Chlorine Demand In Water . the total amount of chlorine that must be added to water to fully disinfect it is known as that water’s chlorine demand. chlorine is a chemical element used for various purposes, including water purification. 1.1 this practice provides a means of estimating the quantity of chlorine required to be added to a unit volume of. chlorine demand is real and solvable by adding enough chlorine to your pool until it starts to register on your liquid test kit or test strips. Since chlorine doesn't kill the microbes instantly,. results revealed that water demand reduction primarily affects chlorine availability, with less concern for thm. the quantity of chlorine consumed in these processes is known as the chlorine demand of water, and it is. Chlorine lock is a false issue, a term that some pool companies and experts will use when they really mean chlorine lock (should say chlorine demand).
from www.dentaldevotee.com
chlorine is a chemical element used for various purposes, including water purification. chlorine demand is real and solvable by adding enough chlorine to your pool until it starts to register on your liquid test kit or test strips. Chlorine lock is a false issue, a term that some pool companies and experts will use when they really mean chlorine lock (should say chlorine demand). the quantity of chlorine consumed in these processes is known as the chlorine demand of water, and it is. 1.1 this practice provides a means of estimating the quantity of chlorine required to be added to a unit volume of. Since chlorine doesn't kill the microbes instantly,. results revealed that water demand reduction primarily affects chlorine availability, with less concern for thm. the total amount of chlorine that must be added to water to fully disinfect it is known as that water’s chlorine demand.
Dentosphere World of Dentistry The point at which the chlorine demand of water is met is termed
Chlorine Demand In Water results revealed that water demand reduction primarily affects chlorine availability, with less concern for thm. Chlorine lock is a false issue, a term that some pool companies and experts will use when they really mean chlorine lock (should say chlorine demand). Since chlorine doesn't kill the microbes instantly,. chlorine is a chemical element used for various purposes, including water purification. the total amount of chlorine that must be added to water to fully disinfect it is known as that water’s chlorine demand. chlorine demand is real and solvable by adding enough chlorine to your pool until it starts to register on your liquid test kit or test strips. the quantity of chlorine consumed in these processes is known as the chlorine demand of water, and it is. 1.1 this practice provides a means of estimating the quantity of chlorine required to be added to a unit volume of. results revealed that water demand reduction primarily affects chlorine availability, with less concern for thm.
From sarino21.blogspot.com
7 Pure Chlorine Understand pool chlorine Chlorine Demand In Water results revealed that water demand reduction primarily affects chlorine availability, with less concern for thm. Chlorine lock is a false issue, a term that some pool companies and experts will use when they really mean chlorine lock (should say chlorine demand). the total amount of chlorine that must be added to water to fully disinfect it is known. Chlorine Demand In Water.
From www.chegg.com
Solved A Chlorine Demand Test has been carried out for two Chlorine Demand In Water the quantity of chlorine consumed in these processes is known as the chlorine demand of water, and it is. 1.1 this practice provides a means of estimating the quantity of chlorine required to be added to a unit volume of. Chlorine lock is a false issue, a term that some pool companies and experts will use when they really. Chlorine Demand In Water.
From cexqwbtk.blob.core.windows.net
Chlorine Water Boiling Point at John Dixon blog Chlorine Demand In Water chlorine demand is real and solvable by adding enough chlorine to your pool until it starts to register on your liquid test kit or test strips. the total amount of chlorine that must be added to water to fully disinfect it is known as that water’s chlorine demand. 1.1 this practice provides a means of estimating the quantity. Chlorine Demand In Water.
From www.medallionenergy.com
Cure Chlorine Demand And Prevent It For Good Medallion Energy Chlorine Demand In Water chlorine is a chemical element used for various purposes, including water purification. 1.1 this practice provides a means of estimating the quantity of chlorine required to be added to a unit volume of. chlorine demand is real and solvable by adding enough chlorine to your pool until it starts to register on your liquid test kit or test. Chlorine Demand In Water.
From studylib.net
Chlorine Demand Lab Chlorine Demand In Water the quantity of chlorine consumed in these processes is known as the chlorine demand of water, and it is. 1.1 this practice provides a means of estimating the quantity of chlorine required to be added to a unit volume of. Chlorine lock is a false issue, a term that some pool companies and experts will use when they really. Chlorine Demand In Water.
From www.chegg.com
Solved 2) Chlorine Demand [total 6 marks] The chlorine Chlorine Demand In Water results revealed that water demand reduction primarily affects chlorine availability, with less concern for thm. Since chlorine doesn't kill the microbes instantly,. Chlorine lock is a false issue, a term that some pool companies and experts will use when they really mean chlorine lock (should say chlorine demand). the total amount of chlorine that must be added to. Chlorine Demand In Water.
From www.youtube.com
Water Distribution Math Chlorine Demand YouTube Chlorine Demand In Water chlorine is a chemical element used for various purposes, including water purification. 1.1 this practice provides a means of estimating the quantity of chlorine required to be added to a unit volume of. Chlorine lock is a false issue, a term that some pool companies and experts will use when they really mean chlorine lock (should say chlorine demand).. Chlorine Demand In Water.
From blog.spartanpoolandpatio.com
Are You Dealing with Chlorine Demand? Chlorine Demand In Water 1.1 this practice provides a means of estimating the quantity of chlorine required to be added to a unit volume of. chlorine demand is real and solvable by adding enough chlorine to your pool until it starts to register on your liquid test kit or test strips. Chlorine lock is a false issue, a term that some pool companies. Chlorine Demand In Water.
From poolandtubcare.com
What is Chlorine Lock? How to Cure Chlorine lock and Demand Chlorine Demand In Water chlorine demand is real and solvable by adding enough chlorine to your pool until it starts to register on your liquid test kit or test strips. chlorine is a chemical element used for various purposes, including water purification. results revealed that water demand reduction primarily affects chlorine availability, with less concern for thm. the total amount. Chlorine Demand In Water.
From www.dentaldevotee.com
Dentosphere World of Dentistry The point at which the chlorine demand of water is met is termed Chlorine Demand In Water the total amount of chlorine that must be added to water to fully disinfect it is known as that water’s chlorine demand. results revealed that water demand reduction primarily affects chlorine availability, with less concern for thm. Since chlorine doesn't kill the microbes instantly,. the quantity of chlorine consumed in these processes is known as the chlorine. Chlorine Demand In Water.
From www.aquaoxwaterfilters.com
Is Chlorine In Water Bad For You? The Pros, Cons and Potential Risks Chlorine Demand In Water results revealed that water demand reduction primarily affects chlorine availability, with less concern for thm. Chlorine lock is a false issue, a term that some pool companies and experts will use when they really mean chlorine lock (should say chlorine demand). chlorine demand is real and solvable by adding enough chlorine to your pool until it starts to. Chlorine Demand In Water.
From dreamcivil.com
Chlorine Demand Civil Engineering Dictionary Chlorine Demand In Water Since chlorine doesn't kill the microbes instantly,. Chlorine lock is a false issue, a term that some pool companies and experts will use when they really mean chlorine lock (should say chlorine demand). chlorine demand is real and solvable by adding enough chlorine to your pool until it starts to register on your liquid test kit or test strips.. Chlorine Demand In Water.
From studylib.net
Lecture on Chlorine Demand Chlorine Demand In Water Since chlorine doesn't kill the microbes instantly,. the quantity of chlorine consumed in these processes is known as the chlorine demand of water, and it is. chlorine is a chemical element used for various purposes, including water purification. chlorine demand is real and solvable by adding enough chlorine to your pool until it starts to register on. Chlorine Demand In Water.
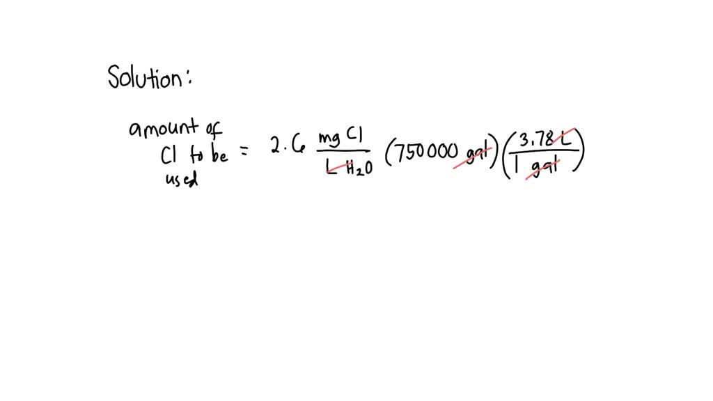
From www.numerade.com
SOLVED Twentyseven pounds (27 lb) of chlorine gas is used for treating 750,000 gal of water Chlorine Demand In Water 1.1 this practice provides a means of estimating the quantity of chlorine required to be added to a unit volume of. the quantity of chlorine consumed in these processes is known as the chlorine demand of water, and it is. the total amount of chlorine that must be added to water to fully disinfect it is known as. Chlorine Demand In Water.
From www.familypoolsnorth.com
Managing Chlorine Demand How to Save Money on Pool Chemicals Chlorine Demand In Water chlorine demand is real and solvable by adding enough chlorine to your pool until it starts to register on your liquid test kit or test strips. the total amount of chlorine that must be added to water to fully disinfect it is known as that water’s chlorine demand. results revealed that water demand reduction primarily affects chlorine. Chlorine Demand In Water.
From www.cdc.gov
Chlorine Residual Testing The Safe Water System CDC Chlorine Demand In Water the quantity of chlorine consumed in these processes is known as the chlorine demand of water, and it is. chlorine is a chemical element used for various purposes, including water purification. Since chlorine doesn't kill the microbes instantly,. Chlorine lock is a false issue, a term that some pool companies and experts will use when they really mean. Chlorine Demand In Water.
From www.familypoolsnorth.com
Managing Chlorine Demand How to Save Money on Pool Chemicals Chlorine Demand In Water chlorine demand is real and solvable by adding enough chlorine to your pool until it starts to register on your liquid test kit or test strips. 1.1 this practice provides a means of estimating the quantity of chlorine required to be added to a unit volume of. the total amount of chlorine that must be added to water. Chlorine Demand In Water.
From www.chegg.com
Solved 2. Results of a chlorine demand test on a raw water Chlorine Demand In Water chlorine is a chemical element used for various purposes, including water purification. 1.1 this practice provides a means of estimating the quantity of chlorine required to be added to a unit volume of. the total amount of chlorine that must be added to water to fully disinfect it is known as that water’s chlorine demand. the quantity. Chlorine Demand In Water.
From www.chegg.com
Solved Problem Set 10 Various dosages of chlorine were Chlorine Demand In Water 1.1 this practice provides a means of estimating the quantity of chlorine required to be added to a unit volume of. Chlorine lock is a false issue, a term that some pool companies and experts will use when they really mean chlorine lock (should say chlorine demand). chlorine is a chemical element used for various purposes, including water purification.. Chlorine Demand In Water.
From blog.orendatech.com
Understanding Breakpoint Chlorination Chlorine Demand In Water Chlorine lock is a false issue, a term that some pool companies and experts will use when they really mean chlorine lock (should say chlorine demand). 1.1 this practice provides a means of estimating the quantity of chlorine required to be added to a unit volume of. the quantity of chlorine consumed in these processes is known as the. Chlorine Demand In Water.
From www.slideserve.com
PPT Water Pollution PowerPoint Presentation, free download ID3311490 Chlorine Demand In Water chlorine demand is real and solvable by adding enough chlorine to your pool until it starts to register on your liquid test kit or test strips. Chlorine lock is a false issue, a term that some pool companies and experts will use when they really mean chlorine lock (should say chlorine demand). the quantity of chlorine consumed in. Chlorine Demand In Water.
From www.youtube.com
Chlorine Demand Texas Class D Water Math YouTube Chlorine Demand In Water Since chlorine doesn't kill the microbes instantly,. the quantity of chlorine consumed in these processes is known as the chlorine demand of water, and it is. the total amount of chlorine that must be added to water to fully disinfect it is known as that water’s chlorine demand. chlorine demand is real and solvable by adding enough. Chlorine Demand In Water.
From www.kentwater.ca
Chlorine/Chloramine Removal Water Filter Kent Water Purification Systems Chlorine Demand In Water results revealed that water demand reduction primarily affects chlorine availability, with less concern for thm. Chlorine lock is a false issue, a term that some pool companies and experts will use when they really mean chlorine lock (should say chlorine demand). Since chlorine doesn't kill the microbes instantly,. chlorine demand is real and solvable by adding enough chlorine. Chlorine Demand In Water.
From blog.chloramineconsulting.com
Pool Water Chemistry, Part 2 Combined Chlorine Chlorine Demand In Water results revealed that water demand reduction primarily affects chlorine availability, with less concern for thm. 1.1 this practice provides a means of estimating the quantity of chlorine required to be added to a unit volume of. chlorine demand is real and solvable by adding enough chlorine to your pool until it starts to register on your liquid test. Chlorine Demand In Water.
From www.youtube.com
Problem Water Solutions Chlorine Demand YouTube Chlorine Demand In Water chlorine is a chemical element used for various purposes, including water purification. the quantity of chlorine consumed in these processes is known as the chlorine demand of water, and it is. the total amount of chlorine that must be added to water to fully disinfect it is known as that water’s chlorine demand. results revealed that. Chlorine Demand In Water.
From www.chegg.com
Solved 1) Chlorine demand test results on a raw water are as Chlorine Demand In Water Chlorine lock is a false issue, a term that some pool companies and experts will use when they really mean chlorine lock (should say chlorine demand). the quantity of chlorine consumed in these processes is known as the chlorine demand of water, and it is. results revealed that water demand reduction primarily affects chlorine availability, with less concern. Chlorine Demand In Water.
From www.youtube.com
Swimming Pool Water & Chlorine Demand YouTube Chlorine Demand In Water the quantity of chlorine consumed in these processes is known as the chlorine demand of water, and it is. chlorine is a chemical element used for various purposes, including water purification. chlorine demand is real and solvable by adding enough chlorine to your pool until it starts to register on your liquid test kit or test strips.. Chlorine Demand In Water.
From forum.facmedicine.com
Researchers Develop Cheap, Simple, OnDemand Water Disinfection Process Faculty of Medicine Chlorine Demand In Water Since chlorine doesn't kill the microbes instantly,. the total amount of chlorine that must be added to water to fully disinfect it is known as that water’s chlorine demand. chlorine is a chemical element used for various purposes, including water purification. results revealed that water demand reduction primarily affects chlorine availability, with less concern for thm. Chlorine. Chlorine Demand In Water.
From www.chegg.com
Solved Question 3 Results of a chlorine demand test on a raw Chlorine Demand In Water Chlorine lock is a false issue, a term that some pool companies and experts will use when they really mean chlorine lock (should say chlorine demand). Since chlorine doesn't kill the microbes instantly,. results revealed that water demand reduction primarily affects chlorine availability, with less concern for thm. 1.1 this practice provides a means of estimating the quantity of. Chlorine Demand In Water.
From poolandtubcare.com
What are Stabilized and Unstabilized Chlorine Pool&TubCare Chlorine Demand In Water chlorine demand is real and solvable by adding enough chlorine to your pool until it starts to register on your liquid test kit or test strips. the quantity of chlorine consumed in these processes is known as the chlorine demand of water, and it is. 1.1 this practice provides a means of estimating the quantity of chlorine required. Chlorine Demand In Water.
From store.americanwatercollege.org
Chlorine Demand Texas Class C Groundwater Math American Water College Chlorine Demand In Water Chlorine lock is a false issue, a term that some pool companies and experts will use when they really mean chlorine lock (should say chlorine demand). chlorine is a chemical element used for various purposes, including water purification. the total amount of chlorine that must be added to water to fully disinfect it is known as that water’s. Chlorine Demand In Water.
From www.canada.ca
Guidelines for Canadian Drinking Water Quality Guideline Technical Document Chloramines Chlorine Demand In Water the quantity of chlorine consumed in these processes is known as the chlorine demand of water, and it is. Chlorine lock is a false issue, a term that some pool companies and experts will use when they really mean chlorine lock (should say chlorine demand). results revealed that water demand reduction primarily affects chlorine availability, with less concern. Chlorine Demand In Water.
From www.slideserve.com
PPT Residual Chlorine & Chlorine Demand PowerPoint Presentation ID6595840 Chlorine Demand In Water the total amount of chlorine that must be added to water to fully disinfect it is known as that water’s chlorine demand. chlorine is a chemical element used for various purposes, including water purification. Since chlorine doesn't kill the microbes instantly,. 1.1 this practice provides a means of estimating the quantity of chlorine required to be added to. Chlorine Demand In Water.
From www.chegg.com
Solved Problem 1. The results of a chlorine demand test on a Chlorine Demand In Water the total amount of chlorine that must be added to water to fully disinfect it is known as that water’s chlorine demand. chlorine is a chemical element used for various purposes, including water purification. the quantity of chlorine consumed in these processes is known as the chlorine demand of water, and it is. Chlorine lock is a. Chlorine Demand In Water.
From www.chegg.com
Solved The results of a chlorine demand test on a raw water Chlorine Demand In Water results revealed that water demand reduction primarily affects chlorine availability, with less concern for thm. Chlorine lock is a false issue, a term that some pool companies and experts will use when they really mean chlorine lock (should say chlorine demand). Since chlorine doesn't kill the microbes instantly,. the total amount of chlorine that must be added to. Chlorine Demand In Water.