Standard Enthalpy Of Formation So2 . This table lists the standard enthalpies (δh°), the free energies (δg°) of formation of compounds from elements in their standard states, and the. The standard enthalpy of formation is a measure of the energy released or consumed when one mole of a substance is created under standard. 136 rows standard enthalpy change of formation (data table) these tables include heat of formation data gathered from a variety of sources,. 193 rows in chemistry and thermodynamics, the standard enthalpy of formation or standard heat of formation of a compound is the change of. A standard enthalpy of formation \(δh^\circ_\ce{f}\) is an enthalpy change for a reaction in which exactly 1 mole of a pure.
from www.numerade.com
136 rows standard enthalpy change of formation (data table) these tables include heat of formation data gathered from a variety of sources,. A standard enthalpy of formation \(δh^\circ_\ce{f}\) is an enthalpy change for a reaction in which exactly 1 mole of a pure. 193 rows in chemistry and thermodynamics, the standard enthalpy of formation or standard heat of formation of a compound is the change of. This table lists the standard enthalpies (δh°), the free energies (δg°) of formation of compounds from elements in their standard states, and the. The standard enthalpy of formation is a measure of the energy released or consumed when one mole of a substance is created under standard.
SOLVEDUse standard molar enthalpies of formation in Appendix J to
Standard Enthalpy Of Formation So2 This table lists the standard enthalpies (δh°), the free energies (δg°) of formation of compounds from elements in their standard states, and the. A standard enthalpy of formation \(δh^\circ_\ce{f}\) is an enthalpy change for a reaction in which exactly 1 mole of a pure. 136 rows standard enthalpy change of formation (data table) these tables include heat of formation data gathered from a variety of sources,. This table lists the standard enthalpies (δh°), the free energies (δg°) of formation of compounds from elements in their standard states, and the. 193 rows in chemistry and thermodynamics, the standard enthalpy of formation or standard heat of formation of a compound is the change of. The standard enthalpy of formation is a measure of the energy released or consumed when one mole of a substance is created under standard.
From www.numerade.com
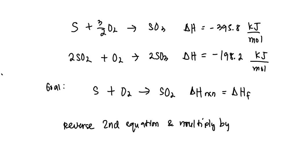
SOLVED Calculate the enthalpy of formation for sulfur dioxide, SO2 Standard Enthalpy Of Formation So2 193 rows in chemistry and thermodynamics, the standard enthalpy of formation or standard heat of formation of a compound is the change of. This table lists the standard enthalpies (δh°), the free energies (δg°) of formation of compounds from elements in their standard states, and the. A standard enthalpy of formation \(δh^\circ_\ce{f}\) is an enthalpy change for a reaction in. Standard Enthalpy Of Formation So2.
From www.chemistryspace.com
Standard Enthalpy of Formation Standard Enthalpy Of Formation So2 193 rows in chemistry and thermodynamics, the standard enthalpy of formation or standard heat of formation of a compound is the change of. 136 rows standard enthalpy change of formation (data table) these tables include heat of formation data gathered from a variety of sources,. The standard enthalpy of formation is a measure of the energy released or consumed when. Standard Enthalpy Of Formation So2.
From www.slideshare.net
Standard enthalpy of formation Standard Enthalpy Of Formation So2 193 rows in chemistry and thermodynamics, the standard enthalpy of formation or standard heat of formation of a compound is the change of. 136 rows standard enthalpy change of formation (data table) these tables include heat of formation data gathered from a variety of sources,. A standard enthalpy of formation \(δh^\circ_\ce{f}\) is an enthalpy change for a reaction in which. Standard Enthalpy Of Formation So2.
From byjus.com
21. At 300 K standard enthalpy of formation of C6H5COOH(s), CO2(g), and Standard Enthalpy Of Formation So2 This table lists the standard enthalpies (δh°), the free energies (δg°) of formation of compounds from elements in their standard states, and the. 193 rows in chemistry and thermodynamics, the standard enthalpy of formation or standard heat of formation of a compound is the change of. The standard enthalpy of formation is a measure of the energy released or consumed. Standard Enthalpy Of Formation So2.
From www.numerade.com
SOLVEDFrom the enthalpy of formation for CO2 and the following Standard Enthalpy Of Formation So2 This table lists the standard enthalpies (δh°), the free energies (δg°) of formation of compounds from elements in their standard states, and the. 136 rows standard enthalpy change of formation (data table) these tables include heat of formation data gathered from a variety of sources,. The standard enthalpy of formation is a measure of the energy released or consumed when. Standard Enthalpy Of Formation So2.
From www.numerade.com
SOLVEDUse standard heats of formation in Appendix L to calculate Standard Enthalpy Of Formation So2 The standard enthalpy of formation is a measure of the energy released or consumed when one mole of a substance is created under standard. A standard enthalpy of formation \(δh^\circ_\ce{f}\) is an enthalpy change for a reaction in which exactly 1 mole of a pure. This table lists the standard enthalpies (δh°), the free energies (δg°) of formation of compounds. Standard Enthalpy Of Formation So2.
From mungfali.com
Enthalpies Of Formation Chart Standard Enthalpy Of Formation So2 193 rows in chemistry and thermodynamics, the standard enthalpy of formation or standard heat of formation of a compound is the change of. 136 rows standard enthalpy change of formation (data table) these tables include heat of formation data gathered from a variety of sources,. The standard enthalpy of formation is a measure of the energy released or consumed when. Standard Enthalpy Of Formation So2.
From www.numerade.com
SOLVED A chemist measures the enthalpy change AH during the following Standard Enthalpy Of Formation So2 This table lists the standard enthalpies (δh°), the free energies (δg°) of formation of compounds from elements in their standard states, and the. 193 rows in chemistry and thermodynamics, the standard enthalpy of formation or standard heat of formation of a compound is the change of. A standard enthalpy of formation \(δh^\circ_\ce{f}\) is an enthalpy change for a reaction in. Standard Enthalpy Of Formation So2.
From www.chegg.com
Calculate The Enthalpy Of Formation Of SO2(g) From... Standard Enthalpy Of Formation So2 The standard enthalpy of formation is a measure of the energy released or consumed when one mole of a substance is created under standard. 193 rows in chemistry and thermodynamics, the standard enthalpy of formation or standard heat of formation of a compound is the change of. A standard enthalpy of formation \(δh^\circ_\ce{f}\) is an enthalpy change for a reaction. Standard Enthalpy Of Formation So2.
From www.chegg.com
Solved Calculate the enthalpy of formation of 1 mole SO2( g) Standard Enthalpy Of Formation So2 The standard enthalpy of formation is a measure of the energy released or consumed when one mole of a substance is created under standard. 136 rows standard enthalpy change of formation (data table) these tables include heat of formation data gathered from a variety of sources,. A standard enthalpy of formation \(δh^\circ_\ce{f}\) is an enthalpy change for a reaction in. Standard Enthalpy Of Formation So2.
From brainly.in
Enthalpy of formation of NO2, SO2, Co2, and NH3,are 33.18, 296, 393 Standard Enthalpy Of Formation So2 136 rows standard enthalpy change of formation (data table) these tables include heat of formation data gathered from a variety of sources,. 193 rows in chemistry and thermodynamics, the standard enthalpy of formation or standard heat of formation of a compound is the change of. A standard enthalpy of formation \(δh^\circ_\ce{f}\) is an enthalpy change for a reaction in which. Standard Enthalpy Of Formation So2.
From slideplayer.com
Spontanaity, Entropy, Enthalpy & Free Energy ppt download Standard Enthalpy Of Formation So2 136 rows standard enthalpy change of formation (data table) these tables include heat of formation data gathered from a variety of sources,. This table lists the standard enthalpies (δh°), the free energies (δg°) of formation of compounds from elements in their standard states, and the. 193 rows in chemistry and thermodynamics, the standard enthalpy of formation or standard heat of. Standard Enthalpy Of Formation So2.
From www.slideserve.com
PPT Standard Enthalpies of Formation PowerPoint Presentation, free Standard Enthalpy Of Formation So2 This table lists the standard enthalpies (δh°), the free energies (δg°) of formation of compounds from elements in their standard states, and the. 193 rows in chemistry and thermodynamics, the standard enthalpy of formation or standard heat of formation of a compound is the change of. A standard enthalpy of formation \(δh^\circ_\ce{f}\) is an enthalpy change for a reaction in. Standard Enthalpy Of Formation So2.
From www.slideserve.com
PPT Enthalpy of Formation PowerPoint Presentation, free download ID Standard Enthalpy Of Formation So2 193 rows in chemistry and thermodynamics, the standard enthalpy of formation or standard heat of formation of a compound is the change of. A standard enthalpy of formation \(δh^\circ_\ce{f}\) is an enthalpy change for a reaction in which exactly 1 mole of a pure. 136 rows standard enthalpy change of formation (data table) these tables include heat of formation data. Standard Enthalpy Of Formation So2.
From www.numerade.com
SOLVED Use the standard enthalpy of formation (ΔHf) values in Standard Enthalpy Of Formation So2 A standard enthalpy of formation \(δh^\circ_\ce{f}\) is an enthalpy change for a reaction in which exactly 1 mole of a pure. 193 rows in chemistry and thermodynamics, the standard enthalpy of formation or standard heat of formation of a compound is the change of. This table lists the standard enthalpies (δh°), the free energies (δg°) of formation of compounds from. Standard Enthalpy Of Formation So2.
From www.slideserve.com
PPT STANDARD MOLAR ENTHALPY OF FORMATION PowerPoint Presentation Standard Enthalpy Of Formation So2 136 rows standard enthalpy change of formation (data table) these tables include heat of formation data gathered from a variety of sources,. The standard enthalpy of formation is a measure of the energy released or consumed when one mole of a substance is created under standard. 193 rows in chemistry and thermodynamics, the standard enthalpy of formation or standard heat. Standard Enthalpy Of Formation So2.
From chemistryguru.com.sg
Compare Enthalpy Change of Formation of CO and CO2 Standard Enthalpy Of Formation So2 193 rows in chemistry and thermodynamics, the standard enthalpy of formation or standard heat of formation of a compound is the change of. 136 rows standard enthalpy change of formation (data table) these tables include heat of formation data gathered from a variety of sources,. This table lists the standard enthalpies (δh°), the free energies (δg°) of formation of compounds. Standard Enthalpy Of Formation So2.
From www.numerade.com
SOLVED ) Calculate the reaction enthalpy for the conversion of pyrite Standard Enthalpy Of Formation So2 This table lists the standard enthalpies (δh°), the free energies (δg°) of formation of compounds from elements in their standard states, and the. The standard enthalpy of formation is a measure of the energy released or consumed when one mole of a substance is created under standard. 136 rows standard enthalpy change of formation (data table) these tables include heat. Standard Enthalpy Of Formation So2.
From www.numerade.com
SOLVED The standard enthalpy change for the reaction SO2(g) + 1/2 O2(g Standard Enthalpy Of Formation So2 This table lists the standard enthalpies (δh°), the free energies (δg°) of formation of compounds from elements in their standard states, and the. 136 rows standard enthalpy change of formation (data table) these tables include heat of formation data gathered from a variety of sources,. A standard enthalpy of formation \(δh^\circ_\ce{f}\) is an enthalpy change for a reaction in which. Standard Enthalpy Of Formation So2.
From www.numerade.com
SOLVEDUse standard molar enthalpies of formation in Appendix J to Standard Enthalpy Of Formation So2 This table lists the standard enthalpies (δh°), the free energies (δg°) of formation of compounds from elements in their standard states, and the. The standard enthalpy of formation is a measure of the energy released or consumed when one mole of a substance is created under standard. 193 rows in chemistry and thermodynamics, the standard enthalpy of formation or standard. Standard Enthalpy Of Formation So2.
From chemistryguru.com.sg
Compare Enthalpy Change of Formation of CO and CO2 Standard Enthalpy Of Formation So2 136 rows standard enthalpy change of formation (data table) these tables include heat of formation data gathered from a variety of sources,. This table lists the standard enthalpies (δh°), the free energies (δg°) of formation of compounds from elements in their standard states, and the. 193 rows in chemistry and thermodynamics, the standard enthalpy of formation or standard heat of. Standard Enthalpy Of Formation So2.
From www.numerade.com
SOLVEDCalculate the standard enthalpy of formation of SO2(g) from the Standard Enthalpy Of Formation So2 A standard enthalpy of formation \(δh^\circ_\ce{f}\) is an enthalpy change for a reaction in which exactly 1 mole of a pure. 193 rows in chemistry and thermodynamics, the standard enthalpy of formation or standard heat of formation of a compound is the change of. The standard enthalpy of formation is a measure of the energy released or consumed when one. Standard Enthalpy Of Formation So2.
From slideplayer.com
Chapter 4 Thermochemistry. ppt download Standard Enthalpy Of Formation So2 The standard enthalpy of formation is a measure of the energy released or consumed when one mole of a substance is created under standard. 136 rows standard enthalpy change of formation (data table) these tables include heat of formation data gathered from a variety of sources,. 193 rows in chemistry and thermodynamics, the standard enthalpy of formation or standard heat. Standard Enthalpy Of Formation So2.
From general.chemistrysteps.com
Standard Enthalpies of Formation Chemistry Steps Standard Enthalpy Of Formation So2 A standard enthalpy of formation \(δh^\circ_\ce{f}\) is an enthalpy change for a reaction in which exactly 1 mole of a pure. 136 rows standard enthalpy change of formation (data table) these tables include heat of formation data gathered from a variety of sources,. This table lists the standard enthalpies (δh°), the free energies (δg°) of formation of compounds from elements. Standard Enthalpy Of Formation So2.
From www.numerade.com
SOLVED Use standard enthalpies of formation to calculate the standard Standard Enthalpy Of Formation So2 193 rows in chemistry and thermodynamics, the standard enthalpy of formation or standard heat of formation of a compound is the change of. 136 rows standard enthalpy change of formation (data table) these tables include heat of formation data gathered from a variety of sources,. A standard enthalpy of formation \(δh^\circ_\ce{f}\) is an enthalpy change for a reaction in which. Standard Enthalpy Of Formation So2.
From www.numerade.com
SOLVED Using the standard enthalpies of formation found in the Standard Enthalpy Of Formation So2 This table lists the standard enthalpies (δh°), the free energies (δg°) of formation of compounds from elements in their standard states, and the. A standard enthalpy of formation \(δh^\circ_\ce{f}\) is an enthalpy change for a reaction in which exactly 1 mole of a pure. 136 rows standard enthalpy change of formation (data table) these tables include heat of formation data. Standard Enthalpy Of Formation So2.
From www.youtube.com
Enthalpy of combustion of carbon to CO2 is 393.5KJ mol1. Calculate Standard Enthalpy Of Formation So2 A standard enthalpy of formation \(δh^\circ_\ce{f}\) is an enthalpy change for a reaction in which exactly 1 mole of a pure. 193 rows in chemistry and thermodynamics, the standard enthalpy of formation or standard heat of formation of a compound is the change of. This table lists the standard enthalpies (δh°), the free energies (δg°) of formation of compounds from. Standard Enthalpy Of Formation So2.
From www.numerade.com
Consider the following reaction 2 H2S (g) + 3 O2 (g) → 2 SO2 (g) + 2 Standard Enthalpy Of Formation So2 193 rows in chemistry and thermodynamics, the standard enthalpy of formation or standard heat of formation of a compound is the change of. This table lists the standard enthalpies (δh°), the free energies (δg°) of formation of compounds from elements in their standard states, and the. The standard enthalpy of formation is a measure of the energy released or consumed. Standard Enthalpy Of Formation So2.
From www.numerade.com
SOLVED Using Standard Enthalpy of Formation Enthalpy Test (all Standard Enthalpy Of Formation So2 193 rows in chemistry and thermodynamics, the standard enthalpy of formation or standard heat of formation of a compound is the change of. A standard enthalpy of formation \(δh^\circ_\ce{f}\) is an enthalpy change for a reaction in which exactly 1 mole of a pure. The standard enthalpy of formation is a measure of the energy released or consumed when one. Standard Enthalpy Of Formation So2.
From www.slideserve.com
PPT Example using enthalpy of combustion and formation PowerPoint Standard Enthalpy Of Formation So2 The standard enthalpy of formation is a measure of the energy released or consumed when one mole of a substance is created under standard. A standard enthalpy of formation \(δh^\circ_\ce{f}\) is an enthalpy change for a reaction in which exactly 1 mole of a pure. 136 rows standard enthalpy change of formation (data table) these tables include heat of formation. Standard Enthalpy Of Formation So2.
From www.chegg.com
Solved Use the standard enthalpies of formation in the table Standard Enthalpy Of Formation So2 This table lists the standard enthalpies (δh°), the free energies (δg°) of formation of compounds from elements in their standard states, and the. 136 rows standard enthalpy change of formation (data table) these tables include heat of formation data gathered from a variety of sources,. The standard enthalpy of formation is a measure of the energy released or consumed when. Standard Enthalpy Of Formation So2.
From slideplayer.com
Chapter 4 Thermochemistry. ppt download Standard Enthalpy Of Formation So2 This table lists the standard enthalpies (δh°), the free energies (δg°) of formation of compounds from elements in their standard states, and the. A standard enthalpy of formation \(δh^\circ_\ce{f}\) is an enthalpy change for a reaction in which exactly 1 mole of a pure. 193 rows in chemistry and thermodynamics, the standard enthalpy of formation or standard heat of formation. Standard Enthalpy Of Formation So2.
From www.pinterest.com
Enthalpies of Formation Chemsitry Tutorial Science chemistry Standard Enthalpy Of Formation So2 A standard enthalpy of formation \(δh^\circ_\ce{f}\) is an enthalpy change for a reaction in which exactly 1 mole of a pure. 136 rows standard enthalpy change of formation (data table) these tables include heat of formation data gathered from a variety of sources,. This table lists the standard enthalpies (δh°), the free energies (δg°) of formation of compounds from elements. Standard Enthalpy Of Formation So2.
From www.chegg.com
Solved Using the table of standard enthalpies of formation Standard Enthalpy Of Formation So2 136 rows standard enthalpy change of formation (data table) these tables include heat of formation data gathered from a variety of sources,. The standard enthalpy of formation is a measure of the energy released or consumed when one mole of a substance is created under standard. This table lists the standard enthalpies (δh°), the free energies (δg°) of formation of. Standard Enthalpy Of Formation So2.
From www.toppr.com
The standard enthalpies of formation of CO2(g), H2O(l) and glucose (s Standard Enthalpy Of Formation So2 The standard enthalpy of formation is a measure of the energy released or consumed when one mole of a substance is created under standard. 193 rows in chemistry and thermodynamics, the standard enthalpy of formation or standard heat of formation of a compound is the change of. A standard enthalpy of formation \(δh^\circ_\ce{f}\) is an enthalpy change for a reaction. Standard Enthalpy Of Formation So2.