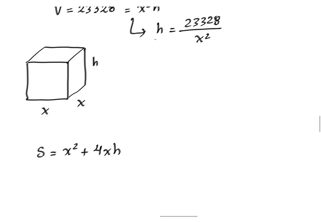
A Rectangular Tank That Is 2916 Ft^3 . We also know that the tank is made of sheet steel of a given thickness, which means that the weight of the tank depends on. A rectangular tank that is \( 2916 ft ^ { 3 } \) with a square base and open top is to be constructed of sheet steel of a given thickness. The dimensions of the tank that has the minimum surface area are:. A rectangular tank that is 2916 ft 3 with a square base and open top is to be constructed of sheet steel of a given thickness. Formula v =lwh where v is the volume of the tank l the length of the tank w the width h the height conversions one cubic inch (in³) =. 3 a rectangular tank that is 2916 ft with a square base and open top is to be constructed of sheet steel of a given. A rectangular tank with a square base, an open top, and a volume of 2916 ft 3 is to be constructed of sheet steel.
from hydrocomposites.com
Formula v =lwh where v is the volume of the tank l the length of the tank w the width h the height conversions one cubic inch (in³) =. 3 a rectangular tank that is 2916 ft with a square base and open top is to be constructed of sheet steel of a given. A rectangular tank with a square base, an open top, and a volume of 2916 ft 3 is to be constructed of sheet steel. We also know that the tank is made of sheet steel of a given thickness, which means that the weight of the tank depends on. The dimensions of the tank that has the minimum surface area are:. A rectangular tank that is 2916 ft 3 with a square base and open top is to be constructed of sheet steel of a given thickness. A rectangular tank that is \( 2916 ft ^ { 3 } \) with a square base and open top is to be constructed of sheet steel of a given thickness.
1,122 gal. Rectangular Fiberglass Tank Hydro Composites, LLC
A Rectangular Tank That Is 2916 Ft^3 We also know that the tank is made of sheet steel of a given thickness, which means that the weight of the tank depends on. 3 a rectangular tank that is 2916 ft with a square base and open top is to be constructed of sheet steel of a given. A rectangular tank that is \( 2916 ft ^ { 3 } \) with a square base and open top is to be constructed of sheet steel of a given thickness. A rectangular tank that is 2916 ft 3 with a square base and open top is to be constructed of sheet steel of a given thickness. The dimensions of the tank that has the minimum surface area are:. A rectangular tank with a square base, an open top, and a volume of 2916 ft 3 is to be constructed of sheet steel. Formula v =lwh where v is the volume of the tank l the length of the tank w the width h the height conversions one cubic inch (in³) =. We also know that the tank is made of sheet steel of a given thickness, which means that the weight of the tank depends on.
From www.ajayfibreglass.com.au
Rectangular Tanks (FRP) Ajay Fibreglass A Rectangular Tank That Is 2916 Ft^3 Formula v =lwh where v is the volume of the tank l the length of the tank w the width h the height conversions one cubic inch (in³) =. 3 a rectangular tank that is 2916 ft with a square base and open top is to be constructed of sheet steel of a given. A rectangular tank with a square. A Rectangular Tank That Is 2916 Ft^3.
From sarrz.com
Rectangular tanks manufacture and supply A Rectangular Tank That Is 2916 Ft^3 We also know that the tank is made of sheet steel of a given thickness, which means that the weight of the tank depends on. The dimensions of the tank that has the minimum surface area are:. A rectangular tank that is 2916 ft 3 with a square base and open top is to be constructed of sheet steel of. A Rectangular Tank That Is 2916 Ft^3.
From www.numerade.com
SOLVED A rectangular tank with a square base, an open top, and a A Rectangular Tank That Is 2916 Ft^3 A rectangular tank that is \( 2916 ft ^ { 3 } \) with a square base and open top is to be constructed of sheet steel of a given thickness. 3 a rectangular tank that is 2916 ft with a square base and open top is to be constructed of sheet steel of a given. A rectangular tank with. A Rectangular Tank That Is 2916 Ft^3.
From www.indiamart.com
Plastic/PVC Rectangular Tanks at Rs 9/litre in Vadodara ID 2851301574491 A Rectangular Tank That Is 2916 Ft^3 We also know that the tank is made of sheet steel of a given thickness, which means that the weight of the tank depends on. 3 a rectangular tank that is 2916 ft with a square base and open top is to be constructed of sheet steel of a given. A rectangular tank that is 2916 ft 3 with a. A Rectangular Tank That Is 2916 Ft^3.
From halltank.com
UL142 Single Wall Rectangular Tank Hall Tank A Rectangular Tank That Is 2916 Ft^3 A rectangular tank that is 2916 ft 3 with a square base and open top is to be constructed of sheet steel of a given thickness. Formula v =lwh where v is the volume of the tank l the length of the tank w the width h the height conversions one cubic inch (in³) =. The dimensions of the tank. A Rectangular Tank That Is 2916 Ft^3.
From hydrocomposites.com
445 gal. Rectangular Fiberglass Tank Hydro Composites, LLC A Rectangular Tank That Is 2916 Ft^3 A rectangular tank that is \( 2916 ft ^ { 3 } \) with a square base and open top is to be constructed of sheet steel of a given thickness. We also know that the tank is made of sheet steel of a given thickness, which means that the weight of the tank depends on. A rectangular tank that. A Rectangular Tank That Is 2916 Ft^3.
From www.bcsind.com
Rectangle FRP Tank A Rectangular Tank That Is 2916 Ft^3 A rectangular tank that is 2916 ft 3 with a square base and open top is to be constructed of sheet steel of a given thickness. 3 a rectangular tank that is 2916 ft with a square base and open top is to be constructed of sheet steel of a given. A rectangular tank that is \( 2916 ft ^. A Rectangular Tank That Is 2916 Ft^3.
From www.jakesinc.com
rectangulartank Jake's Inc. A Rectangular Tank That Is 2916 Ft^3 A rectangular tank that is \( 2916 ft ^ { 3 } \) with a square base and open top is to be constructed of sheet steel of a given thickness. A rectangular tank that is 2916 ft 3 with a square base and open top is to be constructed of sheet steel of a given thickness. 3 a rectangular. A Rectangular Tank That Is 2916 Ft^3.
From sarrz.com
Rectangular tanks manufacture and supply A Rectangular Tank That Is 2916 Ft^3 3 a rectangular tank that is 2916 ft with a square base and open top is to be constructed of sheet steel of a given. A rectangular tank that is 2916 ft 3 with a square base and open top is to be constructed of sheet steel of a given thickness. The dimensions of the tank that has the minimum. A Rectangular Tank That Is 2916 Ft^3.
From industrialplastics.com.au
Rectangular Tanks Custom Made For Any Application Industrial Plastics A Rectangular Tank That Is 2916 Ft^3 Formula v =lwh where v is the volume of the tank l the length of the tank w the width h the height conversions one cubic inch (in³) =. 3 a rectangular tank that is 2916 ft with a square base and open top is to be constructed of sheet steel of a given. A rectangular tank with a square. A Rectangular Tank That Is 2916 Ft^3.
From www.tankbarn.com
Rectangular Tanks TankBarn A Rectangular Tank That Is 2916 Ft^3 Formula v =lwh where v is the volume of the tank l the length of the tank w the width h the height conversions one cubic inch (in³) =. The dimensions of the tank that has the minimum surface area are:. A rectangular tank that is \( 2916 ft ^ { 3 } \) with a square base and open. A Rectangular Tank That Is 2916 Ft^3.
From houstonpolytank.com
Rectangular Tanks Houston Polytank A Rectangular Tank That Is 2916 Ft^3 A rectangular tank with a square base, an open top, and a volume of 2916 ft 3 is to be constructed of sheet steel. A rectangular tank that is 2916 ft 3 with a square base and open top is to be constructed of sheet steel of a given thickness. Formula v =lwh where v is the volume of the. A Rectangular Tank That Is 2916 Ft^3.
From es.scribd.com
Rectangular Tank Calculation A Rectangular Tank That Is 2916 Ft^3 A rectangular tank that is 2916 ft 3 with a square base and open top is to be constructed of sheet steel of a given thickness. A rectangular tank that is \( 2916 ft ^ { 3 } \) with a square base and open top is to be constructed of sheet steel of a given thickness. A rectangular tank. A Rectangular Tank That Is 2916 Ft^3.
From www.tasmantanks.com.au
Tasman Tanks Ltd. Rectangular Tanks A Rectangular Tank That Is 2916 Ft^3 3 a rectangular tank that is 2916 ft with a square base and open top is to be constructed of sheet steel of a given. A rectangular tank that is 2916 ft 3 with a square base and open top is to be constructed of sheet steel of a given thickness. A rectangular tank with a square base, an open. A Rectangular Tank That Is 2916 Ft^3.
From www.teachoo.com
Misc 6 A tank with rectangular base, sides, open at top is A Rectangular Tank That Is 2916 Ft^3 Formula v =lwh where v is the volume of the tank l the length of the tank w the width h the height conversions one cubic inch (in³) =. A rectangular tank that is 2916 ft 3 with a square base and open top is to be constructed of sheet steel of a given thickness. 3 a rectangular tank that. A Rectangular Tank That Is 2916 Ft^3.
From www.quadt-kunststoff.de
Rectangular tanks for plastic systems engineering A Rectangular Tank That Is 2916 Ft^3 A rectangular tank with a square base, an open top, and a volume of 2916 ft 3 is to be constructed of sheet steel. A rectangular tank that is 2916 ft 3 with a square base and open top is to be constructed of sheet steel of a given thickness. 3 a rectangular tank that is 2916 ft with a. A Rectangular Tank That Is 2916 Ft^3.
From www.civilology.com
How to Calculate Rectangular Water Tank Size & Capacity in liters A Rectangular Tank That Is 2916 Ft^3 A rectangular tank that is \( 2916 ft ^ { 3 } \) with a square base and open top is to be constructed of sheet steel of a given thickness. A rectangular tank that is 2916 ft 3 with a square base and open top is to be constructed of sheet steel of a given thickness. 3 a rectangular. A Rectangular Tank That Is 2916 Ft^3.
From www.tasmantanks.com.au
Tasman Tanks Ltd. Rectangle Gallery A Rectangular Tank That Is 2916 Ft^3 A rectangular tank that is \( 2916 ft ^ { 3 } \) with a square base and open top is to be constructed of sheet steel of a given thickness. We also know that the tank is made of sheet steel of a given thickness, which means that the weight of the tank depends on. The dimensions of the. A Rectangular Tank That Is 2916 Ft^3.
From hydrocomposites.com
119 gal. Rectangular Fiberglass Tank Hydro Composites, LLC A Rectangular Tank That Is 2916 Ft^3 A rectangular tank that is \( 2916 ft ^ { 3 } \) with a square base and open top is to be constructed of sheet steel of a given thickness. The dimensions of the tank that has the minimum surface area are:. We also know that the tank is made of sheet steel of a given thickness, which means. A Rectangular Tank That Is 2916 Ft^3.
From www.indiamart.com
Rectangular Tanks at best price in Mohali by Flowell Industries ID A Rectangular Tank That Is 2916 Ft^3 Formula v =lwh where v is the volume of the tank l the length of the tank w the width h the height conversions one cubic inch (in³) =. A rectangular tank that is \( 2916 ft ^ { 3 } \) with a square base and open top is to be constructed of sheet steel of a given thickness.. A Rectangular Tank That Is 2916 Ft^3.
From www.niplast.com
Rectangular Storage Tanks Rectangle Tank Plastic Storage Tanks Niplast A Rectangular Tank That Is 2916 Ft^3 A rectangular tank with a square base, an open top, and a volume of 2916 ft 3 is to be constructed of sheet steel. We also know that the tank is made of sheet steel of a given thickness, which means that the weight of the tank depends on. A rectangular tank that is \( 2916 ft ^ { 3. A Rectangular Tank That Is 2916 Ft^3.
From www.plas-mac.com
Polypropylene Rectangular Tanks Made to Order PlasMac, Inc. A Rectangular Tank That Is 2916 Ft^3 A rectangular tank with a square base, an open top, and a volume of 2916 ft 3 is to be constructed of sheet steel. 3 a rectangular tank that is 2916 ft with a square base and open top is to be constructed of sheet steel of a given. A rectangular tank that is \( 2916 ft ^ { 3. A Rectangular Tank That Is 2916 Ft^3.
From www.researchgate.net
D model of rectangular tank Download Scientific Diagram A Rectangular Tank That Is 2916 Ft^3 3 a rectangular tank that is 2916 ft with a square base and open top is to be constructed of sheet steel of a given. A rectangular tank that is 2916 ft 3 with a square base and open top is to be constructed of sheet steel of a given thickness. A rectangular tank that is \( 2916 ft ^. A Rectangular Tank That Is 2916 Ft^3.
From hydrocomposites.com
1,122 gal. Rectangular Fiberglass Tank Hydro Composites, LLC A Rectangular Tank That Is 2916 Ft^3 3 a rectangular tank that is 2916 ft with a square base and open top is to be constructed of sheet steel of a given. A rectangular tank that is 2916 ft 3 with a square base and open top is to be constructed of sheet steel of a given thickness. A rectangular tank with a square base, an open. A Rectangular Tank That Is 2916 Ft^3.
From hydrocomposites.com
267 gal. Rectangular Fiberglass Tank On Sale Hydro Composites, LLC A Rectangular Tank That Is 2916 Ft^3 A rectangular tank with a square base, an open top, and a volume of 2916 ft 3 is to be constructed of sheet steel. Formula v =lwh where v is the volume of the tank l the length of the tank w the width h the height conversions one cubic inch (in³) =. We also know that the tank is. A Rectangular Tank That Is 2916 Ft^3.
From www.numerade.com
SOLVED Find the dimensions of an open top, rectangular tank with a A Rectangular Tank That Is 2916 Ft^3 3 a rectangular tank that is 2916 ft with a square base and open top is to be constructed of sheet steel of a given. A rectangular tank that is 2916 ft 3 with a square base and open top is to be constructed of sheet steel of a given thickness. A rectangular tank that is \( 2916 ft ^. A Rectangular Tank That Is 2916 Ft^3.
From hydrocomposites.com
899 gal. Rectangular Fiberglass Tank Hydro Composites, LLC A Rectangular Tank That Is 2916 Ft^3 We also know that the tank is made of sheet steel of a given thickness, which means that the weight of the tank depends on. A rectangular tank with a square base, an open top, and a volume of 2916 ft 3 is to be constructed of sheet steel. A rectangular tank that is 2916 ft 3 with a square. A Rectangular Tank That Is 2916 Ft^3.
From dir.indiamart.com
Rectangular Tanks at Best Price in India A Rectangular Tank That Is 2916 Ft^3 A rectangular tank that is \( 2916 ft ^ { 3 } \) with a square base and open top is to be constructed of sheet steel of a given thickness. The dimensions of the tank that has the minimum surface area are:. 3 a rectangular tank that is 2916 ft with a square base and open top is to. A Rectangular Tank That Is 2916 Ft^3.
From www.indiamart.com
Rectangular Tanks at best price in Hyderabad by R M Engineering A Rectangular Tank That Is 2916 Ft^3 Formula v =lwh where v is the volume of the tank l the length of the tank w the width h the height conversions one cubic inch (in³) =. A rectangular tank that is 2916 ft 3 with a square base and open top is to be constructed of sheet steel of a given thickness. A rectangular tank that is. A Rectangular Tank That Is 2916 Ft^3.
From www.niplast.com
Rectangular Storage Tanks Rectangle Tank Plastic Storage Tanks Niplast A Rectangular Tank That Is 2916 Ft^3 We also know that the tank is made of sheet steel of a given thickness, which means that the weight of the tank depends on. The dimensions of the tank that has the minimum surface area are:. A rectangular tank that is 2916 ft 3 with a square base and open top is to be constructed of sheet steel of. A Rectangular Tank That Is 2916 Ft^3.
From www.winfung.com.my
Rectangular Tank Malaysia Fiberglass Product Fiberglass Tank A Rectangular Tank That Is 2916 Ft^3 A rectangular tank that is 2916 ft 3 with a square base and open top is to be constructed of sheet steel of a given thickness. A rectangular tank that is \( 2916 ft ^ { 3 } \) with a square base and open top is to be constructed of sheet steel of a given thickness. The dimensions of. A Rectangular Tank That Is 2916 Ft^3.
From www.ajayfibreglass.com.au
Rectangular Tanks (FRP) Ajay Fibreglass A Rectangular Tank That Is 2916 Ft^3 A rectangular tank with a square base, an open top, and a volume of 2916 ft 3 is to be constructed of sheet steel. The dimensions of the tank that has the minimum surface area are:. Formula v =lwh where v is the volume of the tank l the length of the tank w the width h the height conversions. A Rectangular Tank That Is 2916 Ft^3.
From www.chegg.com
Solved The rectangular tank shown here, with its top at A Rectangular Tank That Is 2916 Ft^3 A rectangular tank with a square base, an open top, and a volume of 2916 ft 3 is to be constructed of sheet steel. The dimensions of the tank that has the minimum surface area are:. Formula v =lwh where v is the volume of the tank l the length of the tank w the width h the height conversions. A Rectangular Tank That Is 2916 Ft^3.
From hydrocomposites.com
519 gal. Rectangular Fiberglass Tank Hydro Composites, LLC A Rectangular Tank That Is 2916 Ft^3 A rectangular tank that is \( 2916 ft ^ { 3 } \) with a square base and open top is to be constructed of sheet steel of a given thickness. We also know that the tank is made of sheet steel of a given thickness, which means that the weight of the tank depends on. Formula v =lwh where. A Rectangular Tank That Is 2916 Ft^3.
From hydrocomposites.com
267 gal. Rectangular Fiberglass Tank On Sale Hydro Composites, LLC A Rectangular Tank That Is 2916 Ft^3 A rectangular tank with a square base, an open top, and a volume of 2916 ft 3 is to be constructed of sheet steel. We also know that the tank is made of sheet steel of a given thickness, which means that the weight of the tank depends on. 3 a rectangular tank that is 2916 ft with a square. A Rectangular Tank That Is 2916 Ft^3.