Model Rocket Maximum Altitude . The observers are stationed some distance l along a reference line. The procedure requires two observers and a tool like the one shown. It can also be used to determine the rod separation. On this page we show a simple way to determine the altitude of a model rocket. This measurement is taken perpendicular to the ground. If you're looking for maximum altitude, you'll run into the propellant mass limit long before you hit 1.5kg. If you enter model rocket competitions, you are more likely to favor small, lightweight options for accelerometers and other instruments for your rockets. This measurement is taken parallel to the ground. The recent h altitude records have been set with the h13, which has less. As the rocket passes its maximum altitude, observer #1 measures the angle a between the ground and the rocket. On this slide we show a simple way to determine the maximum altitude the rocket reaches at the end of the coasting flight. These, along with other factors, will help optimize your flights for goals like highest altitude, longest duration, and best craftsmanship. Observer #1 then measures the angle b between the rocket and the reference line. This calculator determines the maximum altitude, acceleration, velocity, rod separation velocity, and other flight parameters of a model rocket. The procedure requires two observers and a tool, like the one shown in the upper right portion of the figure, to measure angles.
from www1.grc.nasa.gov
This measurement is taken perpendicular to the ground. If you're looking for maximum altitude, you'll run into the propellant mass limit long before you hit 1.5kg. If you enter model rocket competitions, you are more likely to favor small, lightweight options for accelerometers and other instruments for your rockets. As the rocket passes its maximum altitude, observer #1 measures the angle a between the ground and the rocket. Observer #1 then measures the angle b between the rocket and the reference line. The model rocket altitude calculator computes the estimated maximum altitude of a rocket based the distance from the launch point. These, along with other factors, will help optimize your flights for goals like highest altitude, longest duration, and best craftsmanship. This calculator determines the maximum altitude, acceleration, velocity, rod separation velocity, and other flight parameters of a model rocket. The procedure requires two observers and a tool like the one shown. This measurement is taken parallel to the ground.
Graphical Maximum Altitude Glenn Research Center NASA
Model Rocket Maximum Altitude Observer #1 then measures the angle b between the rocket and the reference line. It can also be used to determine the rod separation. The recent h altitude records have been set with the h13, which has less. The procedure requires two observers and a tool like the one shown. If you enter model rocket competitions, you are more likely to favor small, lightweight options for accelerometers and other instruments for your rockets. The model rocket altitude calculator computes the estimated maximum altitude of a rocket based the distance from the launch point. On this slide we show a simple way to determine the maximum altitude the rocket reaches at the end of the coasting flight. As the rocket passes its maximum altitude, observer #1 measures the angle a between the ground and the rocket. This calculator determines the maximum altitude, acceleration, velocity, rod separation velocity, and other flight parameters of a model rocket. On this page we show a simple way to determine the altitude of a model rocket. The observers are stationed some distance l along a reference line. The procedure requires two observers and a tool, like the one shown in the upper right portion of the figure, to measure angles. This measurement is taken perpendicular to the ground. These, along with other factors, will help optimize your flights for goals like highest altitude, longest duration, and best craftsmanship. This measurement is taken parallel to the ground. If you're looking for maximum altitude, you'll run into the propellant mass limit long before you hit 1.5kg.
From www.instructables.com
Altitude Optimised Model Rocket 16 Steps (with Pictures) Instructables Model Rocket Maximum Altitude The recent h altitude records have been set with the h13, which has less. The procedure requires two observers and a tool like the one shown. On this page we show a simple way to determine the altitude of a model rocket. If you enter model rocket competitions, you are more likely to favor small, lightweight options for accelerometers and. Model Rocket Maximum Altitude.
From austinrockets.org
High Altitude Model Rockets For Sale Austin Rockets Model Rocket Maximum Altitude If you enter model rocket competitions, you are more likely to favor small, lightweight options for accelerometers and other instruments for your rockets. This measurement is taken perpendicular to the ground. The observers are stationed some distance l along a reference line. It can also be used to determine the rod separation. The procedure requires two observers and a tool,. Model Rocket Maximum Altitude.
From www.pinterest.com.au
North Coast Rocketry Flying Model Rocket Kit Lance Delta NCR 02 Model Model Rocket Maximum Altitude These, along with other factors, will help optimize your flights for goals like highest altitude, longest duration, and best craftsmanship. The procedure requires two observers and a tool like the one shown. This measurement is taken perpendicular to the ground. On this page we show a simple way to determine the altitude of a model rocket. It can also be. Model Rocket Maximum Altitude.
From www.grc.nasa.gov
Altitude Equation Derivation Model Rocket Maximum Altitude As the rocket passes its maximum altitude, observer #1 measures the angle a between the ground and the rocket. On this slide we show a simple way to determine the maximum altitude the rocket reaches at the end of the coasting flight. The observers are stationed some distance l along a reference line. It can also be used to determine. Model Rocket Maximum Altitude.
From www.vcalc.com
Model Rocket Altitude Model Rocket Maximum Altitude Observer #1 then measures the angle b between the rocket and the reference line. As the rocket passes its maximum altitude, observer #1 measures the angle a between the ground and the rocket. It can also be used to determine the rod separation. The observers are stationed some distance l along a reference line. On this slide we show a. Model Rocket Maximum Altitude.
From www1.grc.nasa.gov
Graphical Maximum Altitude Glenn Research Center NASA Model Rocket Maximum Altitude Observer #1 then measures the angle b between the rocket and the reference line. If you're looking for maximum altitude, you'll run into the propellant mass limit long before you hit 1.5kg. It can also be used to determine the rod separation. As the rocket passes its maximum altitude, observer #1 measures the angle a between the ground and the. Model Rocket Maximum Altitude.
From courses.lumenlearning.com
Introduction to Rocket Propulsion Physics Model Rocket Maximum Altitude The procedure requires two observers and a tool like the one shown. Observer #1 then measures the angle b between the rocket and the reference line. The observers are stationed some distance l along a reference line. This measurement is taken parallel to the ground. On this slide we show a simple way to determine the maximum altitude the rocket. Model Rocket Maximum Altitude.
From www.youtube.com
Realtime altitude on model rocket launch YouTube Model Rocket Maximum Altitude The procedure requires two observers and a tool like the one shown. As the rocket passes its maximum altitude, observer #1 measures the angle a between the ground and the rocket. Observer #1 then measures the angle b between the rocket and the reference line. The observers are stationed some distance l along a reference line. The recent h altitude. Model Rocket Maximum Altitude.
From www.youtube.com
Rocket Maximum Height YouTube Model Rocket Maximum Altitude If you're looking for maximum altitude, you'll run into the propellant mass limit long before you hit 1.5kg. Observer #1 then measures the angle b between the rocket and the reference line. This measurement is taken perpendicular to the ground. The procedure requires two observers and a tool, like the one shown in the upper right portion of the figure,. Model Rocket Maximum Altitude.
From www.numerade.com
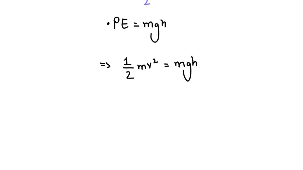
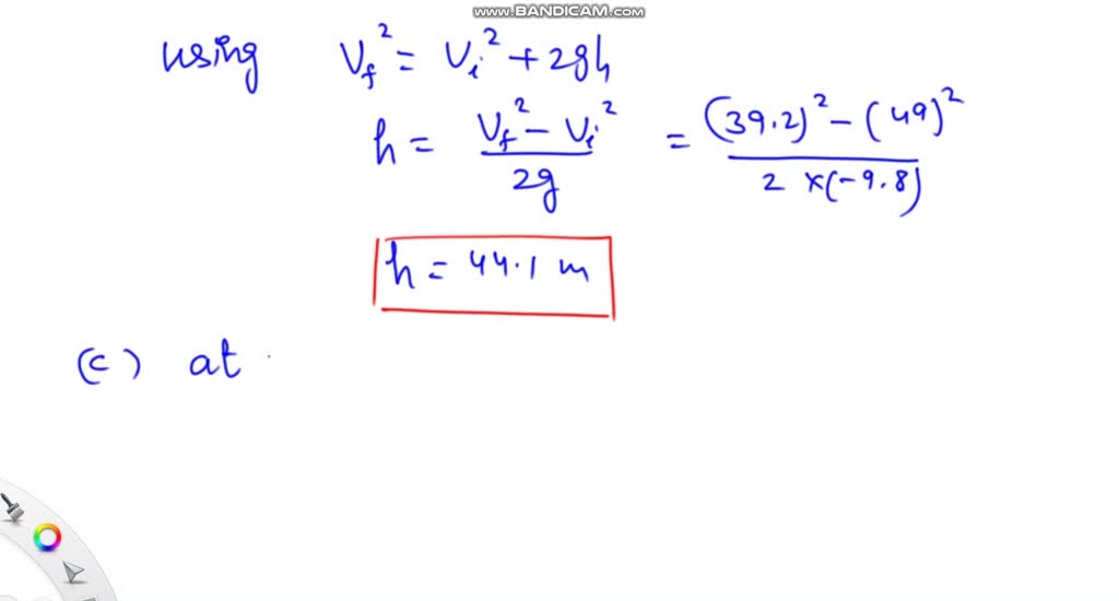
SOLVEDA model rocket leaves the ground, heading straight up at 49 m Model Rocket Maximum Altitude It can also be used to determine the rod separation. The model rocket altitude calculator computes the estimated maximum altitude of a rocket based the distance from the launch point. If you enter model rocket competitions, you are more likely to favor small, lightweight options for accelerometers and other instruments for your rockets. As the rocket passes its maximum altitude,. Model Rocket Maximum Altitude.
From themodelrocket.com
Model Rocket Altitude Limit The Model Rocket Model Rocket Maximum Altitude On this page we show a simple way to determine the altitude of a model rocket. On this slide we show a simple way to determine the maximum altitude the rocket reaches at the end of the coasting flight. The recent h altitude records have been set with the h13, which has less. The observers are stationed some distance l. Model Rocket Maximum Altitude.
From www.thespacetechie.com
Principal Axes of Rocket The Space Techie Model Rocket Maximum Altitude It can also be used to determine the rod separation. These, along with other factors, will help optimize your flights for goals like highest altitude, longest duration, and best craftsmanship. The procedure requires two observers and a tool, like the one shown in the upper right portion of the figure, to measure angles. The procedure requires two observers and a. Model Rocket Maximum Altitude.
From www.chegg.com
Solved A 3kg model rocket is launched vertically and Model Rocket Maximum Altitude The observers are stationed some distance l along a reference line. It can also be used to determine the rod separation. This measurement is taken perpendicular to the ground. The recent h altitude records have been set with the h13, which has less. The model rocket altitude calculator computes the estimated maximum altitude of a rocket based the distance from. Model Rocket Maximum Altitude.
From www.reddit.com
Calculating Lift force direction on Rocket in 3D. r/aerospace Model Rocket Maximum Altitude The procedure requires two observers and a tool, like the one shown in the upper right portion of the figure, to measure angles. This calculator determines the maximum altitude, acceleration, velocity, rod separation velocity, and other flight parameters of a model rocket. The model rocket altitude calculator computes the estimated maximum altitude of a rocket based the distance from the. Model Rocket Maximum Altitude.
From www.researchgate.net
Maximum altitude as a function of burn time and rocket elongation Model Rocket Maximum Altitude The model rocket altitude calculator computes the estimated maximum altitude of a rocket based the distance from the launch point. It can also be used to determine the rod separation. Observer #1 then measures the angle b between the rocket and the reference line. As the rocket passes its maximum altitude, observer #1 measures the angle a between the ground. Model Rocket Maximum Altitude.
From modelrocketbuilding.blogspot.com
Model Rocket Building Apogee Payload Altitude Rocket, Build, Background Model Rocket Maximum Altitude The observers are stationed some distance l along a reference line. On this page we show a simple way to determine the altitude of a model rocket. This measurement is taken parallel to the ground. The recent h altitude records have been set with the h13, which has less. The procedure requires two observers and a tool, like the one. Model Rocket Maximum Altitude.
From www.youtube.com
1 Model Quadratic Equation for Rocket Launched from 2 m maximum 50 at Model Rocket Maximum Altitude On this page we show a simple way to determine the altitude of a model rocket. The procedure requires two observers and a tool, like the one shown in the upper right portion of the figure, to measure angles. These, along with other factors, will help optimize your flights for goals like highest altitude, longest duration, and best craftsmanship. If. Model Rocket Maximum Altitude.
From owlcation.com
How Does a Rocket Work? An Explanation of Rocket Science Owlcation Model Rocket Maximum Altitude This measurement is taken parallel to the ground. Observer #1 then measures the angle b between the rocket and the reference line. As the rocket passes its maximum altitude, observer #1 measures the angle a between the ground and the rocket. This calculator determines the maximum altitude, acceleration, velocity, rod separation velocity, and other flight parameters of a model rocket.. Model Rocket Maximum Altitude.
From www.nar.org
S5 Scale Altitude National Association of Rocketry Model Rocket Maximum Altitude The procedure requires two observers and a tool, like the one shown in the upper right portion of the figure, to measure angles. This measurement is taken parallel to the ground. It can also be used to determine the rod separation. On this page we show a simple way to determine the altitude of a model rocket. The procedure requires. Model Rocket Maximum Altitude.
From www.goodthingsguy.com
SA set new record for highest altitude reached with amateur rocket!!! Model Rocket Maximum Altitude If you're looking for maximum altitude, you'll run into the propellant mass limit long before you hit 1.5kg. The model rocket altitude calculator computes the estimated maximum altitude of a rocket based the distance from the launch point. This measurement is taken parallel to the ground. If you enter model rocket competitions, you are more likely to favor small, lightweight. Model Rocket Maximum Altitude.
From www.youtube.com
First Aerotech Strong Arm Model Rocket Launch At MAM Field YouTube Model Rocket Maximum Altitude These, along with other factors, will help optimize your flights for goals like highest altitude, longest duration, and best craftsmanship. It can also be used to determine the rod separation. The procedure requires two observers and a tool like the one shown. On this page we show a simple way to determine the altitude of a model rocket. As the. Model Rocket Maximum Altitude.
From www.nar.org
S5 Scale Altitude National Association of Rocketry Model Rocket Maximum Altitude As the rocket passes its maximum altitude, observer #1 measures the angle a between the ground and the rocket. On this page we show a simple way to determine the altitude of a model rocket. The observers are stationed some distance l along a reference line. These, along with other factors, will help optimize your flights for goals like highest. Model Rocket Maximum Altitude.
From www.walmart.com
estes shuttle flying model rocket Model Rocket Maximum Altitude On this slide we show a simple way to determine the maximum altitude the rocket reaches at the end of the coasting flight. This measurement is taken perpendicular to the ground. This measurement is taken parallel to the ground. These, along with other factors, will help optimize your flights for goals like highest altitude, longest duration, and best craftsmanship. On. Model Rocket Maximum Altitude.
From brainly.com
the diagram shows the path of a model rocket launched from the ground Model Rocket Maximum Altitude This measurement is taken parallel to the ground. On this page we show a simple way to determine the altitude of a model rocket. The model rocket altitude calculator computes the estimated maximum altitude of a rocket based the distance from the launch point. This calculator determines the maximum altitude, acceleration, velocity, rod separation velocity, and other flight parameters of. Model Rocket Maximum Altitude.
From www.youtube.com
A model rocket is launched straight upward with an initial speed of 50. Model Rocket Maximum Altitude On this slide we show a simple way to determine the maximum altitude the rocket reaches at the end of the coasting flight. The procedure requires two observers and a tool, like the one shown in the upper right portion of the figure, to measure angles. On this page we show a simple way to determine the altitude of a. Model Rocket Maximum Altitude.
From www.grc.nasa.gov
Determining Rocket Weight Slide Model Rocket Maximum Altitude On this slide we show a simple way to determine the maximum altitude the rocket reaches at the end of the coasting flight. The observers are stationed some distance l along a reference line. This measurement is taken parallel to the ground. If you're looking for maximum altitude, you'll run into the propellant mass limit long before you hit 1.5kg.. Model Rocket Maximum Altitude.
From www.grc.nasa.gov
Ideal Rocket Equation Model Rocket Maximum Altitude If you enter model rocket competitions, you are more likely to favor small, lightweight options for accelerometers and other instruments for your rockets. On this page we show a simple way to determine the altitude of a model rocket. The recent h altitude records have been set with the h13, which has less. The procedure requires two observers and a. Model Rocket Maximum Altitude.
From en.wikipedia.org
Model rocket Wikipedia Model Rocket Maximum Altitude These, along with other factors, will help optimize your flights for goals like highest altitude, longest duration, and best craftsmanship. As the rocket passes its maximum altitude, observer #1 measures the angle a between the ground and the rocket. The observers are stationed some distance l along a reference line. Observer #1 then measures the angle b between the rocket. Model Rocket Maximum Altitude.
From exofkibut.blob.core.windows.net
Vertical Model Rockets Maximum Height at Shelly Boan blog Model Rocket Maximum Altitude On this slide we show a simple way to determine the maximum altitude the rocket reaches at the end of the coasting flight. The observers are stationed some distance l along a reference line. This calculator determines the maximum altitude, acceleration, velocity, rod separation velocity, and other flight parameters of a model rocket. The model rocket altitude calculator computes the. Model Rocket Maximum Altitude.
From www.chegg.com
Solved A model rocket blasts off from the ground, rising Model Rocket Maximum Altitude The model rocket altitude calculator computes the estimated maximum altitude of a rocket based the distance from the launch point. This calculator determines the maximum altitude, acceleration, velocity, rod separation velocity, and other flight parameters of a model rocket. The observers are stationed some distance l along a reference line. This measurement is taken parallel to the ground. As the. Model Rocket Maximum Altitude.
From www.instructables.com
Altitude Optimised Model Rocket 16 Steps (with Pictures) Instructables Model Rocket Maximum Altitude The model rocket altitude calculator computes the estimated maximum altitude of a rocket based the distance from the launch point. If you enter model rocket competitions, you are more likely to favor small, lightweight options for accelerometers and other instruments for your rockets. The recent h altitude records have been set with the h13, which has less. These, along with. Model Rocket Maximum Altitude.
From www.numerade.com
A model rocket leaves the ground, heading straight up with speed v Model Rocket Maximum Altitude This measurement is taken parallel to the ground. This calculator determines the maximum altitude, acceleration, velocity, rod separation velocity, and other flight parameters of a model rocket. If you enter model rocket competitions, you are more likely to favor small, lightweight options for accelerometers and other instruments for your rockets. This measurement is taken perpendicular to the ground. The model. Model Rocket Maximum Altitude.
From hobbylark.com
How to Fly Model Rockets HobbyLark Model Rocket Maximum Altitude On this slide we show a simple way to determine the maximum altitude the rocket reaches at the end of the coasting flight. It can also be used to determine the rod separation. As the rocket passes its maximum altitude, observer #1 measures the angle a between the ground and the rocket. This measurement is taken parallel to the ground.. Model Rocket Maximum Altitude.
From www.translatorscafe.com
Model Rocket DualAxis Altitude Tracking Calculator • Model Rockets Model Rocket Maximum Altitude On this page we show a simple way to determine the altitude of a model rocket. These, along with other factors, will help optimize your flights for goals like highest altitude, longest duration, and best craftsmanship. As the rocket passes its maximum altitude, observer #1 measures the angle a between the ground and the rocket. Observer #1 then measures the. Model Rocket Maximum Altitude.
From www.chegg.com
Solved A model rocket blasts off from the ground, rising Model Rocket Maximum Altitude The model rocket altitude calculator computes the estimated maximum altitude of a rocket based the distance from the launch point. The procedure requires two observers and a tool like the one shown. It can also be used to determine the rod separation. The recent h altitude records have been set with the h13, which has less. These, along with other. Model Rocket Maximum Altitude.