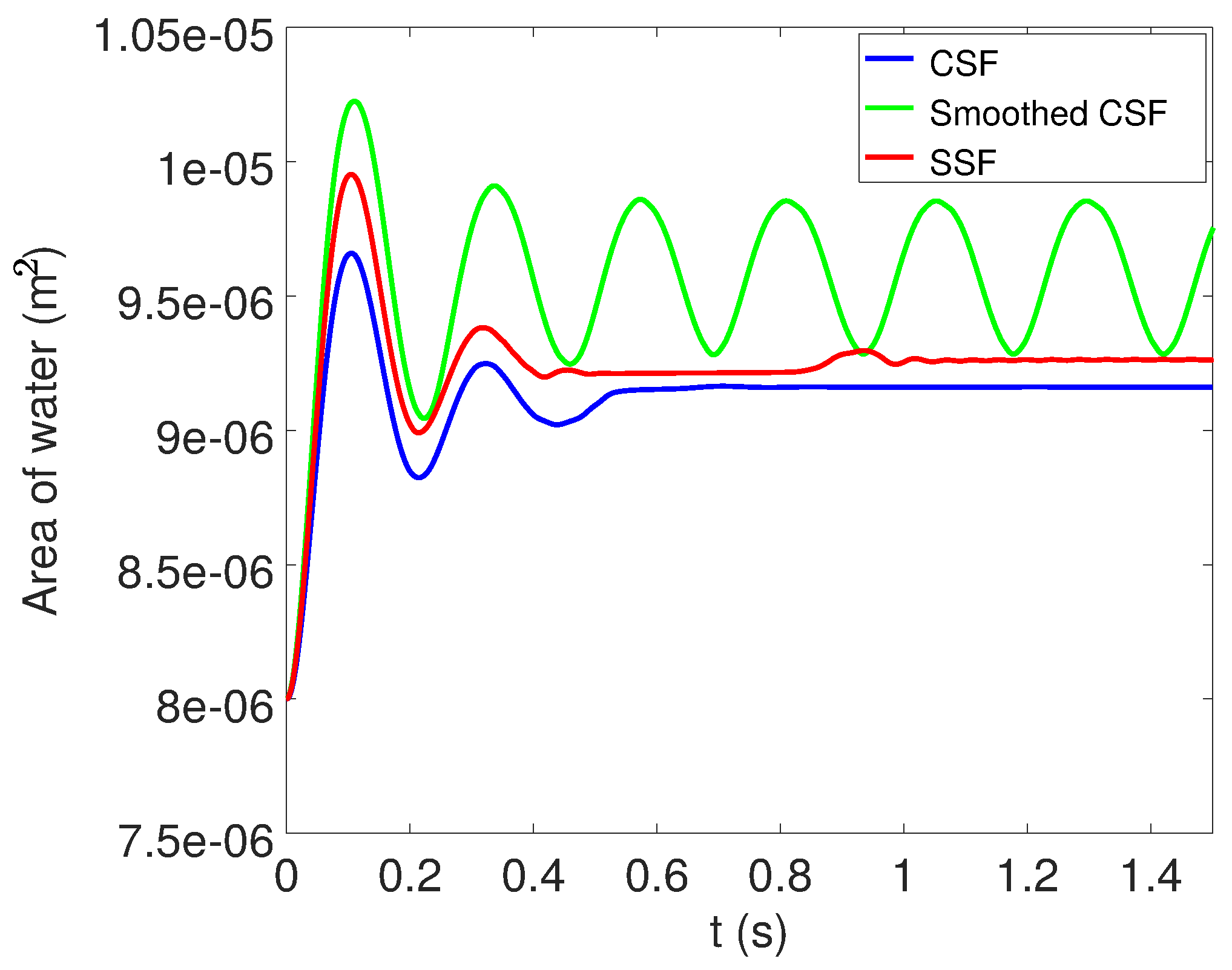
Surface Tension Comparison . Pairwise force model for surface tension To the best of the authors’ knowledge, a recent study by yamamoto et al. 2 (and more so in the video link) where water wrung. Psfor different substances is a comparison of molecular volumes at temperatures at which liquids have the same surface tension p = 0.78 Is the only one of its kind where different surface tension models. This is even observable in the zero gravity conditions of space as shown in figure 11.4.2 11.4. One of the problems with the csf model is the mismatch in the discretization of the pressure and the surface tension.
from studiousguy.com
This is even observable in the zero gravity conditions of space as shown in figure 11.4.2 11.4. Psfor different substances is a comparison of molecular volumes at temperatures at which liquids have the same surface tension p = 0.78 2 (and more so in the video link) where water wrung. Pairwise force model for surface tension One of the problems with the csf model is the mismatch in the discretization of the pressure and the surface tension. Is the only one of its kind where different surface tension models. To the best of the authors’ knowledge, a recent study by yamamoto et al.
10 Surface Tension Examples in Daily Life StudiousGuy
Surface Tension Comparison One of the problems with the csf model is the mismatch in the discretization of the pressure and the surface tension. This is even observable in the zero gravity conditions of space as shown in figure 11.4.2 11.4. 2 (and more so in the video link) where water wrung. Psfor different substances is a comparison of molecular volumes at temperatures at which liquids have the same surface tension p = 0.78 To the best of the authors’ knowledge, a recent study by yamamoto et al. Is the only one of its kind where different surface tension models. Pairwise force model for surface tension One of the problems with the csf model is the mismatch in the discretization of the pressure and the surface tension.
From www.mdpi.com
Liquids Free FullText Correlation of Surface Tension of Mono Surface Tension Comparison To the best of the authors’ knowledge, a recent study by yamamoto et al. 2 (and more so in the video link) where water wrung. Is the only one of its kind where different surface tension models. This is even observable in the zero gravity conditions of space as shown in figure 11.4.2 11.4. Pairwise force model for surface tension. Surface Tension Comparison.
From www.researchgate.net
a) Surface tension of various common liquids in air are compared with Surface Tension Comparison Is the only one of its kind where different surface tension models. 2 (and more so in the video link) where water wrung. One of the problems with the csf model is the mismatch in the discretization of the pressure and the surface tension. This is even observable in the zero gravity conditions of space as shown in figure 11.4.2. Surface Tension Comparison.
From www.slideserve.com
PPT Surface Tension PowerPoint Presentation, free download ID3106425 Surface Tension Comparison Pairwise force model for surface tension 2 (and more so in the video link) where water wrung. Is the only one of its kind where different surface tension models. One of the problems with the csf model is the mismatch in the discretization of the pressure and the surface tension. This is even observable in the zero gravity conditions of. Surface Tension Comparison.
From funsizephysics.com
What is Surface Tension? FunsizePhysics Surface Tension Comparison Pairwise force model for surface tension One of the problems with the csf model is the mismatch in the discretization of the pressure and the surface tension. Psfor different substances is a comparison of molecular volumes at temperatures at which liquids have the same surface tension p = 0.78 To the best of the authors’ knowledge, a recent study by. Surface Tension Comparison.
From techblog.ctgclean.com
What is Surface Tension? CTG Technical Blog Surface Tension Comparison One of the problems with the csf model is the mismatch in the discretization of the pressure and the surface tension. 2 (and more so in the video link) where water wrung. To the best of the authors’ knowledge, a recent study by yamamoto et al. Pairwise force model for surface tension Psfor different substances is a comparison of molecular. Surface Tension Comparison.
From www.researchgate.net
Schematic illustration of standard methods of surface tension Surface Tension Comparison 2 (and more so in the video link) where water wrung. Psfor different substances is a comparison of molecular volumes at temperatures at which liquids have the same surface tension p = 0.78 To the best of the authors’ knowledge, a recent study by yamamoto et al. Pairwise force model for surface tension Is the only one of its kind. Surface Tension Comparison.
From www.studocu.com
Surface Tension Comparison The results indicate that surface tension Surface Tension Comparison This is even observable in the zero gravity conditions of space as shown in figure 11.4.2 11.4. Pairwise force model for surface tension 2 (and more so in the video link) where water wrung. Psfor different substances is a comparison of molecular volumes at temperatures at which liquids have the same surface tension p = 0.78 Is the only one. Surface Tension Comparison.
From fphoto.photoshelter.com
science chemistry surface tension Fundamental Photographs The Art Surface Tension Comparison 2 (and more so in the video link) where water wrung. This is even observable in the zero gravity conditions of space as shown in figure 11.4.2 11.4. Psfor different substances is a comparison of molecular volumes at temperatures at which liquids have the same surface tension p = 0.78 To the best of the authors’ knowledge, a recent study. Surface Tension Comparison.
From www.geeksforgeeks.org
Surface Tension Definition, Formula, Causes, Examples, and FAQs Surface Tension Comparison To the best of the authors’ knowledge, a recent study by yamamoto et al. Is the only one of its kind where different surface tension models. Psfor different substances is a comparison of molecular volumes at temperatures at which liquids have the same surface tension p = 0.78 One of the problems with the csf model is the mismatch in. Surface Tension Comparison.
From www.researchgate.net
Schematic illustration of standard methods of surface tension Surface Tension Comparison Psfor different substances is a comparison of molecular volumes at temperatures at which liquids have the same surface tension p = 0.78 Pairwise force model for surface tension To the best of the authors’ knowledge, a recent study by yamamoto et al. One of the problems with the csf model is the mismatch in the discretization of the pressure and. Surface Tension Comparison.
From depositphotos.com
Surface tension explanation vector illustration diagram Stock Vector Surface Tension Comparison Pairwise force model for surface tension 2 (and more so in the video link) where water wrung. One of the problems with the csf model is the mismatch in the discretization of the pressure and the surface tension. Is the only one of its kind where different surface tension models. To the best of the authors’ knowledge, a recent study. Surface Tension Comparison.
From readchemistry.com
Determination of Surface Tension Read Chemistry Surface Tension Comparison This is even observable in the zero gravity conditions of space as shown in figure 11.4.2 11.4. One of the problems with the csf model is the mismatch in the discretization of the pressure and the surface tension. Psfor different substances is a comparison of molecular volumes at temperatures at which liquids have the same surface tension p = 0.78. Surface Tension Comparison.
From www.mdpi.com
Processes Free FullText Comparison of Surface Tension Models for Surface Tension Comparison This is even observable in the zero gravity conditions of space as shown in figure 11.4.2 11.4. 2 (and more so in the video link) where water wrung. Psfor different substances is a comparison of molecular volumes at temperatures at which liquids have the same surface tension p = 0.78 Pairwise force model for surface tension One of the problems. Surface Tension Comparison.
From www.scienceabc.com
Surface Tension Definition, Explanation, Examples And Significance Surface Tension Comparison To the best of the authors’ knowledge, a recent study by yamamoto et al. Psfor different substances is a comparison of molecular volumes at temperatures at which liquids have the same surface tension p = 0.78 2 (and more so in the video link) where water wrung. One of the problems with the csf model is the mismatch in the. Surface Tension Comparison.
From joiyoxspq.blob.core.windows.net
Surface Tension Of Value at Dianne Lauber blog Surface Tension Comparison Is the only one of its kind where different surface tension models. 2 (and more so in the video link) where water wrung. One of the problems with the csf model is the mismatch in the discretization of the pressure and the surface tension. To the best of the authors’ knowledge, a recent study by yamamoto et al. This is. Surface Tension Comparison.
From exolmohec.blob.core.windows.net
How Does Water Have High Surface Tension at Shelton Nicholson blog Surface Tension Comparison 2 (and more so in the video link) where water wrung. Is the only one of its kind where different surface tension models. One of the problems with the csf model is the mismatch in the discretization of the pressure and the surface tension. Psfor different substances is a comparison of molecular volumes at temperatures at which liquids have the. Surface Tension Comparison.
From studiousguy.com
10 Surface Tension Examples in Daily Life StudiousGuy Surface Tension Comparison One of the problems with the csf model is the mismatch in the discretization of the pressure and the surface tension. This is even observable in the zero gravity conditions of space as shown in figure 11.4.2 11.4. Pairwise force model for surface tension 2 (and more so in the video link) where water wrung. Psfor different substances is a. Surface Tension Comparison.
From study.com
Surface Tension Definition, Calculation & Examples Video & Lesson Surface Tension Comparison Is the only one of its kind where different surface tension models. 2 (and more so in the video link) where water wrung. To the best of the authors’ knowledge, a recent study by yamamoto et al. One of the problems with the csf model is the mismatch in the discretization of the pressure and the surface tension. Pairwise force. Surface Tension Comparison.
From www.youtube.com
Surface Tension on the basis of Molecular theory YouTube Surface Tension Comparison Psfor different substances is a comparison of molecular volumes at temperatures at which liquids have the same surface tension p = 0.78 2 (and more so in the video link) where water wrung. One of the problems with the csf model is the mismatch in the discretization of the pressure and the surface tension. This is even observable in the. Surface Tension Comparison.
From byjus.com
Explain the surface tension phenomenon with examples. Surface Tension Comparison Is the only one of its kind where different surface tension models. To the best of the authors’ knowledge, a recent study by yamamoto et al. Pairwise force model for surface tension 2 (and more so in the video link) where water wrung. This is even observable in the zero gravity conditions of space as shown in figure 11.4.2 11.4.. Surface Tension Comparison.
From inspiritvr.com
Surface Tension Study Guide Inspirit Learning Inc Surface Tension Comparison Pairwise force model for surface tension Psfor different substances is a comparison of molecular volumes at temperatures at which liquids have the same surface tension p = 0.78 To the best of the authors’ knowledge, a recent study by yamamoto et al. This is even observable in the zero gravity conditions of space as shown in figure 11.4.2 11.4. 2. Surface Tension Comparison.
From www.expii.com
Surface Tension of Water — Overview & Importance Expii Surface Tension Comparison Pairwise force model for surface tension One of the problems with the csf model is the mismatch in the discretization of the pressure and the surface tension. Is the only one of its kind where different surface tension models. To the best of the authors’ knowledge, a recent study by yamamoto et al. 2 (and more so in the video. Surface Tension Comparison.
From www.semanticscholar.org
Table 2 from Critical surface tension for spreading on a liquid Surface Tension Comparison One of the problems with the csf model is the mismatch in the discretization of the pressure and the surface tension. This is even observable in the zero gravity conditions of space as shown in figure 11.4.2 11.4. 2 (and more so in the video link) where water wrung. Is the only one of its kind where different surface tension. Surface Tension Comparison.
From blog.biolinscientific.com
What is surface tension? Surface Tension Comparison Pairwise force model for surface tension One of the problems with the csf model is the mismatch in the discretization of the pressure and the surface tension. This is even observable in the zero gravity conditions of space as shown in figure 11.4.2 11.4. 2 (and more so in the video link) where water wrung. Is the only one of. Surface Tension Comparison.
From www.thoughtco.com
What Is Surface Tension? Definition and Experiments Surface Tension Comparison Psfor different substances is a comparison of molecular volumes at temperatures at which liquids have the same surface tension p = 0.78 To the best of the authors’ knowledge, a recent study by yamamoto et al. This is even observable in the zero gravity conditions of space as shown in figure 11.4.2 11.4. One of the problems with the csf. Surface Tension Comparison.
From www.researchgate.net
Plots of surface tension versus concentration of surfactants (a Surface Tension Comparison Psfor different substances is a comparison of molecular volumes at temperatures at which liquids have the same surface tension p = 0.78 This is even observable in the zero gravity conditions of space as shown in figure 11.4.2 11.4. One of the problems with the csf model is the mismatch in the discretization of the pressure and the surface tension.. Surface Tension Comparison.
From www.sciencefacts.net
Surface Tension Definition, Examples, and Unit Surface Tension Comparison Pairwise force model for surface tension To the best of the authors’ knowledge, a recent study by yamamoto et al. Psfor different substances is a comparison of molecular volumes at temperatures at which liquids have the same surface tension p = 0.78 Is the only one of its kind where different surface tension models. This is even observable in the. Surface Tension Comparison.
From www.biolinscientific.com
3 ways to measure surface tension Surface Tension Comparison To the best of the authors’ knowledge, a recent study by yamamoto et al. Psfor different substances is a comparison of molecular volumes at temperatures at which liquids have the same surface tension p = 0.78 2 (and more so in the video link) where water wrung. This is even observable in the zero gravity conditions of space as shown. Surface Tension Comparison.
From byjus.com
On what factor does the magnitude of the surface tension of a liquid Surface Tension Comparison This is even observable in the zero gravity conditions of space as shown in figure 11.4.2 11.4. One of the problems with the csf model is the mismatch in the discretization of the pressure and the surface tension. Is the only one of its kind where different surface tension models. To the best of the authors’ knowledge, a recent study. Surface Tension Comparison.
From chemistnotes.com
Surface Tension Definition, Units, Epic Examples, Effects, and Surface Tension Comparison To the best of the authors’ knowledge, a recent study by yamamoto et al. One of the problems with the csf model is the mismatch in the discretization of the pressure and the surface tension. Psfor different substances is a comparison of molecular volumes at temperatures at which liquids have the same surface tension p = 0.78 Is the only. Surface Tension Comparison.
From courses.lumenlearning.com
Surface Tension Introduction to Chemistry Surface Tension Comparison Psfor different substances is a comparison of molecular volumes at temperatures at which liquids have the same surface tension p = 0.78 Is the only one of its kind where different surface tension models. 2 (and more so in the video link) where water wrung. Pairwise force model for surface tension To the best of the authors’ knowledge, a recent. Surface Tension Comparison.
From www.aakash.ac.in
Surface Tension Definition, Causes, Measurement & Formula AESL Surface Tension Comparison Is the only one of its kind where different surface tension models. 2 (and more so in the video link) where water wrung. Psfor different substances is a comparison of molecular volumes at temperatures at which liquids have the same surface tension p = 0.78 Pairwise force model for surface tension This is even observable in the zero gravity conditions. Surface Tension Comparison.
From chemistnotes.com
Surface Tension Definition, Units, Epic Examples, Effects, and Surface Tension Comparison To the best of the authors’ knowledge, a recent study by yamamoto et al. 2 (and more so in the video link) where water wrung. Psfor different substances is a comparison of molecular volumes at temperatures at which liquids have the same surface tension p = 0.78 Pairwise force model for surface tension This is even observable in the zero. Surface Tension Comparison.
From www.thoughtco.com
Surface Tension Definition in Chemistry Surface Tension Comparison Is the only one of its kind where different surface tension models. Psfor different substances is a comparison of molecular volumes at temperatures at which liquids have the same surface tension p = 0.78 One of the problems with the csf model is the mismatch in the discretization of the pressure and the surface tension. 2 (and more so in. Surface Tension Comparison.
From www.worksheetsplanet.com
What is Surface Tension? Surface Tension Comparison This is even observable in the zero gravity conditions of space as shown in figure 11.4.2 11.4. To the best of the authors’ knowledge, a recent study by yamamoto et al. Psfor different substances is a comparison of molecular volumes at temperatures at which liquids have the same surface tension p = 0.78 2 (and more so in the video. Surface Tension Comparison.