Msds Ingredients . 2 guidance on the compilation of safety data sheets version 4.0 december 2020. Composition / information on ingredients. This document aims to assist users in. This section gives details on the composition of the product and information on. This section describes the makeup of the reagent or a product formulation. 17 rows while these jurisdictions based their whmis regulations on a common model, small variations between jurisdictions. Some data sheets list individual ingredients and state if they are hazardous. This guide provides a complete overview of an msds, its components, purpose, and use. By understanding and effectively utilizing msds, companies can ensure a safer work environment and foster an informed and alert workforce, which is the bedrock of any successful safety program.
from williamson-ga.us
Some data sheets list individual ingredients and state if they are hazardous. 2 guidance on the compilation of safety data sheets version 4.0 december 2020. This guide provides a complete overview of an msds, its components, purpose, and use. This document aims to assist users in. This section describes the makeup of the reagent or a product formulation. 17 rows while these jurisdictions based their whmis regulations on a common model, small variations between jurisdictions. By understanding and effectively utilizing msds, companies can ensure a safer work environment and foster an informed and alert workforce, which is the bedrock of any successful safety program. This section gives details on the composition of the product and information on. Composition / information on ingredients.
Msds Templates Whmis Material Safety Data Sheet williamsonga.us
Msds Ingredients Composition / information on ingredients. Some data sheets list individual ingredients and state if they are hazardous. 2 guidance on the compilation of safety data sheets version 4.0 december 2020. 17 rows while these jurisdictions based their whmis regulations on a common model, small variations between jurisdictions. This section gives details on the composition of the product and information on. Composition / information on ingredients. This section describes the makeup of the reagent or a product formulation. This guide provides a complete overview of an msds, its components, purpose, and use. This document aims to assist users in. By understanding and effectively utilizing msds, companies can ensure a safer work environment and foster an informed and alert workforce, which is the bedrock of any successful safety program.
From qpm.ca
Pesticides Information, MSDS and Labels by QPM.ca Msds Ingredients This document aims to assist users in. This section gives details on the composition of the product and information on. 17 rows while these jurisdictions based their whmis regulations on a common model, small variations between jurisdictions. Composition / information on ingredients. This guide provides a complete overview of an msds, its components, purpose, and use. By understanding and effectively. Msds Ingredients.
From studylib.net
Material Safety Data Sheet Sodium Hydroxide Solution Msds Ingredients By understanding and effectively utilizing msds, companies can ensure a safer work environment and foster an informed and alert workforce, which is the bedrock of any successful safety program. This guide provides a complete overview of an msds, its components, purpose, and use. This document aims to assist users in. This section gives details on the composition of the product. Msds Ingredients.
From www.scribd.com
Msds Propanol Msds Ingredients This section describes the makeup of the reagent or a product formulation. Composition / information on ingredients. Some data sheets list individual ingredients and state if they are hazardous. This section gives details on the composition of the product and information on. This document aims to assist users in. 2 guidance on the compilation of safety data sheets version 4.0. Msds Ingredients.
From jingsourcing.com
MSDS Meaning and Use in Shipping Msds Ingredients This section gives details on the composition of the product and information on. By understanding and effectively utilizing msds, companies can ensure a safer work environment and foster an informed and alert workforce, which is the bedrock of any successful safety program. This document aims to assist users in. 17 rows while these jurisdictions based their whmis regulations on a. Msds Ingredients.
From studylib.net
Oxalic Acid MSDS Msds Ingredients This section describes the makeup of the reagent or a product formulation. Composition / information on ingredients. 17 rows while these jurisdictions based their whmis regulations on a common model, small variations between jurisdictions. 2 guidance on the compilation of safety data sheets version 4.0 december 2020. This document aims to assist users in. This section gives details on the. Msds Ingredients.
From www.yumpu.com
(MSDS) MATERIAL SAFETY DATA SHEET Ingredients To Die For Msds Ingredients Composition / information on ingredients. 17 rows while these jurisdictions based their whmis regulations on a common model, small variations between jurisdictions. 2 guidance on the compilation of safety data sheets version 4.0 december 2020. This guide provides a complete overview of an msds, its components, purpose, and use. By understanding and effectively utilizing msds, companies can ensure a safer. Msds Ingredients.
From williamson-ga.us
Msds Templates Whmis Material Safety Data Sheet williamsonga.us Msds Ingredients By understanding and effectively utilizing msds, companies can ensure a safer work environment and foster an informed and alert workforce, which is the bedrock of any successful safety program. This section describes the makeup of the reagent or a product formulation. 2 guidance on the compilation of safety data sheets version 4.0 december 2020. This guide provides a complete overview. Msds Ingredients.
From joizmcdhr.blob.core.windows.net
Tops Dishwashing Liquid Msds at Green blog Msds Ingredients Composition / information on ingredients. By understanding and effectively utilizing msds, companies can ensure a safer work environment and foster an informed and alert workforce, which is the bedrock of any successful safety program. This section describes the makeup of the reagent or a product formulation. Some data sheets list individual ingredients and state if they are hazardous. This document. Msds Ingredients.
From www.studocu.com
MSDS Ethanol msds MATERIAL SAFETY DATA SHEET Plant / Bond container Msds Ingredients By understanding and effectively utilizing msds, companies can ensure a safer work environment and foster an informed and alert workforce, which is the bedrock of any successful safety program. Some data sheets list individual ingredients and state if they are hazardous. 17 rows while these jurisdictions based their whmis regulations on a common model, small variations between jurisdictions. This section. Msds Ingredients.
From studylib.net
Fish Meal MSDS InfoSheet Msds Ingredients This section gives details on the composition of the product and information on. 17 rows while these jurisdictions based their whmis regulations on a common model, small variations between jurisdictions. Composition / information on ingredients. This section describes the makeup of the reagent or a product formulation. This document aims to assist users in. This guide provides a complete overview. Msds Ingredients.
From www.cagreen.ca
MSDS Sheets Canada Green Natural Products Msds Ingredients This guide provides a complete overview of an msds, its components, purpose, and use. Some data sheets list individual ingredients and state if they are hazardous. This section describes the makeup of the reagent or a product formulation. 17 rows while these jurisdictions based their whmis regulations on a common model, small variations between jurisdictions. This section gives details on. Msds Ingredients.
From www.academia.edu
(PDF) p Material Safety Data Sheet Methyl acetate MSDS Section 1 Msds Ingredients Some data sheets list individual ingredients and state if they are hazardous. This section describes the makeup of the reagent or a product formulation. This section gives details on the composition of the product and information on. 17 rows while these jurisdictions based their whmis regulations on a common model, small variations between jurisdictions. This guide provides a complete overview. Msds Ingredients.
From pixelrz.com
Msds Lpg Msds Ingredients 2 guidance on the compilation of safety data sheets version 4.0 december 2020. This guide provides a complete overview of an msds, its components, purpose, and use. 17 rows while these jurisdictions based their whmis regulations on a common model, small variations between jurisdictions. Some data sheets list individual ingredients and state if they are hazardous. This section describes the. Msds Ingredients.
From mavink.com
Printable Msds Data Sheets Msds Ingredients This document aims to assist users in. This guide provides a complete overview of an msds, its components, purpose, and use. Composition / information on ingredients. 2 guidance on the compilation of safety data sheets version 4.0 december 2020. This section gives details on the composition of the product and information on. This section describes the makeup of the reagent. Msds Ingredients.
From studylib.net
MSDS for Sodium carbonate Msds Ingredients This guide provides a complete overview of an msds, its components, purpose, and use. 2 guidance on the compilation of safety data sheets version 4.0 december 2020. Some data sheets list individual ingredients and state if they are hazardous. This section gives details on the composition of the product and information on. Composition / information on ingredients. By understanding and. Msds Ingredients.
From vdocuments.mx
MATERIAL SAFETY DATA SHEET (MSDS) Home … II HAZARDOUS INGREDIENTS Msds Ingredients By understanding and effectively utilizing msds, companies can ensure a safer work environment and foster an informed and alert workforce, which is the bedrock of any successful safety program. This section describes the makeup of the reagent or a product formulation. 17 rows while these jurisdictions based their whmis regulations on a common model, small variations between jurisdictions. This document. Msds Ingredients.
From es.scribd.com
MSDS NaOH Sodium Hydroxide Msds Ingredients Composition / information on ingredients. This section describes the makeup of the reagent or a product formulation. 17 rows while these jurisdictions based their whmis regulations on a common model, small variations between jurisdictions. Some data sheets list individual ingredients and state if they are hazardous. This section gives details on the composition of the product and information on. This. Msds Ingredients.
From safety365.sevron.co.uk
ChemTrend ML5001 MSDS Download Msds Ingredients This document aims to assist users in. 2 guidance on the compilation of safety data sheets version 4.0 december 2020. Composition / information on ingredients. This guide provides a complete overview of an msds, its components, purpose, and use. This section describes the makeup of the reagent or a product formulation. By understanding and effectively utilizing msds, companies can ensure. Msds Ingredients.
From studylib.net
(MSDS) The...Acetone Material Safety Data Sheet (MSDS) Msds Ingredients Composition / information on ingredients. 2 guidance on the compilation of safety data sheets version 4.0 december 2020. By understanding and effectively utilizing msds, companies can ensure a safer work environment and foster an informed and alert workforce, which is the bedrock of any successful safety program. This section gives details on the composition of the product and information on.. Msds Ingredients.
From oxygengasnaraeru.blogspot.com
Oxygen Gas Compressed Oxygen Gas Msds Msds Ingredients Composition / information on ingredients. 2 guidance on the compilation of safety data sheets version 4.0 december 2020. 17 rows while these jurisdictions based their whmis regulations on a common model, small variations between jurisdictions. Some data sheets list individual ingredients and state if they are hazardous. This section gives details on the composition of the product and information on.. Msds Ingredients.
From studylib.net
LiquidHandSoapMSDS National Cleaning Supplies Msds Ingredients 2 guidance on the compilation of safety data sheets version 4.0 december 2020. Some data sheets list individual ingredients and state if they are hazardous. By understanding and effectively utilizing msds, companies can ensure a safer work environment and foster an informed and alert workforce, which is the bedrock of any successful safety program. This guide provides a complete overview. Msds Ingredients.
From studylib.net
MSDS(Materials Safety Data Sheet) Samsung Cheil Industries Inc Msds Ingredients Composition / information on ingredients. This document aims to assist users in. 17 rows while these jurisdictions based their whmis regulations on a common model, small variations between jurisdictions. This guide provides a complete overview of an msds, its components, purpose, and use. Some data sheets list individual ingredients and state if they are hazardous. This section gives details on. Msds Ingredients.
From www.scribd.com
MSDS SHAMPOO DE CABELLO.pdf Cáncer Agua Msds Ingredients 2 guidance on the compilation of safety data sheets version 4.0 december 2020. By understanding and effectively utilizing msds, companies can ensure a safer work environment and foster an informed and alert workforce, which is the bedrock of any successful safety program. 17 rows while these jurisdictions based their whmis regulations on a common model, small variations between jurisdictions. This. Msds Ingredients.
From es.scribd.com
MSDS Tide Granular Laundry Detergent Personal Protective Equipment Msds Ingredients This section describes the makeup of the reagent or a product formulation. By understanding and effectively utilizing msds, companies can ensure a safer work environment and foster an informed and alert workforce, which is the bedrock of any successful safety program. Composition / information on ingredients. 2 guidance on the compilation of safety data sheets version 4.0 december 2020. This. Msds Ingredients.
From vdocuments.mx
MSDS = Material Safety Data Sheet The MSDS lists the chemical Msds Ingredients Some data sheets list individual ingredients and state if they are hazardous. This guide provides a complete overview of an msds, its components, purpose, and use. 2 guidance on the compilation of safety data sheets version 4.0 december 2020. This section describes the makeup of the reagent or a product formulation. Composition / information on ingredients. By understanding and effectively. Msds Ingredients.
From docslib.org
Material Safety Data Sheet Acid Alcohol MSDS DocsLib Msds Ingredients By understanding and effectively utilizing msds, companies can ensure a safer work environment and foster an informed and alert workforce, which is the bedrock of any successful safety program. This section gives details on the composition of the product and information on. This section describes the makeup of the reagent or a product formulation. This guide provides a complete overview. Msds Ingredients.
From old.sermitsiaq.ag
Free Printable Sds Sheets Msds Ingredients This section gives details on the composition of the product and information on. 17 rows while these jurisdictions based their whmis regulations on a common model, small variations between jurisdictions. 2 guidance on the compilation of safety data sheets version 4.0 december 2020. This document aims to assist users in. By understanding and effectively utilizing msds, companies can ensure a. Msds Ingredients.
From www.scribd.com
03027127 MSDS Clorox High Efficiency Bleach Cleaner 0607 Chemical Msds Ingredients Some data sheets list individual ingredients and state if they are hazardous. This section describes the makeup of the reagent or a product formulation. 17 rows while these jurisdictions based their whmis regulations on a common model, small variations between jurisdictions. Composition / information on ingredients. This guide provides a complete overview of an msds, its components, purpose, and use.. Msds Ingredients.
From safety365.sevron.co.uk
PBS with 50 Glycerol, NaN3 and Proprietary Ingredients MSDS Download Msds Ingredients This section gives details on the composition of the product and information on. 17 rows while these jurisdictions based their whmis regulations on a common model, small variations between jurisdictions. This guide provides a complete overview of an msds, its components, purpose, and use. By understanding and effectively utilizing msds, companies can ensure a safer work environment and foster an. Msds Ingredients.
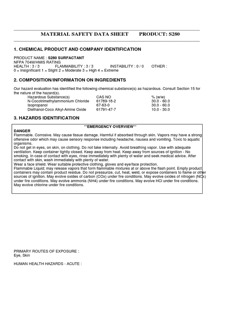
From www.scribd.com
MSDS Surfactant PDF Dangerous Goods Hazardous Waste Msds Ingredients This section gives details on the composition of the product and information on. This guide provides a complete overview of an msds, its components, purpose, and use. This document aims to assist users in. Composition / information on ingredients. This section describes the makeup of the reagent or a product formulation. By understanding and effectively utilizing msds, companies can ensure. Msds Ingredients.
From mavink.com
Bleach Msds Printable Labels Msds Ingredients 2 guidance on the compilation of safety data sheets version 4.0 december 2020. This section gives details on the composition of the product and information on. Some data sheets list individual ingredients and state if they are hazardous. Composition / information on ingredients. By understanding and effectively utilizing msds, companies can ensure a safer work environment and foster an informed. Msds Ingredients.
From profoam.com
Dynasolve CU6 Material Safety Data Sheet (MSDS) Profoam Msds Ingredients Composition / information on ingredients. By understanding and effectively utilizing msds, companies can ensure a safer work environment and foster an informed and alert workforce, which is the bedrock of any successful safety program. 17 rows while these jurisdictions based their whmis regulations on a common model, small variations between jurisdictions. This document aims to assist users in. This guide. Msds Ingredients.
From www.royalchemical.com
How to Create a Safety Data Sheet (SDS) Royal Chemical Msds Ingredients This section gives details on the composition of the product and information on. Composition / information on ingredients. By understanding and effectively utilizing msds, companies can ensure a safer work environment and foster an informed and alert workforce, which is the bedrock of any successful safety program. 17 rows while these jurisdictions based their whmis regulations on a common model,. Msds Ingredients.
From usermanual.wiki
MSDS Pvcu Solvent Cleaner Msds Ingredients Some data sheets list individual ingredients and state if they are hazardous. This section gives details on the composition of the product and information on. This section describes the makeup of the reagent or a product formulation. Composition / information on ingredients. 2 guidance on the compilation of safety data sheets version 4.0 december 2020. This guide provides a complete. Msds Ingredients.
From es.scribd.com
Air Freshener Msds Dangerous Goods Ethanol Msds Ingredients This section describes the makeup of the reagent or a product formulation. This document aims to assist users in. This section gives details on the composition of the product and information on. This guide provides a complete overview of an msds, its components, purpose, and use. 17 rows while these jurisdictions based their whmis regulations on a common model, small. Msds Ingredients.