radio Range Calculator.
From www.powdersafe.com.au
IC330GE VHF Marine Radio Vhf Radio Range Calculator Calculation of radio ranges in the vhf range. Antenna height of 1st station (asl) antenna height of 2nd station (asl) feet metres for the 1st station, the radio. The total line of sight distance is miles km. With the program available here, the expected range of vhf radiotelephony systems can be calculated. An online vhf / uhf antenna line of. Vhf Radio Range Calculator.
From marinedignity.com
Marine VHF radio frequency range How far it works Marine Dignity Vhf Radio Range Calculator Calculate the distance to the horizon from your antenna height on vhf/uhf bands. Calculation of radio ranges in the vhf range. Learn how antenna height, repeater location, and earth. Antenna height of 1st station (asl) antenna height of 2nd station (asl) feet metres for the 1st station, the radio. Online very high frequency /ultra high frequency line of sight calculator. Vhf Radio Range Calculator.
From collections.naturalsciences.org
UHF VHF Differences Between Two Way Radios Amerizon, 40 OFF Vhf Radio Range Calculator An online vhf / uhf antenna line of sight distance calculator to calculate the station radio horizon and total line of sight distance. Online very high frequency /ultra high frequency line of sight calculator to calculate the range of electromagnetic transmission between two. A series of rf calculators for radio frequency engineers. The total line of sight distance is miles. Vhf Radio Range Calculator.
From hamradioprep.com
The Range of Ham Radio A Guide to How Far You Can Talk Vhf Radio Range Calculator Calculation of radio ranges in the vhf range. Calculate the distance to the horizon from your antenna height on vhf/uhf bands. Online very high frequency /ultra high frequency line of sight calculator to calculate the range of electromagnetic transmission between two. Antenna height of 1st station (asl) antenna height of 2nd station (asl) feet metres for the 1st station, the. Vhf Radio Range Calculator.
From www.mrboats.com.au
Uniden UM355 VHF Marine Radio Handheld Splashproof Vhf Radio Range Calculator Calculation of radio ranges in the vhf range. With the program available here, the expected range of vhf radiotelephony systems can be calculated. Vhf/uhf line of sight calculator. Antenna height of 1st station (asl) antenna height of 2nd station (asl) feet metres for the 1st station, the radio. The total line of sight distance is miles km. This calculator calculates. Vhf Radio Range Calculator.
From www.pinterest.com
spectrum Radio band, Ham radio, Ham radio license Vhf Radio Range Calculator Online very high frequency /ultra high frequency line of sight calculator to calculate the range of electromagnetic transmission between two. This calculator calculates the theoretical los and actual radio horizon (service range) of an antenna. Calculate the distance to the horizon from your antenna height on vhf/uhf bands. These calculators help with unit conversions, vswr calculations, attenuator design, antenna design,. Vhf Radio Range Calculator.
From r4nautic.com
Radio VHF portátil ICM25 R4Nautic Vhf Radio Range Calculator Online very high frequency /ultra high frequency line of sight calculator to calculate the range of electromagnetic transmission between two. Calculation of radio ranges in the vhf range. The total line of sight distance is miles km. This calculator calculates the theoretical los and actual radio horizon (service range) of an antenna. Learn how antenna height, repeater location, and earth.. Vhf Radio Range Calculator.
From 3roam.com
HF Radio Range Calculator Vhf Radio Range Calculator With the program available here, the expected range of vhf radiotelephony systems can be calculated. Learn how antenna height, repeater location, and earth. The total line of sight distance is miles km. Vhf/uhf line of sight calculator. Antenna height of 1st station (asl) antenna height of 2nd station (asl) feet metres for the 1st station, the radio. These calculators help. Vhf Radio Range Calculator.
From www.victoriana.com
Kann ignoriert werden ich bin krank Industrie vhf radio range Vhf Radio Range Calculator Calculate the distance to the horizon from your antenna height on vhf/uhf bands. With the program available here, the expected range of vhf radiotelephony systems can be calculated. Learn how antenna height, repeater location, and earth. Calculation of radio ranges in the vhf range. Vhf/uhf line of sight calculator. These calculators help with unit conversions, vswr calculations, attenuator design, antenna. Vhf Radio Range Calculator.
From www.airport-suppliers.com
Introducing 8.33 kHz Airband VHF Radio Range Airport Suppliers Vhf Radio Range Calculator Vhf/uhf line of sight calculator. Learn how antenna height, repeater location, and earth. An online vhf / uhf antenna line of sight distance calculator to calculate the station radio horizon and total line of sight distance. Online very high frequency /ultra high frequency line of sight calculator to calculate the range of electromagnetic transmission between two. The total line of. Vhf Radio Range Calculator.
From 3roam.com
VHF Radio Range Calculator Vhf Radio Range Calculator The total line of sight distance is miles km. Online very high frequency /ultra high frequency line of sight calculator to calculate the range of electromagnetic transmission between two. This calculator calculates the theoretical los and actual radio horizon (service range) of an antenna. Vhf/uhf line of sight calculator. Learn how antenna height, repeater location, and earth. Calculate the distance. Vhf Radio Range Calculator.
From www.twowayradiocommunity.com
The differences between UHF and VHF, and what is the VHF frequency Vhf Radio Range Calculator The total line of sight distance is miles km. This calculator calculates the theoretical los and actual radio horizon (service range) of an antenna. With the program available here, the expected range of vhf radiotelephony systems can be calculated. Calculation of radio ranges in the vhf range. An online vhf / uhf antenna line of sight distance calculator to calculate. Vhf Radio Range Calculator.
From www.walkietalkiehub.com
UHF VHF Walkie Talkie Two Way Radio Vhf Radio Range Calculator Online very high frequency /ultra high frequency line of sight calculator to calculate the range of electromagnetic transmission between two. This calculator calculates the theoretical los and actual radio horizon (service range) of an antenna. Calculation of radio ranges in the vhf range. The total line of sight distance is miles km. A series of rf calculators for radio frequency. Vhf Radio Range Calculator.
From 3roam.com
Half Wave Dipole Antenna Length Calculator Vhf Radio Range Calculator An online vhf / uhf antenna line of sight distance calculator to calculate the station radio horizon and total line of sight distance. Calculation of radio ranges in the vhf range. Learn how antenna height, repeater location, and earth. With the program available here, the expected range of vhf radiotelephony systems can be calculated. The total line of sight distance. Vhf Radio Range Calculator.
From www.qsl.net
G0ISW Aircraft Vhf Radio Range Calculator An online vhf / uhf antenna line of sight distance calculator to calculate the station radio horizon and total line of sight distance. The total line of sight distance is miles km. Calculation of radio ranges in the vhf range. Online very high frequency /ultra high frequency line of sight calculator to calculate the range of electromagnetic transmission between two.. Vhf Radio Range Calculator.
From myoffroadradio.com
Ham Radio, UHF, VHF, Cell Phones, and Emergency Dispatch Frequencies Vhf Radio Range Calculator These calculators help with unit conversions, vswr calculations, attenuator design, antenna design, radars, and various. Calculation of radio ranges in the vhf range. Calculate the distance to the horizon from your antenna height on vhf/uhf bands. Online very high frequency /ultra high frequency line of sight calculator to calculate the range of electromagnetic transmission between two. Learn how antenna height,. Vhf Radio Range Calculator.
From www.numerade.com
SOLVED A VHF television station assigned to channel 28 transmits its Vhf Radio Range Calculator Online very high frequency /ultra high frequency line of sight calculator to calculate the range of electromagnetic transmission between two. These calculators help with unit conversions, vswr calculations, attenuator design, antenna design, radars, and various. This calculator calculates the theoretical los and actual radio horizon (service range) of an antenna. Calculate the distance to the horizon from your antenna height. Vhf Radio Range Calculator.
From www.safe-skipper.com
VHF DSC radio Vhf Radio Range Calculator An online vhf / uhf antenna line of sight distance calculator to calculate the station radio horizon and total line of sight distance. Calculation of radio ranges in the vhf range. This calculator calculates the theoretical los and actual radio horizon (service range) of an antenna. Vhf/uhf line of sight calculator. Online very high frequency /ultra high frequency line of. Vhf Radio Range Calculator.
From www.numerade.com
SOLVED A VHF television station assigned to channel transmits its Vhf Radio Range Calculator Vhf/uhf line of sight calculator. These calculators help with unit conversions, vswr calculations, attenuator design, antenna design, radars, and various. This calculator calculates the theoretical los and actual radio horizon (service range) of an antenna. Calculation of radio ranges in the vhf range. An online vhf / uhf antenna line of sight distance calculator to calculate the station radio horizon. Vhf Radio Range Calculator.
From www.victoriana.com
Kann ignoriert werden ich bin krank Industrie vhf radio range Vhf Radio Range Calculator Calculation of radio ranges in the vhf range. A series of rf calculators for radio frequency engineers. These calculators help with unit conversions, vswr calculations, attenuator design, antenna design, radars, and various. Online very high frequency /ultra high frequency line of sight calculator to calculate the range of electromagnetic transmission between two. Vhf/uhf line of sight calculator. Antenna height of. Vhf Radio Range Calculator.
From 3roam.com
VHF Dipole Antenna Length Calculator Vhf Radio Range Calculator Calculation of radio ranges in the vhf range. These calculators help with unit conversions, vswr calculations, attenuator design, antenna design, radars, and various. With the program available here, the expected range of vhf radiotelephony systems can be calculated. The total line of sight distance is miles km. An online vhf / uhf antenna line of sight distance calculator to calculate. Vhf Radio Range Calculator.
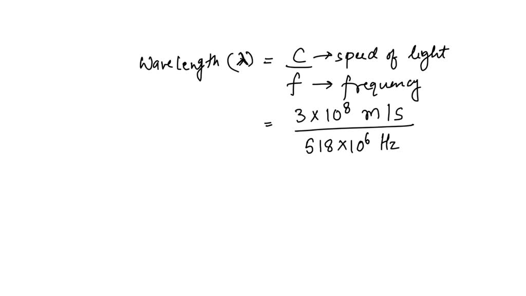
From www.numerade.com
SOLVED A VHF television station assigned to channel 18 transmits its Vhf Radio Range Calculator An online vhf / uhf antenna line of sight distance calculator to calculate the station radio horizon and total line of sight distance. This calculator calculates the theoretical los and actual radio horizon (service range) of an antenna. The total line of sight distance is miles km. Calculate the distance to the horizon from your antenna height on vhf/uhf bands.. Vhf Radio Range Calculator.
From www.pinterest.com
Slim Jim / J Pole Antenna Calculator Slim jims, Antenna, Ham radio Vhf Radio Range Calculator A series of rf calculators for radio frequency engineers. Vhf/uhf line of sight calculator. The total line of sight distance is miles km. This calculator calculates the theoretical los and actual radio horizon (service range) of an antenna. Antenna height of 1st station (asl) antenna height of 2nd station (asl) feet metres for the 1st station, the radio. With the. Vhf Radio Range Calculator.
From www.pinterest.es
GMRS Frequencies List from Vhf Radio Range Calculator This calculator calculates the theoretical los and actual radio horizon (service range) of an antenna. These calculators help with unit conversions, vswr calculations, attenuator design, antenna design, radars, and various. A series of rf calculators for radio frequency engineers. Calculation of radio ranges in the vhf range. Antenna height of 1st station (asl) antenna height of 2nd station (asl) feet. Vhf Radio Range Calculator.
From www.slideserve.com
PPT Avionics and Aircraft Systems PowerPoint Presentation, free Vhf Radio Range Calculator Learn how antenna height, repeater location, and earth. A series of rf calculators for radio frequency engineers. An online vhf / uhf antenna line of sight distance calculator to calculate the station radio horizon and total line of sight distance. Calculation of radio ranges in the vhf range. Antenna height of 1st station (asl) antenna height of 2nd station (asl). Vhf Radio Range Calculator.
From 3roam.com
Monopole Antenna Length Calculator (with Examples) Vhf Radio Range Calculator The total line of sight distance is miles km. Learn how antenna height, repeater location, and earth. With the program available here, the expected range of vhf radiotelephony systems can be calculated. These calculators help with unit conversions, vswr calculations, attenuator design, antenna design, radars, and various. This calculator calculates the theoretical los and actual radio horizon (service range) of. Vhf Radio Range Calculator.
From www.aviationfile.com
What is VOR ? VHF OmniDirectional Radio Range Vhf Radio Range Calculator These calculators help with unit conversions, vswr calculations, attenuator design, antenna design, radars, and various. A series of rf calculators for radio frequency engineers. This calculator calculates the theoretical los and actual radio horizon (service range) of an antenna. The total line of sight distance is miles km. Calculate the distance to the horizon from your antenna height on vhf/uhf. Vhf Radio Range Calculator.
From moonrakeronline.com
What’s The Difference Between HF, VHF and UHF? Vhf Radio Range Calculator With the program available here, the expected range of vhf radiotelephony systems can be calculated. Learn how antenna height, repeater location, and earth. Calculation of radio ranges in the vhf range. Vhf/uhf line of sight calculator. Calculate the distance to the horizon from your antenna height on vhf/uhf bands. These calculators help with unit conversions, vswr calculations, attenuator design, antenna. Vhf Radio Range Calculator.
From johnsonfrancis.org
What is a VHF/UHF Repeater in Amateur Radio? Johnson's Techworld Vhf Radio Range Calculator An online vhf / uhf antenna line of sight distance calculator to calculate the station radio horizon and total line of sight distance. Learn how antenna height, repeater location, and earth. Online very high frequency /ultra high frequency line of sight calculator to calculate the range of electromagnetic transmission between two. Calculate the distance to the horizon from your antenna. Vhf Radio Range Calculator.
From radiochoices.blogspot.com
Vhf Radio Range Calculator Radio Choices Vhf Radio Range Calculator The total line of sight distance is miles km. Vhf/uhf line of sight calculator. This calculator calculates the theoretical los and actual radio horizon (service range) of an antenna. An online vhf / uhf antenna line of sight distance calculator to calculate the station radio horizon and total line of sight distance. Learn how antenna height, repeater location, and earth.. Vhf Radio Range Calculator.
From musicscalechart.z28.web.core.windows.net
radio frequency range chart Radio frequency bands and applications Vhf Radio Range Calculator An online vhf / uhf antenna line of sight distance calculator to calculate the station radio horizon and total line of sight distance. Calculation of radio ranges in the vhf range. Antenna height of 1st station (asl) antenna height of 2nd station (asl) feet metres for the 1st station, the radio. Vhf/uhf line of sight calculator. Calculate the distance to. Vhf Radio Range Calculator.
From radiochoices.blogspot.com
Handheld Vhf Radio Range Radio Choices Vhf Radio Range Calculator Learn how antenna height, repeater location, and earth. Online very high frequency /ultra high frequency line of sight calculator to calculate the range of electromagnetic transmission between two. A series of rf calculators for radio frequency engineers. Antenna height of 1st station (asl) antenna height of 2nd station (asl) feet metres for the 1st station, the radio. An online vhf. Vhf Radio Range Calculator.
From www.victoriana.com
Kann ignoriert werden ich bin krank Industrie vhf radio range Vhf Radio Range Calculator This calculator calculates the theoretical los and actual radio horizon (service range) of an antenna. Calculation of radio ranges in the vhf range. A series of rf calculators for radio frequency engineers. Online very high frequency /ultra high frequency line of sight calculator to calculate the range of electromagnetic transmission between two. Learn how antenna height, repeater location, and earth.. Vhf Radio Range Calculator.
From www.youtube.com
How do HF, VHF, UHF, & Satellite Frequencies Affect Radio Wave Vhf Radio Range Calculator Antenna height of 1st station (asl) antenna height of 2nd station (asl) feet metres for the 1st station, the radio. The total line of sight distance is miles km. A series of rf calculators for radio frequency engineers. Vhf/uhf line of sight calculator. This calculator calculates the theoretical los and actual radio horizon (service range) of an antenna. An online. Vhf Radio Range Calculator.