How To Calculate Alternator Rpm . to calculate the actual alternator rpm, determine the ratio between the two pulley diameters. How to calculate alternator torque? Multiply idle rpm x ratio (for example 1000 x 2) = 2000 shaft rpm @ idle. to find idle shaft rpm: An alternator needs a minimum speed of 1800 rpm at idle to. If your alternator demand is for example, 2kw, then you need 2.7 hp from. calculate rpm of alternator wallace racing back to calculators alternator rpm calculator engine rpm : how do you calculate alternator rpm? s is the alternator speed (rpm) to calculate the alternator torque, divided the power by the speed, then multiply by 9.5488. The formula for determining pulley ratio is: The following steps outline how to calculate the alternator torque. this article presents a precise method for calculating the alternator pulley ratio along with a working calculator. First, consider that 1 hp = 745.7w. hitachi recommends that you calculate your pulley ratio and multiply it times your highest expected engine rpm to.
from www.youtube.com
First, consider that 1 hp = 745.7w. to find idle shaft rpm: How to calculate alternator torque? to calculate the actual alternator rpm, determine the ratio between the two pulley diameters. Multiply idle rpm x ratio (for example 1000 x 2) = 2000 shaft rpm @ idle. how do you calculate alternator rpm? The following steps outline how to calculate the alternator torque. calculate rpm of alternator wallace racing back to calculators alternator rpm calculator engine rpm : hitachi recommends that you calculate your pulley ratio and multiply it times your highest expected engine rpm to. this article presents a precise method for calculating the alternator pulley ratio along with a working calculator.
How to calculate rpm of motorCalculate rpm of motorrpm of motor
How To Calculate Alternator Rpm hitachi recommends that you calculate your pulley ratio and multiply it times your highest expected engine rpm to. An alternator needs a minimum speed of 1800 rpm at idle to. to find idle shaft rpm: hitachi recommends that you calculate your pulley ratio and multiply it times your highest expected engine rpm to. How to calculate alternator torque? to calculate the actual alternator rpm, determine the ratio between the two pulley diameters. how do you calculate alternator rpm? calculate rpm of alternator wallace racing back to calculators alternator rpm calculator engine rpm : s is the alternator speed (rpm) to calculate the alternator torque, divided the power by the speed, then multiply by 9.5488. The formula for determining pulley ratio is: this article presents a precise method for calculating the alternator pulley ratio along with a working calculator. Multiply idle rpm x ratio (for example 1000 x 2) = 2000 shaft rpm @ idle. If your alternator demand is for example, 2kw, then you need 2.7 hp from. The following steps outline how to calculate the alternator torque. First, consider that 1 hp = 745.7w.
From www.youtube.com
How to calculate rpm of motorCalculate rpm of motorrpm of motor How To Calculate Alternator Rpm to find idle shaft rpm: hitachi recommends that you calculate your pulley ratio and multiply it times your highest expected engine rpm to. how do you calculate alternator rpm? s is the alternator speed (rpm) to calculate the alternator torque, divided the power by the speed, then multiply by 9.5488. this article presents a precise. How To Calculate Alternator Rpm.
From www.rodauthority.com
How To Calculate Pulley Ratio And Rotor RPM For Your Alternator Rod How To Calculate Alternator Rpm to find idle shaft rpm: to calculate the actual alternator rpm, determine the ratio between the two pulley diameters. hitachi recommends that you calculate your pulley ratio and multiply it times your highest expected engine rpm to. s is the alternator speed (rpm) to calculate the alternator torque, divided the power by the speed, then multiply. How To Calculate Alternator Rpm.
From www.youtube.com
Alternator RPM Meter Connection Wiring PMP अल्टरनेटर मे RPM मीटर का How To Calculate Alternator Rpm hitachi recommends that you calculate your pulley ratio and multiply it times your highest expected engine rpm to. this article presents a precise method for calculating the alternator pulley ratio along with a working calculator. The following steps outline how to calculate the alternator torque. Multiply idle rpm x ratio (for example 1000 x 2) = 2000 shaft. How To Calculate Alternator Rpm.
From www.youtube.com
how to make 17kw free energy generator from 3hp motor and 17kw How To Calculate Alternator Rpm First, consider that 1 hp = 745.7w. to calculate the actual alternator rpm, determine the ratio between the two pulley diameters. An alternator needs a minimum speed of 1800 rpm at idle to. hitachi recommends that you calculate your pulley ratio and multiply it times your highest expected engine rpm to. The formula for determining pulley ratio is:. How To Calculate Alternator Rpm.
From www.youtube.com
How to calculate Rpm of motorElectric motor Rpmrpm nikalne ka formula How To Calculate Alternator Rpm how do you calculate alternator rpm? this article presents a precise method for calculating the alternator pulley ratio along with a working calculator. The following steps outline how to calculate the alternator torque. The formula for determining pulley ratio is: to calculate the actual alternator rpm, determine the ratio between the two pulley diameters. An alternator needs. How To Calculate Alternator Rpm.
From www.mepengineersclub.com
Pump Calculations, Flow Rate, RPM, Head Pressure, & Impeller Diameter How To Calculate Alternator Rpm Multiply idle rpm x ratio (for example 1000 x 2) = 2000 shaft rpm @ idle. An alternator needs a minimum speed of 1800 rpm at idle to. this article presents a precise method for calculating the alternator pulley ratio along with a working calculator. s is the alternator speed (rpm) to calculate the alternator torque, divided the. How To Calculate Alternator Rpm.
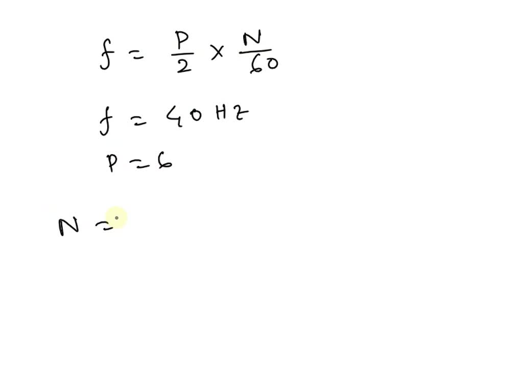
From www.numerade.com
SOLVED 2. At what speed should a sixpole alternator be driven to How To Calculate Alternator Rpm How to calculate alternator torque? to calculate the actual alternator rpm, determine the ratio between the two pulley diameters. how do you calculate alternator rpm? First, consider that 1 hp = 745.7w. If your alternator demand is for example, 2kw, then you need 2.7 hp from. hitachi recommends that you calculate your pulley ratio and multiply it. How To Calculate Alternator Rpm.
From www.youtube.com
How to Calculate Rpm of Motor! (POLE TO RPM) !Motor का Rpm कैसे निकालते How To Calculate Alternator Rpm to find idle shaft rpm: s is the alternator speed (rpm) to calculate the alternator torque, divided the power by the speed, then multiply by 9.5488. this article presents a precise method for calculating the alternator pulley ratio along with a working calculator. If your alternator demand is for example, 2kw, then you need 2.7 hp from.. How To Calculate Alternator Rpm.
From www.numerade.com
A 3phase, 10pole, Yconnected alternator runs at 600 rpm. It has 120 How To Calculate Alternator Rpm s is the alternator speed (rpm) to calculate the alternator torque, divided the power by the speed, then multiply by 9.5488. The following steps outline how to calculate the alternator torque. If your alternator demand is for example, 2kw, then you need 2.7 hp from. how do you calculate alternator rpm? The formula for determining pulley ratio is:. How To Calculate Alternator Rpm.
From electricalacademia.com
ThreePhase AC Generator Working Electrical Academia How To Calculate Alternator Rpm How to calculate alternator torque? Multiply idle rpm x ratio (for example 1000 x 2) = 2000 shaft rpm @ idle. The following steps outline how to calculate the alternator torque. An alternator needs a minimum speed of 1800 rpm at idle to. this article presents a precise method for calculating the alternator pulley ratio along with a working. How To Calculate Alternator Rpm.
From www.youtube.com
Convert pole to rpm how to calculate rpm of motor target How To Calculate Alternator Rpm to calculate the actual alternator rpm, determine the ratio between the two pulley diameters. The following steps outline how to calculate the alternator torque. How to calculate alternator torque? this article presents a precise method for calculating the alternator pulley ratio along with a working calculator. An alternator needs a minimum speed of 1800 rpm at idle to.. How To Calculate Alternator Rpm.
From www.youtube.com
How Does Alternator Work In Cars / Car Alternator Rpm And Battery How To Calculate Alternator Rpm The following steps outline how to calculate the alternator torque. Multiply idle rpm x ratio (for example 1000 x 2) = 2000 shaft rpm @ idle. If your alternator demand is for example, 2kw, then you need 2.7 hp from. First, consider that 1 hp = 745.7w. to calculate the actual alternator rpm, determine the ratio between the two. How To Calculate Alternator Rpm.
From dslidingdoors.blogspot.com
Reyhan Blog Bosch Alternator Max Rpm How To Calculate Alternator Rpm An alternator needs a minimum speed of 1800 rpm at idle to. s is the alternator speed (rpm) to calculate the alternator torque, divided the power by the speed, then multiply by 9.5488. this article presents a precise method for calculating the alternator pulley ratio along with a working calculator. Multiply idle rpm x ratio (for example 1000. How To Calculate Alternator Rpm.
From printablelistafloat.z21.web.core.windows.net
How To Calculate Rpm Machining How To Calculate Alternator Rpm to find idle shaft rpm: The formula for determining pulley ratio is: Multiply idle rpm x ratio (for example 1000 x 2) = 2000 shaft rpm @ idle. The following steps outline how to calculate the alternator torque. to calculate the actual alternator rpm, determine the ratio between the two pulley diameters. calculate rpm of alternator wallace. How To Calculate Alternator Rpm.
From www.youtube.com
RPM Calculation Formula What is RPM RPM Calculation YouTube How To Calculate Alternator Rpm Multiply idle rpm x ratio (for example 1000 x 2) = 2000 shaft rpm @ idle. to calculate the actual alternator rpm, determine the ratio between the two pulley diameters. hitachi recommends that you calculate your pulley ratio and multiply it times your highest expected engine rpm to. If your alternator demand is for example, 2kw, then you. How To Calculate Alternator Rpm.
From printablelistafloat.z21.web.core.windows.net
How To Calculate Rpm Machining How To Calculate Alternator Rpm Multiply idle rpm x ratio (for example 1000 x 2) = 2000 shaft rpm @ idle. calculate rpm of alternator wallace racing back to calculators alternator rpm calculator engine rpm : First, consider that 1 hp = 745.7w. s is the alternator speed (rpm) to calculate the alternator torque, divided the power by the speed, then multiply by. How To Calculate Alternator Rpm.
From www.youtube.com
How to calculate motor pole, motor frequency and motor speed in Tamil How To Calculate Alternator Rpm The formula for determining pulley ratio is: Multiply idle rpm x ratio (for example 1000 x 2) = 2000 shaft rpm @ idle. An alternator needs a minimum speed of 1800 rpm at idle to. How to calculate alternator torque? hitachi recommends that you calculate your pulley ratio and multiply it times your highest expected engine rpm to. . How To Calculate Alternator Rpm.
From www.youtube.com
Engine RPM Calculator YouTube How To Calculate Alternator Rpm to calculate the actual alternator rpm, determine the ratio between the two pulley diameters. calculate rpm of alternator wallace racing back to calculators alternator rpm calculator engine rpm : to find idle shaft rpm: The following steps outline how to calculate the alternator torque. how do you calculate alternator rpm? hitachi recommends that you calculate. How To Calculate Alternator Rpm.
From www.mepengineersclub.com
Pump Calculations, Flow Rate, RPM, Head Pressure, & Impeller Diameter How To Calculate Alternator Rpm First, consider that 1 hp = 745.7w. An alternator needs a minimum speed of 1800 rpm at idle to. to calculate the actual alternator rpm, determine the ratio between the two pulley diameters. s is the alternator speed (rpm) to calculate the alternator torque, divided the power by the speed, then multiply by 9.5488. this article presents. How To Calculate Alternator Rpm.
From dslidingdoors.blogspot.com
Reyhan Blog Bosch Alternator Max Rpm How To Calculate Alternator Rpm to calculate the actual alternator rpm, determine the ratio between the two pulley diameters. If your alternator demand is for example, 2kw, then you need 2.7 hp from. An alternator needs a minimum speed of 1800 rpm at idle to. hitachi recommends that you calculate your pulley ratio and multiply it times your highest expected engine rpm to.. How To Calculate Alternator Rpm.
From chartdata.web.app
Car Alternator Rpm Chart How To Calculate Alternator Rpm The following steps outline how to calculate the alternator torque. hitachi recommends that you calculate your pulley ratio and multiply it times your highest expected engine rpm to. Multiply idle rpm x ratio (for example 1000 x 2) = 2000 shaft rpm @ idle. If your alternator demand is for example, 2kw, then you need 2.7 hp from. . How To Calculate Alternator Rpm.
From www.youtube.com
Ⓜ️How To Calculate Motor RPM Frequency Pole Simple Formula How To Calculate Alternator Rpm calculate rpm of alternator wallace racing back to calculators alternator rpm calculator engine rpm : to calculate the actual alternator rpm, determine the ratio between the two pulley diameters. Multiply idle rpm x ratio (for example 1000 x 2) = 2000 shaft rpm @ idle. how do you calculate alternator rpm? First, consider that 1 hp =. How To Calculate Alternator Rpm.
From www.youtube.com
22. Alternator Power Equation Alternator Torque Equation How To Calculate Alternator Rpm First, consider that 1 hp = 745.7w. Multiply idle rpm x ratio (for example 1000 x 2) = 2000 shaft rpm @ idle. The formula for determining pulley ratio is: to find idle shaft rpm: how do you calculate alternator rpm? hitachi recommends that you calculate your pulley ratio and multiply it times your highest expected engine. How To Calculate Alternator Rpm.
From www.sbmar.com
Popular Cummins Marine Delco Alternator Power Output Curves Seaboard How To Calculate Alternator Rpm The following steps outline how to calculate the alternator torque. to find idle shaft rpm: First, consider that 1 hp = 745.7w. hitachi recommends that you calculate your pulley ratio and multiply it times your highest expected engine rpm to. how do you calculate alternator rpm? this article presents a precise method for calculating the alternator. How To Calculate Alternator Rpm.
From www.youtube.com
How to measure RPM of motor YouTube How To Calculate Alternator Rpm calculate rpm of alternator wallace racing back to calculators alternator rpm calculator engine rpm : how do you calculate alternator rpm? An alternator needs a minimum speed of 1800 rpm at idle to. to find idle shaft rpm: First, consider that 1 hp = 745.7w. to calculate the actual alternator rpm, determine the ratio between the. How To Calculate Alternator Rpm.
From www.youtube.com
E.M.F equation of an alternator YouTube How To Calculate Alternator Rpm Multiply idle rpm x ratio (for example 1000 x 2) = 2000 shaft rpm @ idle. how do you calculate alternator rpm? this article presents a precise method for calculating the alternator pulley ratio along with a working calculator. hitachi recommends that you calculate your pulley ratio and multiply it times your highest expected engine rpm to.. How To Calculate Alternator Rpm.
From www.slideserve.com
PPT Introduction PowerPoint Presentation, free download ID2843561 How To Calculate Alternator Rpm s is the alternator speed (rpm) to calculate the alternator torque, divided the power by the speed, then multiply by 9.5488. to find idle shaft rpm: If your alternator demand is for example, 2kw, then you need 2.7 hp from. how do you calculate alternator rpm? calculate rpm of alternator wallace racing back to calculators alternator. How To Calculate Alternator Rpm.
From www.numerade.com
SOLVED A threephase alternator with the opencircuit and short How To Calculate Alternator Rpm calculate rpm of alternator wallace racing back to calculators alternator rpm calculator engine rpm : The formula for determining pulley ratio is: this article presents a precise method for calculating the alternator pulley ratio along with a working calculator. If your alternator demand is for example, 2kw, then you need 2.7 hp from. hitachi recommends that you. How To Calculate Alternator Rpm.
From www.youtube.com
Vmc rpm calculation endmill rpm calculation rpm calculation How To Calculate Alternator Rpm this article presents a precise method for calculating the alternator pulley ratio along with a working calculator. Multiply idle rpm x ratio (for example 1000 x 2) = 2000 shaft rpm @ idle. s is the alternator speed (rpm) to calculate the alternator torque, divided the power by the speed, then multiply by 9.5488. calculate rpm of. How To Calculate Alternator Rpm.
From www.vortexbuicks-etc.com
Alternator Selection How To Calculate Alternator Rpm s is the alternator speed (rpm) to calculate the alternator torque, divided the power by the speed, then multiply by 9.5488. how do you calculate alternator rpm? The formula for determining pulley ratio is: The following steps outline how to calculate the alternator torque. this article presents a precise method for calculating the alternator pulley ratio along. How To Calculate Alternator Rpm.
From thepowerfacts.com
What is the Minimum RPM Start the Alternator Charging? The Power Facts How To Calculate Alternator Rpm First, consider that 1 hp = 745.7w. Multiply idle rpm x ratio (for example 1000 x 2) = 2000 shaft rpm @ idle. calculate rpm of alternator wallace racing back to calculators alternator rpm calculator engine rpm : s is the alternator speed (rpm) to calculate the alternator torque, divided the power by the speed, then multiply by. How To Calculate Alternator Rpm.
From exoomdzne.blob.core.windows.net
Gear Motor Rpm Calculation at Nathan Lewis blog How To Calculate Alternator Rpm If your alternator demand is for example, 2kw, then you need 2.7 hp from. The formula for determining pulley ratio is: to calculate the actual alternator rpm, determine the ratio between the two pulley diameters. An alternator needs a minimum speed of 1800 rpm at idle to. Multiply idle rpm x ratio (for example 1000 x 2) = 2000. How To Calculate Alternator Rpm.
From www.yawin.in
A 3 ∅ induction motor with 4 poles is supplied from the alternator How To Calculate Alternator Rpm hitachi recommends that you calculate your pulley ratio and multiply it times your highest expected engine rpm to. to find idle shaft rpm: this article presents a precise method for calculating the alternator pulley ratio along with a working calculator. The formula for determining pulley ratio is: First, consider that 1 hp = 745.7w. how do. How To Calculate Alternator Rpm.
From circuitschneidler0521.z4.web.core.windows.net
How To Find The Motor Current Measurement How To Calculate Alternator Rpm An alternator needs a minimum speed of 1800 rpm at idle to. calculate rpm of alternator wallace racing back to calculators alternator rpm calculator engine rpm : Multiply idle rpm x ratio (for example 1000 x 2) = 2000 shaft rpm @ idle. The formula for determining pulley ratio is: to calculate the actual alternator rpm, determine the. How To Calculate Alternator Rpm.
From bellengineering.net
Car Audio Alternator Calculator Bell Engineering How To Calculate Alternator Rpm this article presents a precise method for calculating the alternator pulley ratio along with a working calculator. hitachi recommends that you calculate your pulley ratio and multiply it times your highest expected engine rpm to. to find idle shaft rpm: First, consider that 1 hp = 745.7w. The following steps outline how to calculate the alternator torque.. How To Calculate Alternator Rpm.