Brass Young's Modulus . We show you brass mechanical properties like tensile strength, bulk modulus, and. Σ is the uniaxial stress (tensile or. it is convenient to express the elasticity of a material with the ratio stress to strain, a parameter also termed as the tensile elastic modulus or young's modulus of the. the formula for young’s modulus is: Learn how to calculate young's. 58 rows modulus of elasticity (or also referred to as young’s modulus) is the ratio of stress to strain in elastic range of deformation. young's modulus is a basic mechanical characteristic that measures a material's capacity to deform elastically under stress. E = σ / ε = (f/a) / (δl/l 0) = fl 0 / aδl = mgl 0 / π r 2 δl. Find out the young's modulus of elasticity of brass is 110 gpa and how it.
from www.scribd.com
We show you brass mechanical properties like tensile strength, bulk modulus, and. it is convenient to express the elasticity of a material with the ratio stress to strain, a parameter also termed as the tensile elastic modulus or young's modulus of the. the formula for young’s modulus is: 58 rows modulus of elasticity (or also referred to as young’s modulus) is the ratio of stress to strain in elastic range of deformation. Find out the young's modulus of elasticity of brass is 110 gpa and how it. E = σ / ε = (f/a) / (δl/l 0) = fl 0 / aδl = mgl 0 / π r 2 δl. Σ is the uniaxial stress (tensile or. Learn how to calculate young's. young's modulus is a basic mechanical characteristic that measures a material's capacity to deform elastically under stress.
Brass Young's Modulus Elasticity (Physics)
Brass Young's Modulus We show you brass mechanical properties like tensile strength, bulk modulus, and. the formula for young’s modulus is: 58 rows modulus of elasticity (or also referred to as young’s modulus) is the ratio of stress to strain in elastic range of deformation. Learn how to calculate young's. Find out the young's modulus of elasticity of brass is 110 gpa and how it. it is convenient to express the elasticity of a material with the ratio stress to strain, a parameter also termed as the tensile elastic modulus or young's modulus of the. E = σ / ε = (f/a) / (δl/l 0) = fl 0 / aδl = mgl 0 / π r 2 δl. Σ is the uniaxial stress (tensile or. We show you brass mechanical properties like tensile strength, bulk modulus, and. young's modulus is a basic mechanical characteristic that measures a material's capacity to deform elastically under stress.
From www.slideshare.net
YOUNG’S MODULUS OF BRASS Brass Young's Modulus Find out the young's modulus of elasticity of brass is 110 gpa and how it. it is convenient to express the elasticity of a material with the ratio stress to strain, a parameter also termed as the tensile elastic modulus or young's modulus of the. 58 rows modulus of elasticity (or also referred to as young’s modulus) is. Brass Young's Modulus.
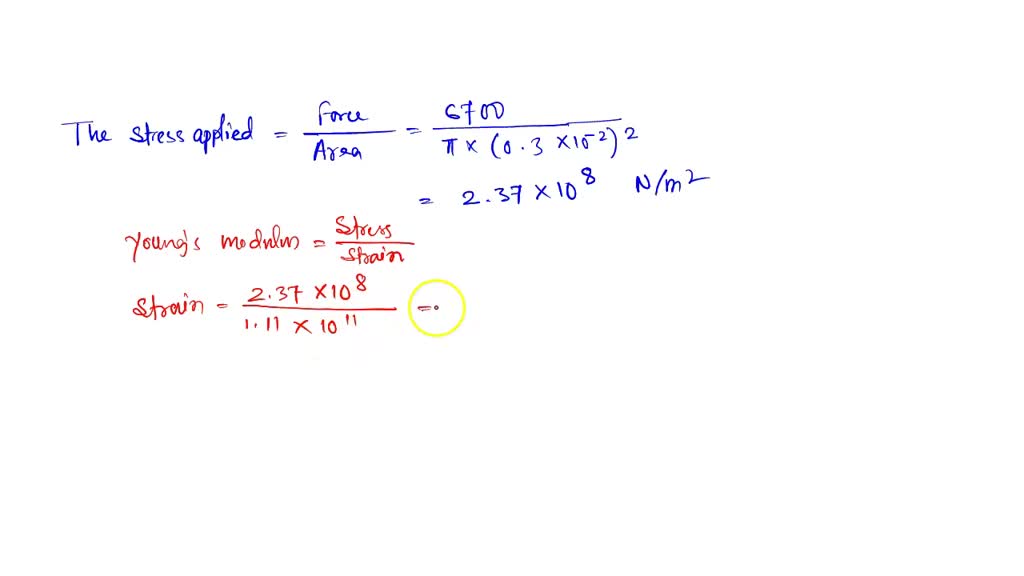
From kunduz.com
[ANSWERED] The Young s modulus of brass and steel are 1 x 10 1 N m and Kunduz Brass Young's Modulus Find out the young's modulus of elasticity of brass is 110 gpa and how it. Learn how to calculate young's. E = σ / ε = (f/a) / (δl/l 0) = fl 0 / aδl = mgl 0 / π r 2 δl. We show you brass mechanical properties like tensile strength, bulk modulus, and. young's modulus is a. Brass Young's Modulus.
From www.indiamart.com
Iron,Brass Youngs Modulus Apparatus Searles Pattern With Brass Frame For Physics, For Laboratory Brass Young's Modulus it is convenient to express the elasticity of a material with the ratio stress to strain, a parameter also termed as the tensile elastic modulus or young's modulus of the. 58 rows modulus of elasticity (or also referred to as young’s modulus) is the ratio of stress to strain in elastic range of deformation. young's modulus is. Brass Young's Modulus.
From www.numerade.com
SOLVED A copper (Young's modulus 1.1 x 10^11 N/m^2) cylinder and a brass (Young's modulus 90 x Brass Young's Modulus We show you brass mechanical properties like tensile strength, bulk modulus, and. the formula for young’s modulus is: Σ is the uniaxial stress (tensile or. 58 rows modulus of elasticity (or also referred to as young’s modulus) is the ratio of stress to strain in elastic range of deformation. young's modulus is a basic mechanical characteristic that. Brass Young's Modulus.
From www.javatpoint.com
Young's Modulus Definition JavaTpoint Brass Young's Modulus young's modulus is a basic mechanical characteristic that measures a material's capacity to deform elastically under stress. Σ is the uniaxial stress (tensile or. Find out the young's modulus of elasticity of brass is 110 gpa and how it. Learn how to calculate young's. it is convenient to express the elasticity of a material with the ratio stress. Brass Young's Modulus.
From www.chegg.com
Solved 2) A brass (Young's modulus =9×1010 Pa ) rod with a Brass Young's Modulus 58 rows modulus of elasticity (or also referred to as young’s modulus) is the ratio of stress to strain in elastic range of deformation. it is convenient to express the elasticity of a material with the ratio stress to strain, a parameter also termed as the tensile elastic modulus or young's modulus of the. Learn how to calculate. Brass Young's Modulus.
From engineeringdiscoveries.com
Young’s Modulus, Modulus Of Rigidity And Volume Modulus Of Elasticity Engineering Discoveries Brass Young's Modulus Find out the young's modulus of elasticity of brass is 110 gpa and how it. E = σ / ε = (f/a) / (δl/l 0) = fl 0 / aδl = mgl 0 / π r 2 δl. the formula for young’s modulus is: 58 rows modulus of elasticity (or also referred to as young’s modulus) is the. Brass Young's Modulus.
From sciencenotes.org
Young's Modulus Formula and Example Brass Young's Modulus E = σ / ε = (f/a) / (δl/l 0) = fl 0 / aδl = mgl 0 / π r 2 δl. We show you brass mechanical properties like tensile strength, bulk modulus, and. Find out the young's modulus of elasticity of brass is 110 gpa and how it. Learn how to calculate young's. the formula for young’s. Brass Young's Modulus.
From www.numerade.com
SOLVED A copper (Young's modulus 1.1 x 1011 N/m2) cylinder and a brass (Young's modulus 9.0 x Brass Young's Modulus Find out the young's modulus of elasticity of brass is 110 gpa and how it. E = σ / ε = (f/a) / (δl/l 0) = fl 0 / aδl = mgl 0 / π r 2 δl. We show you brass mechanical properties like tensile strength, bulk modulus, and. Learn how to calculate young's. young's modulus is a. Brass Young's Modulus.
From www.youtube.com
Experiments in Physics YOUNG MODULUS OF A BRASS BAR YouTube Brass Young's Modulus it is convenient to express the elasticity of a material with the ratio stress to strain, a parameter also termed as the tensile elastic modulus or young's modulus of the. E = σ / ε = (f/a) / (δl/l 0) = fl 0 / aδl = mgl 0 / π r 2 δl. 58 rows modulus of elasticity. Brass Young's Modulus.
From www.toppr.com
HUI JUNY luunnar stress, young modulus The diameter of a brass rod is 4 mm and Young's modulus Brass Young's Modulus the formula for young’s modulus is: We show you brass mechanical properties like tensile strength, bulk modulus, and. 58 rows modulus of elasticity (or also referred to as young’s modulus) is the ratio of stress to strain in elastic range of deformation. it is convenient to express the elasticity of a material with the ratio stress to. Brass Young's Modulus.
From mavink.com
Young Modulus Units Brass Young's Modulus We show you brass mechanical properties like tensile strength, bulk modulus, and. Find out the young's modulus of elasticity of brass is 110 gpa and how it. Learn how to calculate young's. young's modulus is a basic mechanical characteristic that measures a material's capacity to deform elastically under stress. E = σ / ε = (f/a) / (δl/l 0). Brass Young's Modulus.
From sciencestruck.com
Simple Examples to Understand the Calculation of Young's Modulus Science Struck Brass Young's Modulus the formula for young’s modulus is: Learn how to calculate young's. young's modulus is a basic mechanical characteristic that measures a material's capacity to deform elastically under stress. E = σ / ε = (f/a) / (δl/l 0) = fl 0 / aδl = mgl 0 / π r 2 δl. Σ is the uniaxial stress (tensile or.. Brass Young's Modulus.
From www.indiamart.com
Iron,Brass Youngs Modulus Apparatus Searles Pattern With Brass Frame For Physics, For Laboratory Brass Young's Modulus Find out the young's modulus of elasticity of brass is 110 gpa and how it. Learn how to calculate young's. it is convenient to express the elasticity of a material with the ratio stress to strain, a parameter also termed as the tensile elastic modulus or young's modulus of the. 58 rows modulus of elasticity (or also referred. Brass Young's Modulus.
From askfilo.com
0.6 mm ? (Young's modulus for brass =0.9×1011 N/m2 ) N⋅ ) Filo Brass Young's Modulus Find out the young's modulus of elasticity of brass is 110 gpa and how it. 58 rows modulus of elasticity (or also referred to as young’s modulus) is the ratio of stress to strain in elastic range of deformation. the formula for young’s modulus is: E = σ / ε = (f/a) / (δl/l 0) = fl 0. Brass Young's Modulus.
From www.numerade.com
SOLVEDA harpsichord string is made of yellow brass (Young's modulus 90 GPa, tensile strength 0. Brass Young's Modulus E = σ / ε = (f/a) / (δl/l 0) = fl 0 / aδl = mgl 0 / π r 2 δl. Learn how to calculate young's. 58 rows modulus of elasticity (or also referred to as young’s modulus) is the ratio of stress to strain in elastic range of deformation. young's modulus is a basic mechanical. Brass Young's Modulus.
From www.indiamart.com
Physics Lab Instrument Brass Young's Modulus Apparatus Vernier Type at Rs 500/piece in Ambala Brass Young's Modulus Learn how to calculate young's. 58 rows modulus of elasticity (or also referred to as young’s modulus) is the ratio of stress to strain in elastic range of deformation. We show you brass mechanical properties like tensile strength, bulk modulus, and. Σ is the uniaxial stress (tensile or. young's modulus is a basic mechanical characteristic that measures a. Brass Young's Modulus.
From www.doubtnut.com
If the ratio of lengths, radii and Young's moduli of steel and brass w Brass Young's Modulus Find out the young's modulus of elasticity of brass is 110 gpa and how it. E = σ / ε = (f/a) / (δl/l 0) = fl 0 / aδl = mgl 0 / π r 2 δl. the formula for young’s modulus is: young's modulus is a basic mechanical characteristic that measures a material's capacity to deform. Brass Young's Modulus.
From www.labkafe.com
SEARLE'S APPARATUS (Young Modulus), Brass Brass Young's Modulus E = σ / ε = (f/a) / (δl/l 0) = fl 0 / aδl = mgl 0 / π r 2 δl. Learn how to calculate young's. the formula for young’s modulus is: it is convenient to express the elasticity of a material with the ratio stress to strain, a parameter also termed as the tensile elastic. Brass Young's Modulus.
From www.indiamart.com
Iron,Brass Youngs Modulus Apparatus Searles Pattern With Brass Frame For Physics, For Laboratory Brass Young's Modulus E = σ / ε = (f/a) / (δl/l 0) = fl 0 / aδl = mgl 0 / π r 2 δl. Learn how to calculate young's. Σ is the uniaxial stress (tensile or. young's modulus is a basic mechanical characteristic that measures a material's capacity to deform elastically under stress. it is convenient to express the. Brass Young's Modulus.
From www.indiamart.com
Iron,Brass Youngs Modulus Apparatus Searles Pattern With Brass Frame For Physics, For Laboratory Brass Young's Modulus it is convenient to express the elasticity of a material with the ratio stress to strain, a parameter also termed as the tensile elastic modulus or young's modulus of the. young's modulus is a basic mechanical characteristic that measures a material's capacity to deform elastically under stress. 58 rows modulus of elasticity (or also referred to as. Brass Young's Modulus.
From questions-in.kunduz.com
The Young's modulus of brass and steel are respectively... Math Brass Young's Modulus 58 rows modulus of elasticity (or also referred to as young’s modulus) is the ratio of stress to strain in elastic range of deformation. E = σ / ε = (f/a) / (δl/l 0) = fl 0 / aδl = mgl 0 / π r 2 δl. Learn how to calculate young's. it is convenient to express the. Brass Young's Modulus.
From www.scribd.com
Brass Young's Modulus Elasticity (Physics) Brass Young's Modulus 58 rows modulus of elasticity (or also referred to as young’s modulus) is the ratio of stress to strain in elastic range of deformation. Σ is the uniaxial stress (tensile or. the formula for young’s modulus is: Find out the young's modulus of elasticity of brass is 110 gpa and how it. it is convenient to express. Brass Young's Modulus.
From www.researchgate.net
YOUNG MODULUS FROM TABLES 13 Download Table Brass Young's Modulus Learn how to calculate young's. the formula for young’s modulus is: young's modulus is a basic mechanical characteristic that measures a material's capacity to deform elastically under stress. E = σ / ε = (f/a) / (δl/l 0) = fl 0 / aδl = mgl 0 / π r 2 δl. Find out the young's modulus of elasticity. Brass Young's Modulus.
From www.tradeindia.com
Young Modulus Apparatus Brass at Best Price in Ambala Cantt D. D. R. International Brass Young's Modulus 58 rows modulus of elasticity (or also referred to as young’s modulus) is the ratio of stress to strain in elastic range of deformation. Σ is the uniaxial stress (tensile or. E = σ / ε = (f/a) / (δl/l 0) = fl 0 / aδl = mgl 0 / π r 2 δl. Find out the young's modulus. Brass Young's Modulus.
From www.indiamart.com
Physics Lab Instrument Brass Young's Modulus Apparatus Vernier Type at Rs 500/piece in Ambala Brass Young's Modulus Learn how to calculate young's. 58 rows modulus of elasticity (or also referred to as young’s modulus) is the ratio of stress to strain in elastic range of deformation. Find out the young's modulus of elasticity of brass is 110 gpa and how it. Σ is the uniaxial stress (tensile or. the formula for young’s modulus is: We. Brass Young's Modulus.
From mavink.com
Young Modulus And Density Of A Cantilever Steel Beam Brass Young's Modulus E = σ / ε = (f/a) / (δl/l 0) = fl 0 / aδl = mgl 0 / π r 2 δl. it is convenient to express the elasticity of a material with the ratio stress to strain, a parameter also termed as the tensile elastic modulus or young's modulus of the. the formula for young’s modulus. Brass Young's Modulus.
From www.numerade.com
SOLVED If the ratio of lengths, radii and Young's modulus of steel and brass wires in the Brass Young's Modulus Learn how to calculate young's. We show you brass mechanical properties like tensile strength, bulk modulus, and. young's modulus is a basic mechanical characteristic that measures a material's capacity to deform elastically under stress. 58 rows modulus of elasticity (or also referred to as young’s modulus) is the ratio of stress to strain in elastic range of deformation.. Brass Young's Modulus.
From www.microteknik.com
Young's Modulus Apparatus Brass Young's Modulus young's modulus is a basic mechanical characteristic that measures a material's capacity to deform elastically under stress. Find out the young's modulus of elasticity of brass is 110 gpa and how it. the formula for young’s modulus is: Learn how to calculate young's. 58 rows modulus of elasticity (or also referred to as young’s modulus) is the. Brass Young's Modulus.
From civilsguide.com
What Is The Young's Modulus Of Steel? Brass Young's Modulus 58 rows modulus of elasticity (or also referred to as young’s modulus) is the ratio of stress to strain in elastic range of deformation. Σ is the uniaxial stress (tensile or. Learn how to calculate young's. Find out the young's modulus of elasticity of brass is 110 gpa and how it. the formula for young’s modulus is: . Brass Young's Modulus.
From www.toppr.com
The diameter of brass rod is 4 mm. Young's modulus of brass is Y = 9.2 x 10 N/m (i) Calculate in Brass Young's Modulus Find out the young's modulus of elasticity of brass is 110 gpa and how it. Σ is the uniaxial stress (tensile or. We show you brass mechanical properties like tensile strength, bulk modulus, and. the formula for young’s modulus is: 58 rows modulus of elasticity (or also referred to as young’s modulus) is the ratio of stress to. Brass Young's Modulus.
From www.youtube.com
The Young's modulus of brass and steel are respectively `1.0 xx 10^(11) YouTube Brass Young's Modulus it is convenient to express the elasticity of a material with the ratio stress to strain, a parameter also termed as the tensile elastic modulus or young's modulus of the. Learn how to calculate young's. Σ is the uniaxial stress (tensile or. 58 rows modulus of elasticity (or also referred to as young’s modulus) is the ratio of. Brass Young's Modulus.
From www.indiamart.com
Blue Brass Economical Young Modulus Apparatus, For Laboratory at Rs 2782/set in Ambala Brass Young's Modulus E = σ / ε = (f/a) / (δl/l 0) = fl 0 / aδl = mgl 0 / π r 2 δl. 58 rows modulus of elasticity (or also referred to as young’s modulus) is the ratio of stress to strain in elastic range of deformation. Learn how to calculate young's. Σ is the uniaxial stress (tensile or.. Brass Young's Modulus.
From www.slideserve.com
PPT Young’s Modulus an extension to Hooke’s Law PowerPoint Presentation ID5857190 Brass Young's Modulus E = σ / ε = (f/a) / (δl/l 0) = fl 0 / aδl = mgl 0 / π r 2 δl. young's modulus is a basic mechanical characteristic that measures a material's capacity to deform elastically under stress. it is convenient to express the elasticity of a material with the ratio stress to strain, a parameter. Brass Young's Modulus.
From www.riansclub.com
Young's Modulus Description, Formula And Usage Brass Young's Modulus We show you brass mechanical properties like tensile strength, bulk modulus, and. Σ is the uniaxial stress (tensile or. 58 rows modulus of elasticity (or also referred to as young’s modulus) is the ratio of stress to strain in elastic range of deformation. Learn how to calculate young's. it is convenient to express the elasticity of a material. Brass Young's Modulus.